第一作者: 朱磊,张晓隆,杨宇,李烨成,王业华
通讯作者: 高敏锐,唐凯斌
通讯单位: 中国科学技术大学合肥微尺度物质科学国家研究中心
论文DOI: 10.1002/anie.202508535
目前已有诸多策略试图缓解聚合物电解质燃料电池启停阶段由反向电流衰减(RCD)引发的阴极腐蚀问题,但复杂的系统设计与高昂成本限制了其应用。本研究报道了一种通过铜掺杂改性的钼镍基合金材料(MoNi3.6Cu0.4),其在碱性介质中既能高效催化氢氧化反应(HOR),又保持对氧还原反应(ORR)的惰性。这种双功能特性使其成为燃料电池阳极的理想材料,因其能够有效抑制启停阶段由寄生ORR引发的瞬时界面电位骤升现象。将这种非贵金属催化剂组装于阴离子交换膜燃料电池阳极,启停循环后阴极腐蚀近乎消失,功率保持率达61%,展现出比传统铂碳催化剂更优异的抗腐蚀性能。
质子交换膜燃料电池(PEMFC)虽已在商用车辆中成熟应用,但成本和耐久性仍是主要瓶颈。其中,启停(SU/SD)过程中的反向电流衰减(RCD)现象尤为严重。在启停过程中,阳极会形成氢气和空气共存区域,导致寄生氧还原反应(ORR)发生,产生超过1.5 V的界面电位差,足以氧化阴极碳载体,造成催化剂严重降解。传统解决方案需添加复杂系统(如惰性气体保护)或昂贵抗腐蚀材料,增加成本和设备复杂度。过去几年针对这一问题已有研究报道了具有HOR选择性的催化剂,尽管在PEMFC中很有前景,但它是否适用于阴离子交换膜燃料电池(AEMFC)仍然难以捉摸。
通过铜掺杂实现HOR活性提升与ORR活性抑制的协同效应。铜的引入降低催化剂零电荷电位(PZC),削弱界面电场,促进界面水氢键网络形成,加速中间体传递;同时削弱氧气吸附,稳定羟基吸附,阻断ORR路径。燃料电池测试显示,使用该催化剂作为阳极的AEMFC在10次启停循环后保持61%的峰值功率密度,远超Pt/C(28%)和未掺杂钼镍合金(47%),阴极腐蚀近乎消失。
燃料电池在启停或局部缺氢时,阳极会形成氢气/空气共存区,引发寄生氧还原反应(ORR),导致阴极电位骤升至1.5 V以上,造成碳载体腐蚀(图1c)。
图1 AEMFC启停中RCD过程的示意图。
铜因高电极电位(抗溶解)和弱氧亲和力(抑制ORR)成为理想掺杂元素,研究团队通过微波加热和后续热处理成功制备了铜修饰的钼镍合金催化剂。
图2 催化剂设计和结构表征。
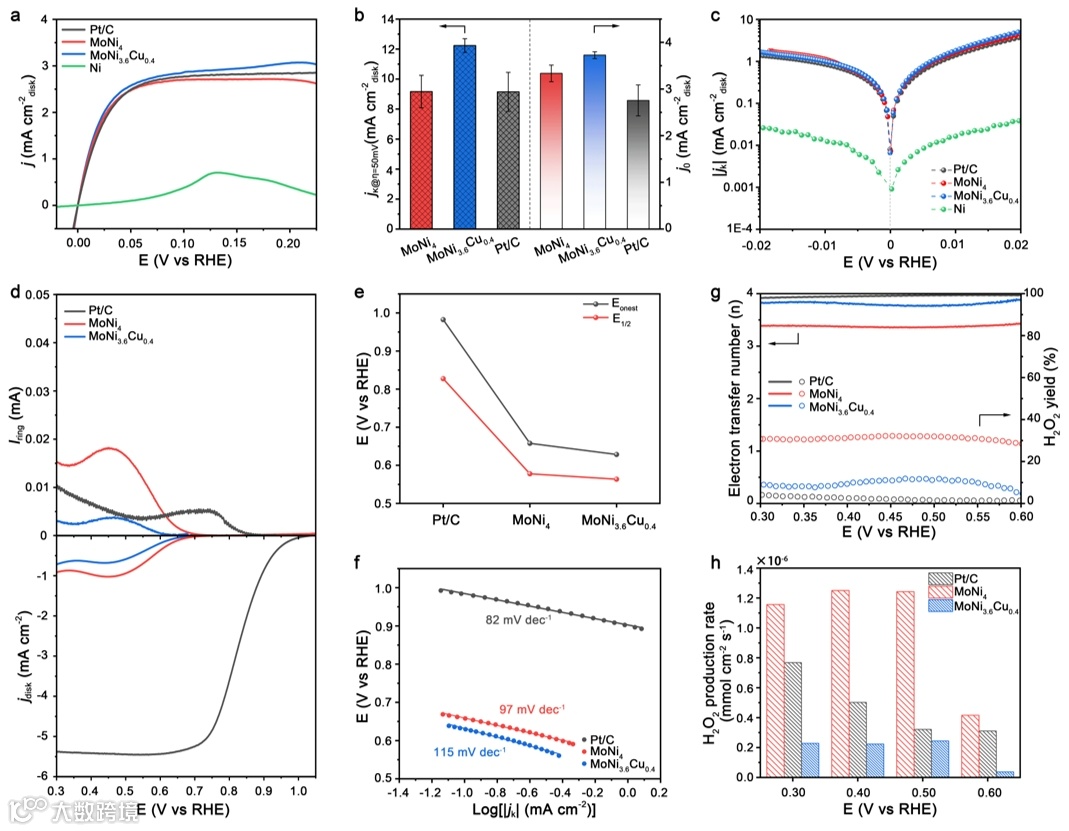
电化学测试表明,MoNi3.6Cu0.4的HOR活性(几何动力学电流密度12.2 mA cm-2)优于MoNi4(9.2 mA cm-2)和Pt/C(9.1 mA cm-2)。同时,其ORR活性被显著抑制,而且对膜自由基有害的过氧化氢产率小于15%,远低于MoNi4的30%。
