第一作者:陈亮(华北电力大学)
通讯作者:王文静
通讯单位:河北大学
论文DOI:10.1016/j.cej.2025.165722
石墨相氮化碳(g-C3N4,CN)光催化CO2还原具有广阔的前景,但其对可见光响应能力弱且电子-空穴复合严重,限制了光催化CO2还原效率。本研究设计了一种非金属Cl与金属Co共掺杂的CN材料(Cl/Co-CN),通过Cl与Co的协同互补效应突破了纯CN的固有局限。Cl/Co-CN的CO产率达到纯CN的11倍,且显著超过单一Cl掺杂CN与Co掺杂CN的产率之和。表征分析表明,Cl掺杂主要缩小了CN的带隙并拓宽其光吸收范围,而Co掺杂则有效抑制电子-空穴复合并降低电荷迁移阻力。二者协同作用共同提升了CN的可见光吸收与电荷分离效率。密度泛函理论(DFT)计算显示,Cl/Co-CN的价带和导带分布较纯CN更为离散,从而促进电子-空穴分离。这项工作为提升氮化碳光催化CO2还原性能提供了新的策略。
图1 互补性Cl、Co掺杂增强氮化碳光催化CO2还原机理示意图
随着大气中CO2的持续累积,日益严峻的全球变暖问题导致极端气候事件频发。碳捕集、利用与封存(CCUS)技术已成为控制CO2排放的关键手段。其中,光催化CO2还原技术能利用太阳能将CO2转化为CO、CH4等具有经济价值的化学品,兼具环境效益与经济效益,被视为极具前景的CO2资源化利用方案。该技术的核心挑战在于开发高性能光催化剂。石墨相氮化碳(CN)是一种有潜力光催化剂,CN具有能利用可见光、高化学稳定性、易制备等优点。但可见光响应能力不足、光生电子-空穴复合严重等,是限制其光催化CO2还原效率的主要原因。
1、不同于传统掺杂改性对CN光吸收、电荷迁移等某单方面的改善,本研究提出采用非金属Cl和金属Co元素对CN进行互补性掺杂;
2、Cl掺杂能缩小CN的带隙并拓宽其光吸收范围,而Co掺杂则有效抑制CN的电子-空穴复合并降低电荷迁移阻力,共掺杂后Cl、Co功能互补,将CN的CO产率提升11倍。
图2 催化剂合成过程及形貌特性
如图2,采用对薄层氮化碳水热处理的方法制备Cl、Co共掺杂氮化碳Cl/Co-CN,TEM-EDS测试表明Cl、Co元素均匀掺杂进CN中。所制备的Cl/Co-CN基本上保持了CN的薄层结构,但水热、掺杂过程使其变得更薄。
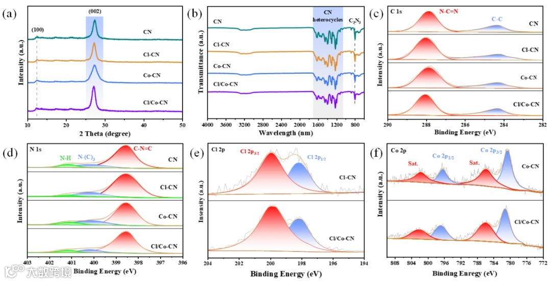
图3 催化剂物化结构表征
图3a-b的XRD和FTIR测试表明,Cl、Co掺杂对CN的晶体结构和官能团影响不大。XPS分析(图3c-f)表明,在CN中,Cl与C成键,而Co倾向于与N结合。
图4 催化剂性能评价
图4a催化剂性能实验评价表明,Cl/Co-CN的CO产率达到18.89 μmol·g−1·h−1,是纯CN(1.72 μmol·g−1·h−1)的11倍,且显著超过单一Cl掺杂CN(5.58 μmol·g−1·h−1)与Co掺杂CN(7.57 μmol·g−1·h−1)的产量之和。如图4b-c所示,在长期稳定性和循环性能测试中,Cl/Co-CN的光催化CO产量随着连续照射10小时而稳定增加,在5次循环后,CO的产率下降较小,证明了Cl/Co-CN的良好稳定性。
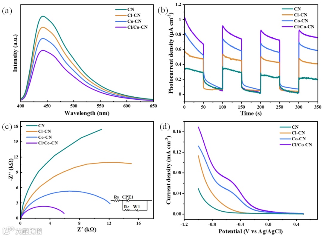
图5 催化剂光吸收性能及能带结构
催化剂的光吸收及能带分析(图5)表明,Cl掺杂能显著降低CN的带隙,提升其可见光光吸收范围,而Co掺杂对其可见光吸收范围影响较小。
图6 催化剂电荷分离与迁移性能
催化剂电荷分离与迁移性能表征(图6)表明,相比Cl掺杂,Co掺杂具有更强的抑制CN光生电子-空穴复合、降低电荷传递阻力的能力。结合图5和图6可以发现,Cl与Co掺杂能够发挥互补作用,共同提升CN的光吸收能力和电荷分离、迁移能力。
图7 催化剂性能提升机理的DFT计算分析
DFT计算(图7)进一步表明,Cl/Co-CN的价带VBM和导带CBM分布较纯CN更为离散,从而促进电子-空穴分离。Cl、Co掺杂还能通过促进CO2在CN表面的吸附以及CO产物在CN表面的解吸来提升CO的产率。
通过溶剂热法成功制备了Cl和Co共掺杂的g-C3N4催化剂。测试结果表明,与纯CN相比,单一Cl-CN和Co-CN的CO生成量仅略有提升,而Cl/Co-CN的CO产率提升到CN的11倍,且显著超过Cl-CN与Co-CN产量的总和,这表明Cl与Co掺杂在提升CN材料CO2光还原活性方面具有协同效应。其中,Cl掺杂主要通过缩小带隙拓宽CN的光吸收范围,而Co掺杂则通过抑制载流子复合、降低电荷迁移阻力发挥作用。两种掺杂的互补作用有效克服了CN材料的主要缺陷。该研究为提升氮化碳光催化CO2还原性能提供了新的策略。
Complementary enhancement of light harvest and charge separation by Cl and Co doping of g-C3N4 for photocatalytic CO2 reduction
https://www.sciencedirect.com/science/article/pii/S138589472506560X?dgcid=author
通讯作者:王文静,河北大学研究员,硕导,博士。被授予“河北省省级特聘专家”称号,入选“新时代保定好青年”称号、河北大学五四青年奖章。主要从事碳捕集与利用技术的研发与推广。主持国家自然科学基金、河北省引进海外高层次人才项目、河北省自然科学基金、河北省教育厅青年拔尖人才项目等纵向项目10项。在Chemical Engineering Journal、Advanced Functional Materials、Applied Energy、Bioresource Technology、ACS Sustainable Chemistry & Engineering、Fuel等国际权威期刊,发表学术论文40 余篇,其中包括20余篇第一/通讯作者论文。担任国际期刊Separation and Purification Technology、Green Energy and Resources 的青年编委。
第一作者:陈亮,华北电力大学能源动力与机械工程学院副教授,硕士生导师。主要从事碳捕集转化、燃煤污染控制技术研发。主持国家自然科学基金青年项目、国家重点研发计划子课题、河北省自然科学青年/面上项目等国家及省部级课题6项。以第一/通讯作者在Chemical Engineering Journal、Separation and Purification Technology、AIChE Journal、Fuel、Applied Surface Science等国际、国内权威期刊发表论文20余篇。
声明

