第一作者:朱昆、杨红岑
通讯作者:彭尚龙、张宏、马飞
通讯单位:兰州大学、云南大学
论文DOI:10.1021/acscatal.5c01725
开发低成本、高活性和稳定的电解水制氢催化剂迫在眉睫。商用Pt基催化剂因其高昂价格限制了商业化应用。具有与Pt相似电子结构和低成本的Pd基催化剂引起了大家的关注。但它存在对氢中间体(H*)的过强吸附导致活性位点毒化,及高表面能促使Pd纳米颗粒易团聚失活等问题。基于此,本论文研究工作通过缺陷工程调控载体电子结构锚定Pd单原子/团簇防止聚集,同时削弱H*吸附能垒,提升催化剂的反应动力学。开发出的氧缺陷WOx_C纳米线载体负载Pd单原子/团簇催化剂(Pd1.54/WOx_C 1:1,Pd负载量仅1.54%)具有优异的活性(19 mV @ 10 mA cm-2)和高稳定性(10000次循环或200 mA cm-2下反应24小时后电流保持率接近100%)。此外,原位拉曼光谱和理论计算表明,富氧缺陷和Pd单原子/团簇位点促进了H*的吸附和解吸,并进一步降低HER过程的能垒。该研究工作提出缺陷工程与原子尺度贵金属催化剂分散协同策略为开发用于工业制氢用的高性能催化剂提供了新的思路。
氢气(H2)作为零碳排放的高效能源载体,是推动能源结构转型的核心方向之一。电解水制氢技术因其绿色可持续性成为主流制氢路径,但其大规模应用受限于析氢反应(HER)催化剂的高成本与低稳定性。目前,铂(Pt)基催化剂虽具有优异的HER活性,但其稀缺性与高昂价格严重制约商业化进程。钯(Pd)因与Pt相似的电子结构及较低成本成为潜在替代材料,但其对氢中间体(H*)的过强吸附易导致活性位点毒化,且高表面能促使Pd纳米颗粒易团聚失活。而氧化钨纳米材料由于其丰富的地球储量、可调的结构组成和良好的稳定性,被认为是电催化反应最有吸引力的候选材料之一。然而,氧化钨本身的活性仍然非常不令人满意。近年研究表明,通过缺陷工程调控载体电子结构不仅能锚定单原子/团簇防止聚集,还可削弱H*吸附能垒,提升反应动力学。然而,WOx本征导电性差、活性位点密度低等问题仍需解决。若能将超薄纳米结构设计、缺陷调控与高分散Pd负载相结合(如构建富氧缺陷的WOx-C纳米线负载Pd单原子/团簇),有望协同提升催化剂导电性、活性位点暴露度与本征活性。但此类多级结构催化剂的精准合成与构效关系解析仍面临重大挑战。
(1) 通过氧缺陷和Pd单原子/团簇的协同设计合成了一种基于富氧缺陷WOx_C纳米线网状结构的Pd单原子/团簇催化剂。
(2) Pd1.54/WOx_C 1:1催化剂显示了优异的活性(19 mV@10 mA cm-2)和稳定性(10000次循环或在200 mA cm-2下反应24小时后电流损失可以忽略不计)。
(3) 通过原位拉曼光谱分析了Pd1.54/WOx_C 1:1催化剂在HER过程中界面水对H*吸附的影响以及氢键网络的动态重组形成了更紧密的氢键网络从而增强反应动力学。
(4) 理论计算表明缺陷和氧化钨上Pd位点协同优化ΔGH*同时降低整个HER过程的能垒。
图1:Pd1.54/WOx_C 1:1 的(a) SEM 图像,(b) TEM 图像,(c) HRTEM 图像,(d) (e) HAADF-STEM 图像,(f) HAADF-STEM-EDS图像。(g) Pd箔、Pd1.54/WOx_C 1:1和PdO在 Pd K 边XANES谱。(i) Pd箔、Pd1.54/WOx_C 1:1和PdO的Pd k空间谱。
通过SEM、TEM、HRTEM图像表明Pd1.54/WOx_C 1:1的形貌是纳米线组成的网状结构,并观察到明显WOx的晶格条纹。Pd K边XANES和EXAFS谱分析表明Pd1.54/WOx_C 1:1中均观察到2.45 Å和1.59 Å处的特征峰分别对应Pd-Pd和Pd-O键,结合HAADF-STEM图像表明 Pd1.54/WOx_C 1:1 中同时存在钯单原子和纳米颗粒,证实Pd以单原子/团簇形式锚定于载体。
图2. WOx、WOx_C 1:1、Pd1.60/WOx和Pd1.54/WOx_C 1:1的(a)EPR谱,(b)XPS全谱。(c-f)O 1s谱。(g、h)Pd1.60/WOx和Pd1.54/WOx_C 1:1 的Pd 3d谱。(i) WOx、WOx_C 1:1、Pd1.60/WOx和 Pd1.54/WOx_C 1:1 的 XPS 价带光谱。
