第一作者:张博
通讯作者:杨彬、周少东
通讯单位:浙江大学、浙江大学衢州研究院
论文DOI:https://doi.org/10.1016/j.apcatb.2025.125727
近日,浙江大学化工学院杨彬教授、周少东研究员等课题组在 Applied Catalysis B: Environment and Energy 期刊上发表了题为“Enhancing universal pH ammonia electrosynthesis kinetics via tandem nanoconfined dual-layer catalysis with delayed proton compensation”的研究论文。该工作创新性地报道了一种CuFe@CuNi 串联纳米限域双层催化剂,其通过简便的两步电沉积法合成 。该催化剂在硝酸盐电还原制氨方面展现出卓越性能:实现了2.36 mol h-1 cm-2 的高氨产率、100%的法拉第效率以及98.7%的氨选择性(在-1.4 V vs Ag/AgCl条件下) 。尤为突出的是,该催化剂能够在pH 3至 11 的宽广范围内高效运行,法拉第效率始终保持在80%以上,并在 pH 5-7 的中性及弱酸性条件下达到100%的峰值 。本研究结合实验证据和理论模拟,揭示了一种独特的纳米限域催化机制。该机制的主导性通过动力学分析(对总活性贡献约68.6%)和选择性中毒实验得到定量证实 。研究发现,关键创新在于通过层状双氢氧化物(LDH)结构中的氧交换增强了硝酸盐吸附,从而促进了还原动力学 。此外,还揭示了一种延迟质子补偿机制,它促进了吸附态 ∗NO2中间体的氢化,从而有效抑制了竞争性析氢反应 。通过设计催化剂的纳米限域反应环境,本工作为开发稳健的、pH 普适型催化剂以解决关键环境和能源挑战提供了新范式。
氨,作为重要的工业原料和农业肥料,其传统哈伯-博世(Haber-Bosch)合成法能耗巨大并伴随大量CO2排放(占全球CO2排放的1.5%)。电化学合成氨提供了一种可持续的替代方案,可在温和条件下利用可再生能源 。然而,在宽泛pH 范围(尤其在酸性介质中)实现高性能硝酸盐还原制氨,仍然是一个严峻的挑战 。此过程因涉及复杂的多电子传输和易发生副反应(如析氢,HER)导致转化效率和选择性难以兼顾。传统策略在酸性条件下存在性能和稳定性问题 ,且铜、铁、镍等常见催化剂自身存在局限性,如铜在硝酸盐还原中选择性差易形成副产物 ,铁在酸性条件下性能和稳定性显著下降 ,镍在低过电位下难以保持高效率 。因此,开发能在普适pH 范围内高效运行的催化剂,对于推动氨电合成的实际应用至关重要。层状双氢氧化物(LDHs)因其可调组成、高比表面积及有效离子扩散特性,为增强反应动力学和质子转移提供了有前景的平台,有望解决传统催化剂的效率瓶颈 。LDH独特的层间结构能更好地管理质子动力学,并优化与硝酸盐离子的相互作用,这对于在宽 pH 范围内保持高催化活性至关重要。然而,层间反应在硝酸盐还原中的作用仍未被充分探索,特别是限域空间如何影响催化过程。为进一步发挥这些层状结构的潜力,串联催化作为一种引人注目的策略,通过不同活性位点促进连续反应步骤 ,有望解决中间体积累等挑战,从而提升反应效率和选择性。相较于传统催化剂难以有效引导的复杂序列步骤,串联催化提供了一种有前景的策略,可以增强对反应途径控制并改善整体性能。
1. 高效且普适的pH催化性能
该催化剂实现了2.36 mol h-1 cm-2的高氨产率,并达到了100%的法拉第效率和98.7%的氨选择性(在-1.4 V vs Ag/AgCl条件下)。它能够在pH 3 至 11 的宽广范围内高效运行,法拉第效率始终保持在80%以上,并在 pH 5-7 的中性及弱酸性条件下达到100%的峰值。
