第一作者:张楠,陈奕臻,李旭
通讯作者:赵建康特任副研究员,曾杰教授
通讯单位:中国科学技术大学、安徽工业大学
论文DOI:10.1002/anie.202507545
本研究报道了锚定于CeOx纳米岛上且具有不同配位环境的Pt单原子催化剂的合成。通过静电吸附将其含氯金属盐前驱体化学吸附于CeOx纳米岛表面,经X射线吸收光谱和密度泛函理论(DFT)计算证实其结构近似为Pt1Cl2O4,随后通过煅烧处理可将该吸附物种转化为嵌入CeOx晶格的Pt1O6结构。研究发现,Pt1Cl2O4构型的CO氧化反应催化活性显著优于无氯的Pt1O6构型,突出了适量氯配体在影响催化性能方面意想不到的积极作用。这种 Cl 配位效应在其他金属单原子(包括 Rh 和 Ir)上也得到了进一步验证,证明了其作为一种简单而有效的调整单原子局部配位环境策略的普遍适用性,并揭示了第一配位层结构在调控贵金属单原子催化剂性能中的关键作用。
原子分散负载型金属催化剂因具有100%的原子利用率和分子结构特性而备受关注。与均相催化中的单核金属配合物类似,这类催化剂的性能取决于金属氧化态及配体环境,其中催化金属中心邻近基团的类型与空间排布尤为关键。通过选择金属盐前驱体(如含Cl或NO3–)及优化合成条件,可调控载体氧原子与额外配体(如Cl)构成的配位环境。尽管煅烧常常被用于去除表面配体(如卤素)以消除其影响,但也有研究发现氯配体可通过电子/空间效应提升传统负载催化剂的性能。此外,煅烧可能导致金属氧化或嵌入载体晶格,降低其可及性与活性。本研究旨在构建结构明确的负载贵金属催化剂,揭示载体与氯配体对催化行为的调控机制。
在均相催化的金属配合物中,配体选择调控占据主导地位,然而通过选择配体来调节负载型金属催化剂上的作用却很少受到关注。此外,虽然煅烧常用于表面物种的去除,但是这些配体不一定是有害的。此外,煅烧会使得金属迁移至载体晶格在带来金属稳定性的同时降低了催化活性,出现了活性与稳定性之间的跷跷板关系。因此,我们的目标是合成具有明确定义结构的高度分散的负载贵金属催化剂,并了解载体和氯配体的作用。
要点一:研究团队通过静电吸附法将[PtCly]x-的水合物选择性吸附在CeOx纳米岛上,随后通过干燥,煅烧处理分别得到了Pt-Cl/CeOx/SiO2以及Pt/CeOx/SiO2催化剂(示意图1)。漫反射红外傅里叶变换光谱(CO-DRIFTS)结果表明二者CO吸附峰振动频率存在较大差异且均以单原子形式存在(图1a-b)。X射线吸收谱(XAS)表明在两个催化剂中Pt单原子价态不同且配位环境不同(图1c-d)。此外,密度泛函理论(DFT)计算也进一步验证了两个Pt单原子的配位结构分别是Pt1Cl2O4和Pt1O6。
示意图1. 催化剂合成示意图。
图1. Pt-Cl/CeOx/SiO2以及Pt/CeOx/SiO2催化剂表征结果。
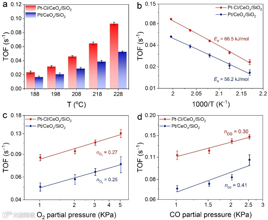
要点二:为了研究不同配位环境Pt单原子对于催化性能的影响,随后进行了CO氧化催化反应。结果表明, Pt-Cl/CeOx/SiO2的转化频率(TOF)约是Pt/CeOx/SiO2的2倍(图2a)。此外,二者的动力学测试结果类似(图2c-d),表明虽然由于配位环境不同带来催化活性的差异,但Pt-Cl/CeOx/SiO2以及Pt/CeOx/SiO2以相同的反应机理来催化CO氧化。
