
第一作者:颜克琳
通讯作者:曹约强、段学志、戴升
通讯单位:华东理工大学
论文DOI:10.1002/anie.202503263
调控活性位点的局域环境以匹配关键物种的目标吸附构型,对于调控选择性加氢反应路径具有重要意义。本文通过在Cu催化剂表面引入不同类型Pd位点,调控Cu活性位点的局域环境,从而控制丙炔加氢反应路径的构型。详细的结构表征表明,通过精确调控Pd/Cu比例,成功实现了Pd单原子修饰的Cu催化剂、Pd团簇位点修饰的Cu催化剂以及PdCu合金催化剂的构筑。催化性能测试、反应动力学分析和程序升温实验等结果表明:Pd团簇位点的存在可直接催化原本发生在Cu位点上的丙炔加氢反应,同时促进氢气的活化并显著增强丙烯脱附能力以抑制其进一步加氢。基于此,优化设计的Pd0.1Cu催化剂在丙炔完全转化时,目标产物丙烯的选择性高达95.3%。而经单原子Pd调变的Cu表面与Cu催化剂性能相似,更易发生C-C偶联副反应,PdCu合金催化剂中Pd-Cu配位结构使得丙烯不易脱附而导致过度加氢生成丙烷。
多相催化加氢作为现代化工生产中的核心技术,在大宗化学品合成与高附加值精细化学品制备领域发挥着关键作用。然而,反应体系中复杂的竞争性吸附与动态演变过程往往导致非目标产物的生成,这为高性能加氢催化剂的设计带来了挑战。近年来,随着先进表征技术与理论模拟方法的协同发展,研究者逐渐认识到通过原子级精准调控活性位点的配位微环境,可实现对反应物吸附构型及加氢路径的定向调控,这为突破传统催化剂的性能瓶颈提供了新思路。
聚合级丙烯工业生产中的丙炔半加氢是一种典型串并联反应体系,其反应网络涉及目标产物丙烯的生成、过度加氢副产物丙烷的形成以及低聚物生成等多个竞争路径。实验研究表明:在传统单金属催化剂体系中,Cu基催化剂虽能通过弱吸附丙烯的特性抑制过度加氢,但其受限的H2活化能力导致反应动力学迟缓,同时加剧了C-C偶联副反应;而具有优异氢活化能力的Pd基催化剂却因过强的丙烯吸附作用,使产物深度加氢至丙烷的倾向显著增强。为此,本文提出构建双金属协同催化体系,通过利用Pd和Cu位点各自优势,同时优化丙炔分子的π吸附构型与氢物种的解离活化能垒,在保持较高本征活性的同时,通过调控中间体的吸附强度,使加氢反应沿着目标反应路径进行,有效规避深度加氢与偶联副反应的发生。
1. 通过调控Pd/Cu比例,成功构建了不同种活性位点(Pd单原子、Pd团簇、PdCu合金),并利用AC-HAADF-STEM、EXAFS、CO-DRIFTS等表征手段揭示了其配位结构和电子性质差异。
2.引入Pd团簇位点调控Cu催化剂的局域环境,在制得的Pd0.1Cu催化剂上丙炔完全转化时丙烯选择性高达95.3%,显著优于传统Cu和Pd单原子修饰催化剂。在丙烯富集条件下,Pd0.1Cu催化剂仍保持81.9%的丙烯选择性,且稳定性显著提升(抑制“绿油”生成)。
3. 提出通过活性位点局部环境对关键物种目标吸附构型和加氢反应动力学的精准调控,实现了高效加氢催化剂的创制,为多相加氢催化剂理性设计提供借鉴。
图1.(a)Cu催化剂AC-HAADF-STEM图。(b)Pd0.01Cu催化剂的AC-HAADF-STEM图及(c)对应伪彩色图。(d)Pd0.1Cu催化剂的AC-HAADF-STEM图。(e)PdCu催化剂的AC-HAADF-STEM图,插图为FFT图谱及PdCu合金示意图。(f)有序PdCu合金结构的放大区域伪彩色图。
AC-HAADF-STEM:通过调控Pd/Cu比例,构造含有不同Pd-Cu位点结构的催化剂:纯Cu表面、Pd单原子修饰Cu表面、Pd团簇修饰Cu表面、PdCu合金表面。
