第一作者:陈子越(华中师范大学)、刘旭鹏(华中师范大学)
通讯作者:李浩(上海交通大学)、艾智慧(华中师范大学)
通讯单位:华中师范大学,上海交通大学
论文DOI:10.1016/j.apcatb.2025.125698
低分子量羧酸盐在含铁颗粒上的光化学转化严重影响大气氧化能力和二次气溶胶的形成。然而,铁矿物表面性质在如何作用于羧酸配合物配位结构及其光反应性尚不清楚。本文表明,吸附在铁氧化物(α-Fe2O3、α-FeOOH、Fe3O4)上的SO2,通过质子化表面氧原子,削弱Fe–O键,诱导酸化表面上的铁(III)-草酸盐配合物从单齿结构重构为双齿结构。这种结构演变增强了轨道重叠,促进了太阳照射下配体到金属的电荷转移,从而加速了碳中心自由基和活性氧的形成。因此,表面介导的SO2催化氧化途径使得硫酸盐的光化学产量放大了1-5倍。这项工作揭示了酸性气体吸附和铁-羧酸光化学特性之间的协同机制,为大气氧化性增强和二次气溶胶形成的界面催化过程提供了新的见解。
低分子羧酸盐是大气中水溶性有机碳(WSOC)的主要组成部分,它们在大气化学中具有重要作用。它们主要来源于生物质燃烧和挥发性有机化合物(VOCs)的气相氧化。大气水相中,这些羧酸阴离子能与铁等过渡金属离子络合,形成铁(III)-羧酸盐配合物,这种配合物具有强光吸收能力,并在紫外光照射下能够发生光化学反应,生成自由基和活性氧物种。这些铁(III)-羧酸盐配合物在光照下发生的光化学反应,不仅生成碳自由基(如•RCOO)和活性氧种(如•OH、•O2⁻),还可能引发大气中其他化学反应。值得注意的是,铁-羧酸盐配合物的光化学转化远超大气水相中的反应,因为包括赤铁矿(α-Fe2O3)、针铁矿(α-FeOOH)和磁铁矿(Fe3O4)在内的含铁矿物颗粒是普遍存在的大气组分。而这些含铁矿物表面Fe(III)-羧酸盐配合物可能为SO2提供了一条独特的机制途径。尽管已有研究表明铁矿物表面的Fe(III)-羧酸盐络合物能参与SO2的光化学氧化,但其具体的反应机制,尤其是表面酸性如何影响这些络合物的结构和反应性尚不清楚。本文将通过实验和理论分析,系统阐明吸附SO2酸化矿物表面的过程,及对铁矿物上的草酸盐光化学转化的影响和SO2光氧化的机理。
(1) 吸附SO2诱导铁氧化物表面O质子化,削弱Fe−O键,并促进≡Fe(III)-草酸盐配位从单齿结构转变为更具光化学活性的双齿结构。
(2) 双齿配合物增强配体到金属的电荷转移,促进太阳能驱动的碳中心自由基和活性氧的产生。
(3) 矿物表面二氧化硫光氧化与羧酸铁配合物光转化的协同作用机制。
SO2存在加速了铁矿物表面草酸盐的光降解,同时草酸盐存在也促进了SO2氧化生成硫酸盐。突出了铁矿物表面草酸盐光转化和SO2光氧化的协同作用。