2. 纳米限域催化机制的深入揭示
结合实验证据和理论模拟,揭示了一种独特的纳米限域催化机制。该机制的主导性通过动力学分析(对总活性贡献约68.6%)和选择性中毒实验得到定量证实。
3. 关键创新机制的阐明
研究发现,关键创新在于通过层状双氢氧化物(LDH)结构中的氧交换增强了硝酸盐吸附,从而促进了还原动力学 。此外,还揭示了一种延迟质子补偿机制,它促进了吸附态∗NO2中间体的氢化,从而有效抑制了竞争性析氢反应。
4. 新范式的提出
通过设计催化剂的纳米限域反应环境,本工作为开发稳健的、pH 普适型催化剂以解决关键环境和能源挑战提供了新范式。
图1 CuFe@CuNi的结构与组成特征
图1a-h展示了CuFe@CuNi独特的分级双层纳米片结构。通过两步电沉积法,成功构建了由相互连接的纳米片组成的绣球花状形貌。大型的CuFe LDH纳米片(数百纳米)作为结构骨架,而较小的CuNi LDH纳米片(数十纳米)均匀分布其表面。SEM和HRTEM图像清晰地揭示了纳米片结构和层状晶格条纹,层间距为0.256 nm,这与LDH结构特征高度吻合,证实了材料的良好结晶性。AFM图像进一步证实了纳米片的层状形貌,平均厚度约为2.3 nm 。图1i-j的XPS谱图确认了CuFe@CuNi中Ni、Cu和Fe的氧化态,表明了金属离子的成功引入和协同作用。图1k呈现了CuFe@CuNi的纳米结构模型,准确复制了复合材料复杂的双层特性。这些表征结果共同构成了该催化剂高活性和稳定性的结构基础。
图2 电化学性能和稳定性测试
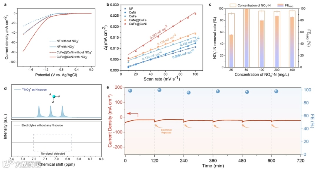
图2a的LSV曲线显示,与NF相比,CuFe@CuNi表现出更高的还原电流和更正的起始电位,表明其增强的硝酸盐吸附和高效电子转移能力。图2c揭示了CuFe@CuNi在不同浓度硝酸盐下的去除率和法拉第效率,其在宽电位范围内对NO3--N还原具有优异的选择性。在120分钟内,该电极保持了高去除率和一致的高法拉第效率(>95%),证实了其高效的硝酸盐-氨转化能力。图2e进一步展示了CuFe@CuNi的长期稳定性。在-1.4 V的恒定电位下,催化剂在12小时内电流密度保持稳定,表明其具有持续的催化活性和良好的结构化学稳定性。
图3 氮还原性能和产物分布
图3a和3b比较了CuFe@CuNi与其他对照样品在不同电位下的硝酸盐去除率和NH4+-N生成率,突出了CuFe@CuNi卓越的催化效率和性能优势。尤其是在-1.4 V时,其NH4+-N生成选择性高达98.64%。图3g展示了CuFe@CuNi在不同pH条件下的氮产物分布和法拉第效率。结果表明,该催化剂在pH 3至11的宽广pH范围内展现出卓越的适应性,法拉第效率持续保持在80%以上,并在pH 5、6、7时达到100%的峰值。这有力地支持了“pH普适性催化剂”的论点。图3h以雷达图形式综合比较了CuFe@CuNi与现有先进体系的NO3--RR性能,从六个关键指标(如产率、法拉第效率、选择性、电流密度等)全面展示了其整体优势,强调了串联双层结构带来的显著协同效应 。
图4 串联催化机制的实验验证
图4a 的选择性表面中毒实验证实了受保护的层间位点是主要的催化活性区域。当外部活性位点被体积较大的探针分子H2TPP钝化后,对照催化剂的活性大幅下降(>90%),而CuFe@CuNi仍保留了约75%的活性 。图4b的ESR谱图进一步证实了CuFe@CuNi电极具有优异的H·自由基生成能力,这对于硝酸盐还原至关重要 。图4c呈现了原位拉曼光谱,在30分钟的反应过程中,清晰地追踪了硝酸盐还原的关键中间体形成(如NO3-、NO2-),揭示了最活跃的反应阶段 。
