通讯作者:张志明、林文斌、尹华卿
通讯单位:天津理工大学、芝加哥大学、浙江工业大学
论文DOI:10.1038/s41467-025-61129-x
该研究利用硝普蓝(NP)中亚硝基(NO)受光照可释放的特点,在温和的光照条件下,促使FeCo-NP中Fe-NO键断裂,实现了Co单位点制氢到Fe-Co双位点CO2还原的转化,模拟了自然界CO脱氢酶中NiFe异金属团簇的功能。系统表征揭示了NO随光照时间延长而逐步释放的动态过程,24 h预光照后,NO可完全脱除。FeCo-NP展现出优异的析氢反应(PHE)性能,H2产率达28.5 mmol g-1,选择性为85.4%;而FeCo-NP-24中的双金属Fe-Co位点可高效催化CO2还原(CO2RR),C1产物的产率为31.5 mmol g-1,选择性达87.3%,实现了光催化活性从PHE向CO2RR的调控。机理研究表明,单金属Co位点通过对H2O吸附和后续O–H键断裂过程催化H2生成;而双金属Fe-Co位点可协同吸附CO2,通过对O和C中心的氢化作用分别生成CO和HCOOH。该工作通过光诱导实现了单位点向双位点转化,为在分子水平上调控PHE与CO2RR的竞争反应提供了新策略。
随着现代社会的快速发展,全球能源需求持续攀升。化石燃料消耗的日益增加与温室气体的大量排放,促使人们对可持续和可再生能源的探索。利用太阳能驱动PHE和CO2RR是实现光能-化学能转化的重要途经,但这两个反应涉及质子耦合电子转移步骤以及多种反应中间体,在同一催化体系中调控这两条相互竞争的反应路径,依旧是一项艰巨挑战。催化剂的活性与反应路径在很大程度上取决于催化位点的特性,因此迫切需要开发具有明确结构的理想催化剂,以明晰控制PHE和CO2RR选择性的关键因素。NP是一种典型的普鲁士蓝类似物,具有明确的晶体结构,且同一结构中可实现多种金属位点的均匀交错分布,是研究催化构效关系的极佳材料。更重要的是,NP中Fe-NO键受光照等因素影响,易裂解从而暴露出不饱和配位的金属位点,可以在单一框架内实现单金属位点与双金属位点的转变。
1. 光激发-NO释放为单/双金属催化位点的转化提供了可能:通过光诱导去除-NO基团,将FeCo-NP中的单金属Co活性位点转化为FeCo-NP-24中的双金属Fe-Co位点。
2. 单/双金属催化位点的调控为催化选择性提供了物质基础:FeCo-NP展现PHE性能,H2产率为28.5 mmol g-1,选择性为85.4%。具有Fe-Co双金属位点的FeCo-NP-24催化CO2光还原,C1产物产率为31.5 mmol g-1,选择性为87.3%。
图1. NP中单/双金属催化位点的转化并分别用于PHE和CO2RR的示意图。
图2.(a)FeCo-NP和(b)FeCo-NP-24的SEM图像;(c)FeCo-NP-24的EDS元素分布图。
本文通过光诱导FeCo-NP释放NO,实现从单金属Co位点(FeCo-NP)向双金属Fe-Co位点(FeCo-NP-24)的转化。扫描电子显微镜和高分辨透射电子显微镜表征结果显示,FeCo-NP与FeCo-NP-24均呈现平均直径为600 nm的球形形貌,N、Co和Fe元素在催化剂中均匀分布,且催化剂形貌保持完整(图2)。
图3.(a)FeCo-NP-n的PXRD图谱和 (b) FTIR光谱。(c) FeCo–NP和FeCo-NP-24的氮吸附等温线;(d) FeCo-NP和FeCo-NP-24的Fe 2p XPS谱。