图2.(a)Cu和PdxCu催化剂CO-DRIFTS谱图。(b)Cu箔、Cu以及PdxCu催化剂里叶变换Cu K边EXAFS谱图。(c)Cu箔、(d)Cu、(e)Pd0.01Cu、(f)Pd0.1Cu以及(g)PdCu催化剂Cu K边小波变换EXAFS等高线图。(h)Pd箔、Pd0.1Cu以及PdCu催化剂傅里叶变换Pd K边EXAFS谱。
CO-DRIFTS、EXAFS等表征手段解析催化剂的配位环境与电子结构:Cu催化剂仅显示Cu位点吸附峰,Pd0.1Cu催化剂出现Pd团簇的桥式CO吸附,PdCu合金中催化剂Pd位点主导吸附(峰强显著增强);PdCu合金催化剂中Cu-Cu配位消失,Pd-Cu配位主导;Pd0.1Cu催化剂同时存在Pd-Pd和Pd-Cu配位。
图3.(a)丙炔转化率随温度变化曲线,(b)丙炔转化的阿伦尼乌斯曲线,(c)产物选择性对比。(d)富丙烯原料条件下产物选择性对比。反应速率随(e)丙炔分压及(f)氢气分压的变化关系。(g)不同配位环境催化剂表面丙炔加氢反应机理示意图。
催化性能与动力学分析:Pd0.1Cu和PdCu催化剂活性显著高于纯Cu,活化能(Ea)随Pd含量增加而降低(Cu: 51.9 kJ/mol → PdCu: 35.8 kJ/mol);Pd0.1Cu在完全转化时丙烯选择性达95.3%,而PdCu因强吸附导致过度加氢(丙烷为主);氢气压力和丙炔压力对反应速率的影响表明,Pd0.1Cu催化剂氢活化能力增强(氢动力学级数0.89),PdCu催化剂因丙炔强吸附导致氢级数异常升高(1.64)
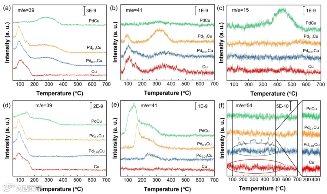
图4. C3H4-TPD测试中(a)丙炔的信号。C3H6-TPD测试中(b)丙烯以及(c)甲基的信号。TPSR过程中(d)丙炔、(e)丙烯以及(f)己二烯的信号。
程序升温脱附(TPD)与表面反应(TPSR):Pd0.1Cu催化剂有效削弱丙烯在催化剂表面的吸附同时抑制耦合反应的发生,实现选择性加氢生成丙烯路径的定向调控。
图5. Cu(111)、Pd(1)Cu(111)、Pd(3)Cu(111)以及PdCu(110)表面(a)丙炔加氢反应的自由能变化曲线,(b)表面H2解离过程的自由能势垒对比。(c)Pd(1)Cu(111)、Pd(3)Cu(111)以及PdCu(110)表面丙烯脱附与其加氢过程的自由能对比。
DFT计算与机理分析:Pd团簇位点修饰的Cu表面(Pd3Cu(111))显著降低丙炔加氢能垒,PdCu合金(PdCu(110))因强吸附导致丙烯过度加氢;Pd团簇位点修饰后大幅降低Cu表面H2解离能垒(接近自发);Pd0.1Cu催化剂中丙烯脱附自由能(|Gads|=0.06 eV)远低于氢化能垒(Ga=0.81 eV),有效抑制过度加氢,而PdCu合金中两者差值缩小(ΔG=0.24 eV),预示着丙烷更易生成。
华东理工大学催化反应工程课题组网页:https://cre.ecust.edu.cn/
欢迎关注我们,订阅更多最新消息
“邃瞳科学云”推出专业的自然科学直播服务啦!不仅直播团队专业,直播画面出色,而且传播渠道多,宣传效果佳。
“邃瞳科学云"平台正在收集、整理各类学术会议信息,欢迎学会、期刊、会议组织方择优在邃瞳平台上进行线上直播,希望藉此帮助广大科研人员跨越时空的限制,实现自由、畅通地交流互动。欢迎老师同学们提供会议信息(会有礼品赠送),学会、期刊、会议组织方商谈合作,均请联系18612651915(微信同)。
投稿、荐稿、爆料:Editor@scisight.cn