第一作者:王然,李国波
通讯作者:宗绪鹏,王胜
通讯单位:中国科学院大连化学物理研究所
论文DOI:10.1021/acs.est.5c03422
大连化物所王胜、宗绪鹏团队在铂(Pt)基甲烷燃烧催化剂开发方面取得新进展,设计开发了一种高活性、耐硫的Pt基负载型甲烷燃烧催化剂,并揭示了甲烷在该催化剂活性位点上的吸附活化机制。研究发现,SnO2上负载的Pt原子呈现出独特的团簇堆积构型和缺电子状态。原位表征和密度泛函理论计算表明,这种特殊的几何和电子结构使Pt位点能够与甲烷分子发生强烈的电子耦合,可以“夺取”甲烷分子中C-H键的电子并“注入”到Pt的dz2空轨道中,导致甲烷分子中的一个C-H键发生伸长(1.22 Å)。该机制增强了Pt活性中心对甲烷的化学吸附和活化能力,并在分子氧供给后实现了氧化还原循环。该催化剂展现出优异的低温活性、稳定性、耐硫中毒能力,空速为60,000 mL gcat-1 h-1时,甲烷燃烧90%转化温度(T90)低至390℃;在500℃下,催化剂在30 ppm SO2含硫条件下稳定运行超过20小时,活性衰减小于1%。
催化燃烧技术广泛应用于净化挥发性有机气体(VOCs)、焦炉烟气、工业窑炉一氧化碳(CO)气体、低浓度乏风瓦斯等。传统甲烷燃烧催化剂的活性组分为贵金属钯(Pd),但其极易因硫中毒而失活。虽然Pt基催化剂在CO、VOCs等催化燃烧过程展现出优异的耐硫性能,但其甲烷活化能力较弱,亟需提升其甲烷催化氧化活性以满足甲烷净化领域的应用需求。
1. 具有缺电子、堆积的Pt原子位点Pt/SnO2催化剂实现高效稳定甲烷燃烧(T90= 390℃, 60,000 mL gcat-1 h-1)和稳定性。这一性能弥合了铂基催化剂与传统钯系统之间的差距,同时避免了钯对硫中毒的敏感性。
2. 堆积的Pt原子位点将第一个C-H键的解离活化能降低至0.50 eV,为设计下一代催化剂提供了电子水平的理解。通过调整配位环境和电子结构以增强反应物的吸附和活化,这种方法克服了金属身份固有的限制,为受内在金属依赖性限制的反应提供了一个通用的解决方案。
3. 此外,Pt催化剂的高活性释放了其工业潜力,能够实现节能的贫甲烷减排。这项工作推进了对甲烷活化机制的基本理解,并支持向温室气体控制的可持续技术转型。
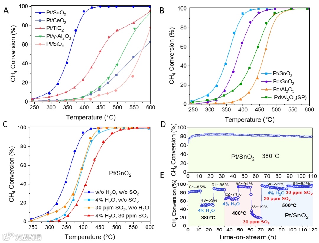
本研究介绍了一种高活性的锡氧化物负载铂催化剂(Pt/SnO2)用于在低温条件下稳定甲烷燃烧。即便在气体时空速度(GHSV)达到60,000 mL gcat-1h-1的条件下,它仍能实现T90低至390℃的优异性能。这一性能超越了大多数其他铂催化剂,以及Pd/SnO2和基准Pd/Al2O3。Pt/SnO2对二氧化硫的耐受性表现出色,这一点通过在500℃下甲烷转化的稳定性得到了验证,长期在线测试中仅观察到轻微的性能下降。(图1)
图1. 催化性能测试。A)不同载体上的铂催化剂对甲烷的燃烧活性;B)活化前后,Pt/SnO2、Pd/SnO2和基准Pd/γ-Al2O3催化剂在完全甲烷氧化前后的对比;C)Pt/SnO2在无水和有水及二氧化硫条件下的点火曲线;D)长期稳定性和E)对水或/和二氧化硫的耐受性。反应条件:稳态测试,4000 ppm CH4,4% O2, 4% H2O(如使用),30 ppm SO2(如使用),N2平衡,空速为60,000 mL·gcat-1·h-1。
利用亚埃分辨率的像差校正扫描透射电子显微镜(AC-STEM),进一步解析了Pt物种的分布。在Pt/SnO2催化剂中,Pt原子主要以堆积原子簇的形式存在于氧化锡上,这与单原子催化剂中常见的孤立单原子分散模式形成鲜明对比。反应后的Pt/SnO2催化剂展现出与图相似的形态和配置,表明这些拥挤的Pt原子在高温甲烷燃烧过程中保持稳定。(图2)