EPR谱显示 WOx_C 1:1及Pd1.54/WOx_C 1:1的氧缺陷浓度显著高于纯WOx,碳修饰与Pd单原子进一步增加缺陷密度。XPS谱分析表明O 1s谱中W-OH峰强度降低,表明Pd物种与氧缺陷位点结合。Pd 3d谱显示Pd+/Pd2+为主说明Pd的高度分散。价带谱显示Pd和缺陷的引入提高了费米能级附近的态密度,优化了电子传输能力。
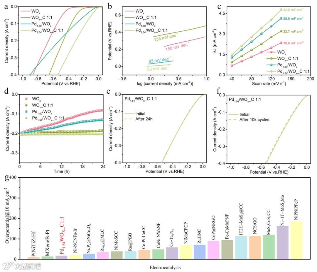
图3. WOx、WOx_C 1:1、Pd1.60/WOx和Pd1.54/WOx_C 1:1的(a) LSV曲线,(b)塔菲尔斜坡。(c) Cdl曲线,(d)I-t曲线。(e) Pd1.54/WOx_C 1:1 24小时前后的LSV曲线。(f) Pd1.54/WOx_C 1:1的10000次循环前后的LSV曲线。(g)催化剂过电位和其他文献对比图。
通过电化学测试表明Pd1.54/WOx_C 1:1催化剂在酸性介质中表现出优异的性能(19 mV的低过电位@10 mA cm-2和32.8 mF cm-2的双电层电容)。Pd1.54/WOx_C 1:1催化剂在200 mA cm-2电流密度下连续运行24小时后活性衰减可忽略不计,且经历10000次循环后性能保持稳定,这归因于Pd单原子/团簇与载体的强相互作用及碳的结构稳定性。
图4. (a)Pd1.54/WOx_C 1:1 表面界面水的原位拉曼光谱的三种O-H拉伸模式(νO-H)的高斯拟合,4-配位氢键水(4-HB-H2O)、2-配位氢键水 (2-HB-H2O) 和阳离子键水 (M-H2O)。(b)三种O-H拉伸模式比例。(c)HER过程Pd1.54/WOx_C 1:1表面的界面物种(界面水,H*)状态示意图。(d)WOx和 Pd1.54/WOx_C 1:1的自由能图。
通过原位拉曼光谱结合理论计算表明Pd1.54/WOx_C 1:1催化剂表面界面水在反应中形成紧密的氢键网络,促进H3O+的吸附和H*的脱附,加速Volmer-Tafel步骤。氧缺陷和Pd的协同作用降低了氢吸附自由能(ΔGH*),优化了HER路径,从而实现了优异的HER性能。
本论文研究工作成功开发出了一种基于富氧缺陷WOx_C纳米线网状结构的Pd单原子/团簇催化剂。所制备的Pd/WOx_C催化剂在酸性介质中表现出优异的催化活性,在高电流密度下表现出优异的稳定性。其中,优化的Pd1.54/WOx_C 1:1催化剂在10 mA cm-2下过电位为19 mV,与商用铂基催化剂的HER活性相当。同时, Pd1.54/WOx_C 1:1催化剂在200 mA cm-2电流密度下具有高稳定性。所制备的Pd/WOx_C催化剂优异的HER活性和稳定性主要归因于氧化钨纳米线中碳修饰增加了氧缺陷含量以及基于氧缺陷获得了高度稳定的Pd单原子/团簇。其中,氧缺陷的增加以及由此导致的金属Pd和载体之间相互作用的增强对活性和稳定性是有利的。通过原位拉曼光谱分析了界面水在促进H*吸附中的作用,理论计算表明富氧缺陷和Pd位点的引入有助于产生更有利的ΔGH*同时降低整个HER过程的能垒。
彭尚龙教授简介:兰州大学教授、博导,清洁能源材料与器件研究所所长,兼任中国物理学会半导体物理专业委员会委员,中国化工学会化工新材料委员会委员,甘肃省新能源协会储能专业委员会副主任,甘肃省材料学会理事。并入选甘肃省“陇原创新创业人才”、青海省“昆仑英才·高端创新创业人才”计划、东太湖度假区(太湖新城) 苏州湾领军人才计划,同时也是兰州大学教学成果奖一等奖、兰州大学五四青年奖章获得者。并先后承担中国工程院院地合作重点项目、国家自然科学基金项目和甘肃省自然科学基金重大项目等项目。已在Angew. Chem. Int. Ed.、Adv. Sci.和Adv. Funct. Mater等国际权威期刊上发表SCI论文120余篇,获得同行认可,引用5000余次,H因子接近50,多篇入选高被引。获授权中国专利20余项。先后被聘为《eScience》、《Energy&Environmental Materials》、《Rare Metals》、《Nano Research Energy》、《盐湖研究》和《甘肃科学学报》期刊编委,国际知名期刊审稿人和仲裁人,以及国家自然科学基金委员会通讯评议专家和教育部学位中心评议专家。曾受邀多次在国内外重要学术会议上做特邀报告。
声明