本文对FeCo-NP-n(n = 2、6、12、24 h,代表光照时间)进行了系统的表征(图3)。粉末X射线衍射结果表明,不同预光照时间样品的衍射峰均与FeCo-NP的模拟谱吻合,证实光照后晶体结构保持不变。傅里叶变换红外光谱中,1941 cm-1处的ν(NO)特征峰强度随光照时间延长逐渐减弱,证明了NO基团的光诱导释放过程。氮气吸附-脱附测试表明,FeCo-NP和FeCo-NP-24均呈现典型的I型特征,其中FeCo-NP-24的比表面积和孔径增大,进一步表明NO基团脱除后晶体骨架结构得以保持。X射线光电子能谱分析表明,光照后Fe中心仍维持 +2 价,说明光诱导过程未改变金属中心的氧化态。
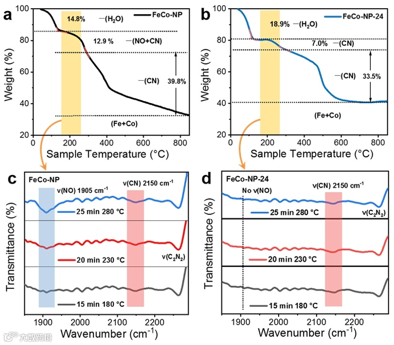
图4.(a, c)FeCo-NP和(b, d)FeCo-NP-24的TGA-FTIR表征。
FeCo-NP的的同步热重-红外光谱联用图显示,在270 °C条件下,图谱在1900 cm-1和2150 cm-1附近分别出现NO和CN的振动峰,而FeCo-NP-24中未观测到NO振动峰,证明材料中-NO基团已实现完全脱除(图4)。
图5.(a)FeCo-NP和(b)FeCo-NP-24的k空间实验和拟合曲线;(c)FeCo-NP和(d)FeCo-NP-24的q空间实验和拟合曲线;(e)FeCo-NP和(f)FeCo-NP-24的实验和拟合曲线。
通过X射线吸收光谱对FeCo-NP和FeCo-NP-24的金属价态及配位环境进行深入解析(图5)。Fe的k边X射线近边吸收谱表明,两种材料中Fe的氧化态均与FeCl2价态相近,为 +2 价。通过扩展X射线吸收精细结构谱拟合与小波变换分析,FeCo-NP中Fe的第一壳层包含五个Fe-CN基团和一个Fe-NO基团。FeCo-NP-24中Fe的第一壳层包含一个轴向Fe-CN基团、四个平面Fe-CN基团以及一个Fe-OH2基团,进一步证明实现了单金属Co位点向双金属Fe-Co位点的转换。根据系列表征,最终确定FeCo–NP-24的结构式为Co[Fe(CN)5H2O]·(H3O)H2O。
图6.(a)光照去除-NO的以实现Co单金属位点向FeCo双金属位点的转变示意图;(b)FeCo-NP-n的催化性能;(c)FeCo-NP-24和(d)FeCo-NP的光催化稳定性。
为探究结构转变对催化性能的影响,系统评估了FeCo-NP-n系列催化剂在常温常压下的光催化性能(图6)。FeCo-NP表现出优异的PHE活性,H2产率达28.5 mmol g-1(选择性85.4%);而经24 h预光照的FeCo-NP-24则展现出CO2RR性能,C1产物产率为31.5 mmol g-1(选择性87.3%)。随着预光照时间延长,催化活性呈现从PHE到CO2RR的连续转变趋势。通过光诱导策略实现单金属Co位点(FeCo-NP)向双金属Fe-Co位点(FeCo-NP-24)的转化,能够有效调控光催化反应路径,实现从PHE到CO2RR活性的定向切换。且两种催化剂表现出良好的循环稳定性,进一步验证了该预光照调控策略的可靠性。
基于FeCo-NP与FeCo-NP-24显著的催化性能差异,本文对催化体系的反应机制进行了探究。瞬态光谱表征显示,加入FeCo-NP,[Ru(bpy)3]2+激发寿命保持稳定,表明[Ru(bpy)3]2+与FeCo-NP之间无明显电子转移。在BIH存在条件下, [Ru(bpy)3]2+被还原为[Ru(bpy)3]+,寿命为69.30 µs。而当[Ru(bpy)3]2+、BIH与FeCo-NP共存时,[Ru(bpy)3]+的寿命缩短至4.01 µs,表明电子从[Ru(bpy)3]+高效转移至催化剂,说明反应体系遵从还原机制。