图2. Pt-Cl/CeOx/SiO2以及Pt/CeOx/SiO2催化剂的CO氧化催化活性。
要点三:为了研究配位Cl原子对于催化活性的影响,随后进行了理论计算并构建了Pt1Cl3O3构型来代表具有更高Cl配位数的Pt单原子。对于CeO2上负载的Pt基催化剂来说一般认为遵循Mars-Van Krevelen(MvK)机理,反应开始于吸附态CO与活性氧反应生成CO2的过程(图3a)。计算结果表明,Pt-Cl/CeOx/SiO2具有最低的反应能垒以及氧空位生成能(图3b-c)。为了验证上述计算结果的可靠性,研究人员利用HCl水溶液处理Pt-Cl/CeOx/SiO2得到了Pt-Cl/CeOx/SiO2-HCl催化剂以近似代表上述计算涉及的Pt1Cl3O3构型。x射线光电子能谱(XPS)及多种表征结果表明HCl处理成功改变了Pt单原子的配位环境并与理论计算模型一致(图3d)。为了进一步验证Cl配位对催化活性的影响,在相同催化条件下对三者的TOF进行对比发现Pt-Cl/CeOx/SiO2催化剂具有最高的TOF值,也表明过量的Cl会覆盖表面活性位点进而带来活性的下降。
图3. Cl含量对于CO氧化催化性能的影响。
要点四:为了验证上述结论的适用性,研究人员通过相同的制备方法分别得到Rh和Ir基催化剂。XAFS结果表明(图4a-b),Rh和Ir基催化剂的局部结构会因氯配体的存在而呈现显著差异。随后通过CO氧化反应对Rh和Ir催化剂进行了性能测试(图4c-d),含氯配体的催化剂活性显著高于经煅烧的无氯催化剂。三种贵金属催化剂在结构表征与性能测试中表现出的高度一致性,有力地证明了配体效应在这类金属体系中具有普适性。
图4. Rh和Ir基催化剂的表征以及CO氧化反应催化活性比较。
本研究展示了一种在SiO2负载的CeOx纳米岛上合成具有不同配位环境的单原子Pt的策略。结构表征以及理论计算数据表明,纳米岛上存在两种孤立的Pt物种——氯配位型和无氯型,其配位状态可通过煅烧条件调控。根据EXAFS光谱分析,Pt单原子配位环境从初始以金属氯盐配合物形式表面吸附在CeOx上Pt1Cl2O4结构转变为嵌入在 CeOx晶格中的Pt1O6构型。这两种催化剂在CO氧化反应中表现出活性差异,其中氯配位可提升催化活性并使其达到最优。此外在Rh和Ir体系中也观察到类似Pt的现象。该研究为通过金属前驱体来调控金属的配位环境进而定制原子级分散、且能耐受高温操作的负载型金属催化剂的性能提供了新思路。
Nan Zhang#, Yizhen Chen#, Xu Li#, Chih-Wen Pao, Jiankang Zhao*, Bruce C. Gates, Jie Zeng*. Contrasting Atomically Dispersed Metal Catalysts Supported on CeOxNanoislands with Various Ligand Environments Including Chloride. Angew. Chem. Int. Ed. 2025, e202507545.