图2. Pt/SnO2催化剂的形貌观察结果。A)Pt/SnO2的高分辨率原子级点阵电子衍射扫描透射电镜(HAADF-STEM)图像;B)锡元素(Sn)的能谱分析(EDX)映射;C)氧元素(O)的能谱分析;D)铂元素(Pt)的能谱分析;E)高分辨率STEM图像;F)亚埃级分辨率STEM图像。
通过同步辐射X射线吸收光谱(XAS)和X射线光电子能谱(XPS)研究了Pt/SnO2催化剂的的配位和电子结构演变机制。XANES谱显示,与PtO2相比,新鲜和反应后催化剂的白线强度均显著升高,证实了Pt-SnO2强相互作用导致的特殊电子结构,且反应后白线进一步增强。EXAFS分析发现催化剂中主要存在短程Pt-O配位(键长短于PtO2),反应后配位数从6增至7,表明吸附氧的参与或局部结构无序化。小波变换进一步揭示第二壳层Pt-O键强度明显弱于PtO2,且反应后在~10.2 Å处出现新特征,这可能是甲烷氧化诱导的Pt-SnO2界面重构所致。这些发现证实了Pt原子在SnO2金红石晶格中的八面体嵌入,以及反应过程中配位环境的动态演变,为理解界面氧活化机制提供了原子级证据。进一步地,反应前后样品的XPS研究中Pt(IV)(41%→30%)和Sn(II) (20%→12%) 的含量变化表明反应削弱了Pt-SnO2界面相互作用,这可能是催化活性下降的关键原因。(图3)
图3. Pt/SnO2催化剂的XAS和XPS光谱。A) Pt LIII边XANES光谱;B)相位校正前的傅里叶变换R空间;C)新鲜和使用过的Pt/SnO2催化剂以及参考Pt化合物(Pt箔和PtO2)在室温条件下测量的EXAFS小波变换;D)新鲜和使用过的Pt/SnO2催化剂的Pt 4f和E) Sn 3d的XPS光谱。
通过近环境压力X射线光电子能谱(NAP-XPS)实验研究了甲烷燃烧反应过程中Pt位点的电子状态。研究发现,O 1s和Sn 3d谱图在各阶段基本保持不变,表明反应物分子对SnO2载体的影响极小。而Pt 4f的谱图受反应气氛的影响具有明显的动态演变。纯O2(0.8 mbar)气氛和纯CH4(0.2 mbar)气氛下,Pt具有明显不同的化学态,当切换为CH4+O2气氛,Pt的化学态组成更接近于O2气氛,但是Ptδ+(0<δ<2)的含量相对有所增加。结果表明,Pt位点的化学状态主要由过量的O2控制,表现为缺电子状态。同时,甲烷还原了部分Pt,导致中间态Ptδ+(0<δ<2)的存在增加。通过原位DRIFTS研究揭示了Pt/SnO2催化甲烷氧化的反应机制。在200-400℃反应条件下,检测到甲烷吸附(*CH4,3015 cm-1和1317 cm-1)并在注入O2时,信号显著增强,表明氧气促进甲烷吸附。300℃有氧条件下出现的CHx (2910 cm-1)和- OH (3348 cm-1)物种的大量出现,证实了氧气对脱氢步骤的关键作用。此外,检测到的Ptδ+-CO(2100 cm-1)、HCOO(1535 cm-1)和CO32−(1450 cm-1和1337 cm-1)等关键含碳中间进一步揭示了反应中间体的转化。以上原位表征结果均支持了L-H机理,其中甲烷的活化为决速步骤,气态氧在甲烷活化和后续脱氢步骤中不可或缺。(图4)