图7.(a)添加或不添加FeCo-NP时,[Ru(bpy)3]2+在455 nm处的瞬态吸收光谱。(b)加入BIH或BIH与FeCo-NP混合物后,[Ru(bpy)3]+在510 nm处的瞬态吸收光谱。(c)在FeCo-NP-24和(d)FeCo-NP上光催化CO2RR和PHE时的原位FTIR光谱。(e)单金属Co位点上PHE的吉布斯自由能图。
采用原位红外表征技术对反应过程的中间体进行跟踪(图7)。随着光照时间的延长,HCO3*、CO3*、*COO –和HCOO*等中间体信号峰的增强,表明反应中CO2RR反应的进行。通过DFT计算对FeCo-NP中Co位点上的PHE反应路径进行研究。计算表明,在连续的H2O吸附-解离过程中,两个吸附态H原子偶联生成H2,实现H2的高效合成,其决速步为第二个H2O的吸附过程,对应的反应能垒为1.260 eV。
图8.(a)双金属Fe-Co位上CO和HCOOH生成的吉布斯自由能图;(b)双金属Fe-Co位点上通过Fe路径生成CO和HCOOH的反应中间结构。
在预光照后,NO基团释放促使Fe-Co双金属催化位点形成,使FeCo-NP-24中的Fe与相邻Co位点产生协同催化效应驱动CO2RR(图8)。具体路径为:H2O在Fe位点解离生成OH*中间体,随后CO2吸附于相邻Co位点;经两次O氢化生成H2O后,形成Fe-OCO-Co中间体;通过C和键合于Co位点的O逐步加氢,最终生成HCOOH。其中,Fe-OCO-Co中间体与Co-Fe相互作用(IM8)时的O加氢反应是CO生成的关键步骤,而以1.291 eV为势垒的吸附态H2O解离过程为该路径的决速步。DFT计算结果表明,FeCo-NP中的单金属Co位点主导PHE,FeCo-NP-24中的双金属Fe-Co位点协同驱动CO2RR。
本工作通过简单的光诱导NO基团脱除策略,实现FeCo-NP中单金属Co活性位点向FeCo-NP-24中Fe-Co双金属位点的转换,从而精准调控光催化反应路径从PHE到CO2RR的定向转换。单金属Co位点表现出优异的PHE性能,H2产率达28.5 mmol g-1,选择性为85.4%;经光照处理后,形成Fe-Co双金属位点,能够实现高效CO2RR,C1产物总产率为31.5 mmol g-1,选择性达87.3%。系统的研究表明,FeCo-NP的高效PHE,源于Co位点对H2O分子的强吸附作用及后续的O-H键断裂过程。FeCo-NP-24中均匀分布的Fe-Co双金属位点,能够协同吸附CO2并通过后续加氢反应实现高效的CO2RR。该工作通过分子层面的活性位点调控,成功实现了对PHE与CO2RR竞争反应的定向调控,为设计多功能光催化剂提供了新的思路。
Steering artificial photosynthesis via photoinduced conversion of monometallic to bimetallic sites in FeCo nitroprussides
Hao Wang, Gui-Lin Zhuang, Yingjie Fan, Hua-Qing Yin, Wei Zhang, Zhe Wu, Shuang Yao, Tong-Bu Lu, Wenbin Lin and Zhi-Ming Zhang, Nat. Commun. 2025, DOI:10.1038/s41467-025-61129-x