图5 反应机制和能量路径的理论解析
图5a的电子结构分析表明,在CuFe@CuNi中,Cu-3d和Ni-3d轨道与OH-s和O-p轨道强烈耦合,稳定了晶格氧并抑制其活化。Fe的引入进一步削弱了这种耦合,促进了晶格氧活化和NO3-的吸附 。图5b的D-band中心比较和 图5c的差分电荷密度结果进一步证实了CuFe@CuNi上中间体(如*NO3和*NO2)的更强吸附。图5d提供了所提出的串联反应路径示意图,该路径通过氧交换吸附、延迟质子补偿和层间转移等关键步骤协同作用,实现了高效硝酸盐还原。图5e呈现了DFT计算得到的自由能曲线。结果表明,CuFe@CuNi展现出比CuNi/CuNi更平滑的反应路径,成功规避了CuNi/CuNi上2.10 eV的限速步骤(∗NO3→∗NO2)。取而代之,CuFe@CuNi上唯一的明显能垒出现在质子化步骤(*N → *NH),为1.98 eV,这与延迟质子补偿机制相吻合 。
本研究成功开发了一种新型的CuFe@CuNi 串联双层催化剂,并在普适 pH 范围内实现了高效的硝酸盐还原制氨。该催化剂不仅展现出卓越的氨产率(2.36 mol·h−1 cm−2)、100%的法拉第效率、98.7%的高氨选择性以及接近定量的硝酸盐转化能力 ,更重要的是,它能够在pH 3 至 11 的宽广 pH 范围内保持高效和稳定运行,法拉第效率始终保持在80%以上,并在 pH 5-7 的中性及弱酸性条件下达到100%的峰值。通过综合实验和理论分析,研究团队为所提出的纳米限域串联催化机制提供了明确定量证据。中毒实验证实,受保护的层间区域是主要的反应活性位点,即使外部位点被阻断,仍能保留约75%的活性。此外,动力学分析表明,这种独特的架构使其固有单位点活性比其组分提高了3.2倍,纳米限域途径对总活性的贡献率约为68.6%。这种协同效应归因于通过氧交换增强的硝酸盐吸附,以及优化质子传输和稳定关键中间体的延迟质子补偿策略。这些发现不仅阐明了一条新颖高效的氨合成途径,也确立了设计纳米限域环境作为开发下一代多功能催化剂的关键设计原则。本研究有望为未来推动催化剂设计提供清晰的指导,以开发适用于关键能源和环境应用的新型、多功能催化剂。
杨彬,博士,教授,博士生导师,任职于浙江大学化学工程与生物工程学院。目前担任浙江大学衢州研究院工业生态研究所所长、浙江大学-凤登环保工业废弃物资源化研发中心主任、工业有机固废气化及高温熔融高值化利用浙江省工程研究中心副主任,衢州市双碳中心常务副主任,入选衢州市115人才第一层次。目前主要研究方向为新型水处理高级氧化技术、新型电化学催化材料制备及应用、固废资源化及高值化利用等。至今已在Angew. Chem. Int. Ed.、Advanced Materials、Nano Energy、Advanced Functional Materials、Applied Catalysis: B、AIChE Journal、Chemical Engineering Journal、Chemical Engineering Science、 Separation and Purification Technology等国内外刊物发表学术论文180余篇,H-index为57,入选clarivate全球高被引科学家,并获得授权发明专利20余项。担任浙江省环境科学学会减污降碳专委会副主任委员、浙江省生态学会湿地生态专业委员会副主任委员、《化工生产与技术》编委、《安全与环境学报》青年编委,获中国颗粒学会自然科学奖一等奖1项,获中国化工学会基础研究成果二等奖1项,浙江省自然科学奖三等奖1项,中国石油和化学工业联合会科技进步奖三等奖1项,课题组主页https://person.zju.edu.cn/keyangb
声明