图3 电催化HOR和ORR性能。
使用该催化剂作为阳极在膜电极组件进行模拟启停实验,阴极电位跃迁相比于Pt/C从1.4 V降至安全范围(图4b-e),阴极催化剂层厚度几乎不变(图4f),阴极电荷转移阻抗增幅远低于Pt/C(图4g,h)。
图4 启停过程单电池性能和耐久性。
实验与理论计算揭示,铜的引入降低催化剂零电荷电位,削弱界面电场,增强界面水氢键网络连通性,促进H/OH中间体通过Grotthuss机制转移,从而提升HOR活性。同时削弱氧分子吸附,稳定羟基吸附,阻断2e-和4e-的ORR路径。
图5 机理研究。
该工作报道了一种非贵金属MoNi3.6Cu0.4催化剂,实现非贵金属催化剂对HOR/ORR的“选择性催化”,在避免阴极腐蚀方面的显著能力,为解决燃料电池频繁启动和关闭过程中涉及的关键RCD问题提供了一种方便有效的解决方案,避免了复杂系统改造。
Lei Zhu et al. Copper-Tailored Molybdenum-Nickel Catalyst Boosts Hydrogen Oxidation and Suppresses Parasitic Oxygen Reduction for Durable Fuel Cells, Angew. Chem. Int. Ed. 2025, e202508535.
https://doi.org/10.1002/anie.202508535
唐凯斌,中国科学技术大学教授,博士生导师。主要从事新型(纳米)结构材料的设计、合成及物性、材料合成新方法、新技术的研究。
高敏锐,中国科学技术大学教授,十四五国家重点研发计划项目首席科学家,获国家杰出青年基金资助。2012年在中国科学技术大学获博士学位,师从俞书宏院士。2012年至2016年先后在美国特拉华大学、阿贡国家实验室和德国马普协会胶体与界面研究所从事博士后研究。入选国家高层次人才计划青年项目(终期考核优秀)、科睿唯安(Clarivate)和爱思唯尔(Elsevier)中国高被引学者榜单。研究方向是基于无机纳米材料结构的可控合成及优化,实现可持续电能在洁净氢以及高附加值燃料分子中的高效、廉价存储及转换。已发表60余篇通讯作者论文,包括Nat. Catal.,Sci. Adv.,PNAS,JACS,Angew. Chem.,Nat. Commun.等。曾获纳米研究青年科学家奖(2023)、中国科大海外校友基金会青年教师事业奖(2021)、中国新锐科技人物(2020)、香港求是基金会“杰出青年学者奖”(2018)等奖励。担任中国青年科技工作者协会理事(2020-2025)。指导学生获中国科学院院长奖(5人)、博新计划(1人)和国自然青年学生基础研究项目(2人)等奖励和支持。
声明