张志明,天津理工大学材料学院教授、博士生导师。2005年与2010年分别于东北师范大学获得学士和博士学位,随后在厦门大学、中国科学技术大学、大连化学物理研究所及芝加哥大学从事博士后与访问研究。2016年通过天津理工大学“理工学者百人计划”人才引进项目加入该校。长期从事团簇催化剂的创制与应用基础研究,主持国家自然科学基金优秀青年科学基金项目、重大研究计划及天津市杰出青年科学基金等项目,以第一/通讯作者在Nat. Synth.、PNAS、J. Am. Chem. Soc.、Angew. Chem. Int. Ed.、Nat. Commun.、Adv. Mater.、Natl. Sci. Rev.、CCS Chem.、Acc. Chem. Res.等期刊发表论文100余篇,总引用超10000次,授权发明专利9项。获2023年天津市自然科学一等奖(排名第二)等4项省部级奖励;入选天津市中青年科技创新领军人才(2020)、天津市特聘教授(2018)等人才计划。2020年以来,指导的博士生连续4届获校级优秀博士学位论文奖,其中1人获天津市优秀博士学位论文。
林文斌,美国芝加哥大学化学系James Frank讲席教授,兼任医学中心放射治疗系、路德维希癌症转移研究中心教授及综合癌症中心成员。1988年毕业于中国科学技术大学化学物理系,获学士学位;1994年获美国伊利诺伊大学厄巴纳-香槟分校化学博士学位;1994 - 1997年在美国西北大学从事国家科学基金博士后研究(合作导师:Tobin J. Marks)。林教授的研究聚焦可持续发展和人类健康相关的分子材料设计,发表同行评审论文425篇,总引用逾73000次。他开创了金属有机框架(MOFs)在化学转化催化及生物医学中的应用,并创立两家临床阶段生物制药公司。因在功能分子材料领域的贡献,入选1999 - 2009年全球“十大化学家”及2000 - 2010年全球“顶尖百名化学家”榜单。
庄桂林,安徽师范大学教授、博士生导师。2005年与2010年于厦门大学化学系基地班分获学士、博士学位;2010–2024年历任浙江工业大学化工学院讲师、副教授、教授、健行特聘教授;其间于2018年赴比利时荷语鲁汶大学表面化学与催化研究中心访学;2024年调入安徽师范大学化材学院。2018年获浙江省杰出青年科学基金资助;2019年入选浙江工业大学“青年英才计划”杰青项目;2020年入选“浙江省高校领军人才(高层次拔尖人才)”,同年获国家优秀青年科学基金资助。主持国家自然科学基金优青、面上、青年项目及浙江省基金、企业横向课题等。在Nat. Commun.、J. Am. Chem. Soc.、Angew. Chem. Int. Ed.、Natl. Sci. Rev.、NPJ Comput. Mater.、Adv. Funct. Mater.、J. Catal.、J. Chem. Phys.等期刊发表论文数十篇,获授权专利及软件著作权多项。研究方向为物理无机化学,致力于通过合成化学与多尺度方法设计新型低维无机材料(如磁性团簇)。
尹华卿,天津理工大学新能源材料与低碳技术研究院副研究员。2015年本科毕业于山东师范大学,2020年获南开大学博士学位;2018 - 2020年作为联合培养博士生赴美国新泽西州立罗格斯大学李静教授课题组学习;2020年入职天津理工大学。研究方向为团簇及多孔复合材料的光电催化,以第一/通讯作者在J. Am. Chem. Soc.、Adv. Mater.、Angew. Chem. Int. Ed.、Nat. Commun.、Acc. Chem. Res.、J. Energy Chem.、Chem. Sci.等期刊发表多篇论文(含2篇高被引论文),申请发明专利5项,主持国家自然科学基金面上及青年项目各1项。现任《应用化学》青年编委。
张志明教授团队主页:https://nem.tjut.edu.cn/Welcome_to_Zhang_Research_Group/Publication/y2023.htm
声明