https://doi.org/10.1002/anie.202507545
曾杰,安徽工业大学党委副书记、校长,中国科学技术大学讲席教授。1998年进入中国科学技术大学学习,2002年获应用化学学士学位,2008年获凝聚态物理博士学位,师从侯建国院士。2008年赴美,在美国圣路易斯华盛顿大学夏幼南教授研究团队工作。2012年,回到中国科学技术大学合肥微尺度物质科学国家研究中心任教授。2022年9月,受聘中国科学技术大学讲席教授,同年11月起任安徽工业大学党委常委、副校长。2025年1月,任安徽工业大学党委副书记、校长。入选国家杰出青年科学基金、国家高层次人才特殊支持计划科技创新领军人才、英国皇家化学会会士(FRSC),担任国家重点研发计划首席科学家。研究领域为二氧化碳催化转化技术。迄今为止,已在《自然》、《自然·纳米技术》、《自然·催化》、《自然·能源》、《自然·材料》、《自然·合成》、《自然·可持续性》、《自然·化工》等高影响力学术期刊发表了280篇论文,SCI总被引用29000余次,H因子为90,入选2019至2024年的全球高被引科学家名录。申请中美专利共98项,出版书籍5部。荣获发展中国家科学院化学奖、中国青年科技奖“特别奖”、科学探索奖、德国Falling Walls 科学突破奖、英国国际发明展年度国际发明“钻石奖”、中国化学会-赢创化学创新奖、侯德榜化工科学技术青年奖、中国材料研究学会科学技术奖一等奖、中国颗粒学会自然科学奖一等奖、中国科技产业化促进会科学技术一等奖、安徽省自然科学奖一等奖(两项)等奖项。研究成果入选国家“十三五”科技创新成就展、2022年中国十大科技进展新闻。
课题组拥有一流的工作平台,开放活跃的学术氛围和丰富的国内外交流合作机会。现有平台和仪器包括原位DRIFTS、TPD-MS、BET、电化学测试一体化测试平台、各类固定床和浆态床反应器、UV、Plasma等多种催化剂表征和测试仪器。此外课题组和上海光源、合肥光源具有高度密切的合作关系,并以此搭建了各类原位测试平台。
课题组主页:http://catalysis.ustc.edu.cn/
招聘博士后/特任副研究员,开展电驱动、热驱动以及热电驱动多相催化反应,包括实验和理论计算,反应包括CO2/CO还原、甲烷部分氧化、丙烷脱氢、小分子电合成等研究。
申请条件:
(1) 已获得博士学位或应届博士毕业生,在电催化、热催化、理论计算等领域有扎实的研究基础。
(2) 应聘特任副研究员原则上应具有两年或以上的博士后经历,国外著名高校优秀博士毕业生且科研业绩突出者可破格申请。
(3)具有良好的英文听说读写能力。
岗位待遇:
(1) 聘期 2-3 年。
(2) 工资待遇(博士后年薪21万元以上,特任副研究员年薪24万元以上,特别优秀的将视个人情况面谈):
此外,课题组会推荐优秀申请人申报中科大“墨子杰出青年特殊津贴”,入选后年薪可在基础数额之上增加 15 万元(一等资助)/5 万元(二等资助)。
(3) 学校为博士后/特任副研究员办理社会保险(基本养老保险、失业保险、基本医疗保险及医疗救助保险、工伤保险、生育保险)和住房公积金。
(4) 学校为博士后/特任副研究员提供两室带全套家具的周转房。对不要求安排人才公寓住房者发放租房补贴,补贴标准由学校统一制定。
(5) 博士后/特任副研究员子女可在科大附属幼儿园、附小、附中就学,免交赞助费。幼儿园为孩子每日提供“三餐一点”(早、中、晚三餐和下午一次点心),免除家庭的后顾之忧。
(6) 特任副研究员期满考核优秀者,可申请学校的“副研究员”或“副教授”岗位;博士后期满考核优秀者,可申请学校的“特任副研究员”岗位。课题组将会积极帮助出站博士后联系申请高等院校及研究所的工作,或推荐国际一流著名院校进一步深造。
申请方式:
请申请者将申请材料发送到以下邮箱:zengj@ustc.edu.cn,邮件以“博士后/特任副研究员申请+姓名”命名。本课题组承诺对所有应聘者材料给予保密。
欢迎有志于从事相关研究的博士进入本课题组,共同开展研究工作!
联系方式:
地址:安徽省合肥市金寨路96号中国科学技术大学东区微尺度理化大楼10-001室
电话:0551-63603545
声明