图4. 在Pt/SnO2表面进行的甲烷氧化原位研究。A)在不同气相条件下(氧气、甲烷和氧气与甲烷的混合物),Pt/SnO2表面的O 1s、Sn 3d和Pt 4f区域的原位XPS光谱。数据在380℃下通过改变气体组成,分五个连续阶段收集:(I) 0.8 mbar O2, (II)0.2 mbar CH4, (III)0.8 mbar O2, (IV) 0.2 mbar CH4, (V) 0.2 mbar CH4与0.8 mbar O2;B)不同气体组成下Pt化学状态的原子比例;C-D)在200℃、300℃和400℃下,Pt/SnO2在0.4%甲烷下的原位DRIFTS光谱;E-F)在200℃、300℃和400℃下,Pt/SnO2在0.4% CH4和4% O2混合物中的原位DRIFTS光谱。
本文构建了Pt3/SnO2模型,以模拟Pt/SnO2的团簇堆积构型。在具有不同Pt表面的甲烷吸附能结果中,Pt3/SnO2具有最强的甲烷吸附能(-1.92 eV),明显优于更少Pt原子的Pt/SnO2模型以及完美Pt(111)和PtO2(110)表面上的甲烷吸附,表明Pt3/SnO2上更易于发生甲烷的吸附。其中,化学吸附的CH4分子上有一个C-H键延长至1.216 Å(而其他三个C-H键均在1.1 Å左右),表明了Pt位点上发生了C-H键的活化。进一步地,在Pt3/SnO2体系的电子密度差(EDD)分析中,证实了Pt原子向SnO2载体提供电子,形成缺电子、堆积原子构型的Pt位点。(图5)
图5. 铂位点上甲烷吸附与活化的理论分析。A)甲烷分子在Pt(111)、PtO2(110)、Pt1/SnO2、Pt3/SnO2和Pt3/r-SnO2表面的几何构型及吸附能;B)Pt3/SnO2和Pt3/r-SnO2的Pt dz2部分态密度(PDOS)图;吸附在C上的甲烷的Pt dz2和C 2p;C) Pt3/SnO2和D) Pt3/r-SnO2的Pt dz2和C 2p;E) Pt3/SnO2和甲烷化学吸附的Pt3/SnO2的Bader变化分析及电子密度差;F)活化甲烷在Pt1/SnO2和Pt3/SnO2上首次C-H解离的初始状态(*CH4)、过渡状态(TS)和最终状态(*CH3+*H)的能量分布及优化结构。(蓝色:Pt;灰色:Sn;红色:O;棕色:C;白色:H)。
甲烷是一种极为强力的温室气体,其全球变暖潜能值(以二氧化碳为基准)在100年的时间尺度上是二氧化碳的28倍,给大气温室效应控制带来了巨大的挑战。在减少工业排放方面,开发高效的抗硫催化剂显得尤为重要,尤其是针对含有硫的应用环境,例如Rectisol洗涤工艺。本研究展示了工程化的Pt/SnO2催化剂,这些催化剂具有缺电子、堆积的Pt原子位点,实现了卓越的甲烷燃烧活性(T90=390℃,60,000 mL gcat-1 h-1),并且在长时间运行中保持了良好的稳定性。这种性能不仅缩小了Pt基催化剂与传统Pd系统之间的性能差距,还避免了Pd对硫中毒的敏感性。机制研究揭示,这些堆积的Pt原子位点将第一个C-H键的解离活化能降低至0.50 eV,为设计下一代催化剂提供了电子水平的理解。通过调整配位环境和电子结构以增强反应物的吸附和活化,这种方法克服了金属身份固有的限制,为受内在金属依赖性限制的反应提供了一个通用的解决方案。此外,Pt催化剂的高活性展示了其在工业应用中的巨大潜力,能够高效地减少贫甲烷排放。这项工作不仅推进了对甲烷活化机制的基本理解,而且支持了向温室气体控制的可持续技术的过渡。
https://pubs.acs.org/doi/10.1021/acs.est.5c03422
大连化物所王胜研究员、宗绪鹏助理研究员团队长期致力于大气污染物催化净化技术的应用基础研究、过程开发及系统集成工作,开发的催化燃烧技术在VOCs净化领域已实现大规模应用。近年来,团队还在CO协同净化、甲烷催化氧化等耐硫催化剂开发方面开展了系列应用基础研究。
声明