图1 二氧化硫和草酸盐在铁矿物上的光化学转化。
自由基捕获实验显示,•O2⁻和•OH是SO2光氧化反应的活性物种,而碳中心自由基在反应过程中发挥了更重要的作用。EPR光谱证实了SO2老化后,α-Fe2O3-草酸盐上通过≡Fe(III)-草酸盐配合物的光化学脱羧,产生了•C2O4−或•CO2−。结合气相色谱测量到气态CO2水平显著积累,以及高分辨率XPS显示表面C–O和C=O官能团的损耗和≡Fe(II)的比例增加,突出了SO2在增强≡Fe(III)-草酸盐配合物光激发,同时将Fe(III)-光还原为Fe(II)方面的关键贡献。这证实了LMCT驱动α-Fe2O3上的≡Fe(III)-草酸配合物的光化学反应。
图2 反应活性物种的探究。
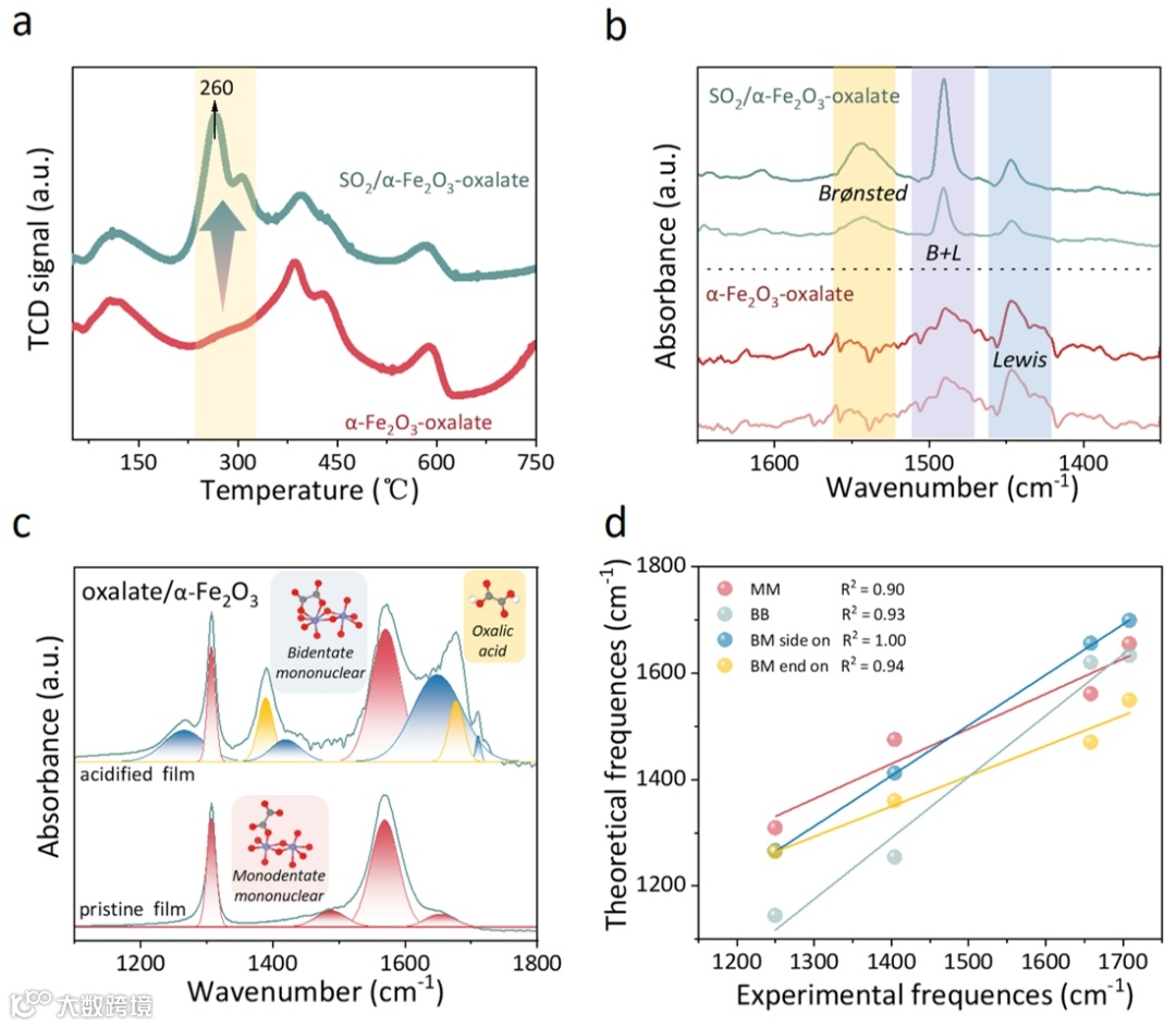
NH3-TPD和Py-IR光谱变化表明,SO2吸附在α-Fe2O3表面引入了大量新的质子酸(Brønsted)。ATR-FTIR有助于从分子水平上了解≡Fe(III)-草酸盐配合物在Fe2O3上的结构。随着表面酸度的增加,铁矿物表面出现了新的配位草酸盐特征峰。基于密度泛函理论(DFT)的定量相关分析,结合模拟光谱斜率、标准差和接近1.00的R2值,证实了这些新的ATR-FTIR特征与草酸盐在α-Fe2O3上的双齿-单核(BM)吸附模式密切匹配。这种结构重构可能会提高LMCT效率,这是≡Fe(III)-草酸盐配合物光化学活性的基础。
图3 Fe2O3表面酸度提升及其对≡Fe(III)-草酸盐配位结构的影响。
DFT计算揭示了SO2与H2O共同吸附后,诱导自由质子强烈吸附在晶格O上,导致Fe2O3表面酸化。晶体轨道汉密尔顿族(COHP)分析量化了原始和酸化α-Fe2O3表面的Fe−O键强度。与原始α-Fe2O3表面相比,键强度有所降低。这种不稳定归因于质子诱导的电子从Fe−O键轨道上退出,扰乱了≡Fe(III)中心的电子微环境,并导致中心电子缺乏,从而引发草酸盐配体的重新配位,驱动从MM到BM的结构转变。双齿结构增强了金属-配体之间的电子转移,从而提高了配合物的光化学反应能力。这一结构变化使得Fe(III)-草酸盐复合物具有更强的光激发能力。
图4 ≡Fe(III)-草酸盐重构及光激发的理论研究。
这项研究证明了含铁气溶胶通过与低分子量羧酸盐的表面络合,增强白天的大气氧化能力。普遍存在的大气酸性污染物SO2,通过改变草酸盐和氧化铁之间的表面配位结构,显著促进了这一过程。具体来说,SO2吸附诱导晶格氧原子质子化,削弱Fe−O键,并促进≡Fe(III)-草酸盐配位从单齿结构转变为更具光化学活性的双齿结构。这反过来又增强了配体到金属的电荷转移,导致碳中心自由基和活性氧的产生增加。通过联系矿物界面化学与大气氧化性,这项工作强调了一种涉及铁气溶胶的大气组分形成途径,今后的研究应调查多种污染物的综合影响以及这些过程的长期环境后果,包括对人类健康和气候的潜在影响。
图5 SO2诱导≡Fe(III)-草酸盐配位构型转变的示意图。
Z. Chen, X. Liu, H. Li, S. Kuang, L. Tan, L. Zhang, Z. Ai, SO2-Enhanced Photochemical Transformation of Carboxylates on Iron Oxides Amplifies Secondary Sulfate Aerosol Formation, Applied Catalysis B:Environment and Energy, 2025, 125698.
https://www.sciencedirect.com/science/article/abs/pii/S0926337325006812
艾智慧,华中师范大学化学学院二级教授,湖北省杰出青年基金获得者。主要研究领域为铁环境化学、高级氧化技术和污染控制;主持基金委区域创新联合基金项目及科技部重点研发项目课题,主持多项结题和在研的国家自然科学基金面上项目;已获授权发明专利十余项。在Proc. Natl. Acad. Sci. U.S.A.、Angew. Chem.、Environ. Sci. Technol.、Water Res.等学术期刊发表论文160余篇,其中11篇入选ESI高被引论文。截至2025年7月论文已被引用14000余次,H因子69。2015年获得教育部自然科学二等奖(第二完成人),2018年进入英国皇家化学会“Top1%高被引中国作者”(环境工程类)榜单,2019年起连续入选Elsevier发布中国高被引学者榜单,2019年获湖北省自然科学一等奖(第二完成人)。
李浩,上海交通大学环境科学与工程学院长聘教轨副教授,博士生导师,优秀青年科学基金项目(海外)获得者。从事污染控制化学、光/电催化和纳米环境材料等研究,负责和主持国家重点研发计划、国家自然科学基金、上海市科技创新计划等项目。以第一作者和通讯作者在Nat. Sustain.、Nat. Commun.、PNAS、JACS、Angew. Chem.等期刊发表论文40余篇,其中12篇入选ESI高被引论文,论文总引用8000余次,相关工作入选ES&T年度最佳论文和ACS Editors' Choice。目前担任Sustainability Science and Technology编委,Nano-Micro Letters、Fundamental Research青年编委,2019年获湖北省自然科学一等奖,2024年入选科睿唯安全球高被引科学家。
声明

