第一作者:黄嘉润,陈慧滢
通讯作者:廖培钦
通讯单位:中山大学化学学院
论文DOI:10.1021/jacs.5c09202
过氧化氢(H2O2)的光催化合成是一种极具前景的绿色能源技术,但其发展长期受到催化剂在反应过程中被活性氧自由基降解以及光生电荷分离效率低下的双重制约。针对这些挑战,中山大学廖培钦教授团队创新性地设计并合成了一种将镍−锌(Ni−Zn)双原子位点锚定在聚合氮化碳(PCN)上的高效光催化剂(Ni1Zn1-PCN)。该催化剂以水和氧气为原料,在光照下展现出创纪录的H2O2产率(1205.4 μmol g−1h−1)和前所未有的超长运行稳定性(>376小时,总转换数TON高达2659.6),性能远超目前已报道的最佳催化剂。机理研究表明,Ni−Zn双原子位点的协同效应不仅能诱导载体PCN发生电荷转移激发(CTE),有效抑制电子-空穴复合,还能同时降低水氧化(WOR)和氧还原(ORR)两个半反应的活化能垒,从而实现了整体光催化效率的巨大飞跃。
过氧化氢(H2O2),作为一种重要的绿色氧化剂,广泛应用于消毒、漂白和化工合成等领域。目前工业上主要依赖高能耗、高污染的蒽醌法生产H2O2。相比之下,利用太阳能驱动的光催化技术,从水和空气中直接合成H2O2,无疑是一条更具吸引力的可持续发展路径。
近年来,研究人员开发了多种光催化剂,如MOFs、COFs和单原子催化剂(SACs)等。其中,COFs表现出优异的性能,但其有机骨架在催化过程中产生的强氧化性自由基(如·O2−、·OH)攻击下容易降解,导致稳定性差,难以实现工业应用。而单原子催化剂虽然结构稳定,但其载体(如PCN)通常光生电荷复合严重(局部激发,LE),限制了其催化效率。因此,如何设计一种兼具高效率和超长稳定性的光催化剂,是该领域亟待解决的核心难题。
1. 采用两步脱金属策略,成功在PCN上构建了原子级分散且紧密相邻的Ni−Zn双原子位点(Ni1Zn1-PCN)。
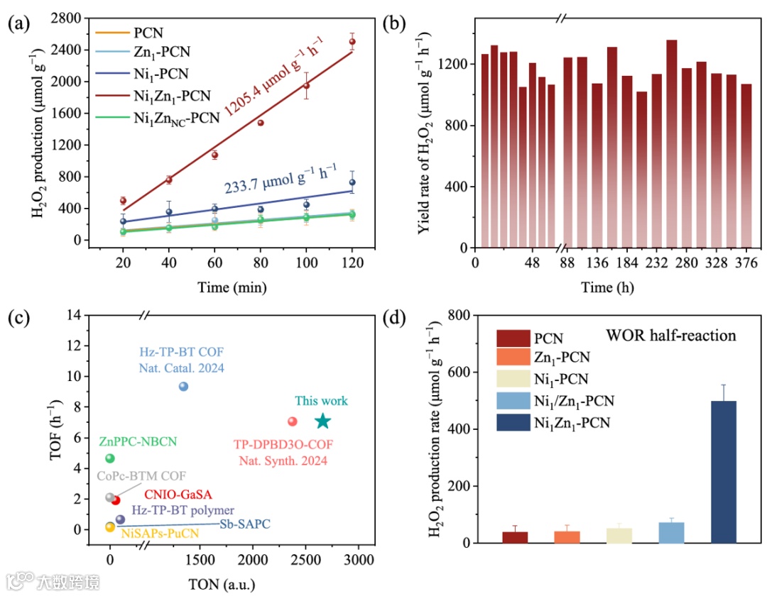
2. 创纪录的催化性能:H2O2产率高达1205.4 μmol g−1 h−1,在400 nm下的表观量子产率(AQY)达到27.6%。催化剂可连续稳定运行超过376小时,总转换数(TON)达到2659.6,远超文献报道的所有光催化剂。
3. 首次证实Ni−Zn双原子位点通过协同作用,诱导电荷转移激发(CTE),实现了光生电子和空穴的空间分离,并同时促进了WOR/ORR两个高效的半反应,最终实现了整体性能的突破。
作者通过两步脱金属法,成功制备了Ni1Zn1-PCN。HAADF-STEM图像显示催化剂中的Ni和Zn物种主要以原子对的形式存在,原子间距约为2.52 Å。X射线吸收光谱(XAS)进一步证实了Ni−N、Zn−N配位以及关键的Ni−Zn键的存在,表明Ni和Zn原子在空间上紧密相邻并存在强烈的电子相互作用。
图1. Ni1Zn1-PCN的制备示意图与结构表征。
光物理性质研究揭示了Ni−Zn双原子位点的独特优势。相比于单原子催化剂,Ni1Zn1-PCN具有最长的载流子寿命和最低的光致发光强度,表明其电子-空穴复合率最低。TDDFT给出了关键解释:在Ni1-PCN中,光生电子富集在Ni位点;然而,在Ni1Zn1-PCN中,光生电子被Zn位点捕获,而空穴则被Ni位点捕获。这种高效的空间电荷分离正是电荷转移激发(CTE)的典型特征,为后续高效的双通道催化反应奠定了基础。
图2. 光物理性质与理论计算揭示Ni1Zn1-PCN的电荷转移激发机制。
在光催化实验中,Ni1Zn1-PCN的H2O2产率(1205.4 μmol g−1 h−1)远超所有对照样品。在长达376小时的循环测试中,催化活性几乎没有衰减,实现了高达2659.6的TON值,其综合性能在已报道的光催化剂中处于领先地位。半反应实验进一步证实了双位点的协同作用:只有Ni1Zn1-PCN在没有牺牲剂的条件下能高效进行水氧化(WOR)生成H2O2,而其他催化剂主要发生四电子水氧化产氧气。这表明Ni位点作为空穴捕获中心,成功将WOR路径从低效的4e−过程扭转为2e−过程。
图3. 光催化产H2O2性能测试及稳定性评估。
结合理论计算和原位红外光谱(ATR-FTIR)等实验,作者清晰地描绘了反应路径。在Ni1Zn1-PCN上,光照产生的电子和空穴分别流向Zn和Ni位点。氧气在Zn位点被还原,生成*OOH中间体,最终形成H2O2(2e− ORR)。水分子在Ni位点被氧化,生成*OH中间体,也同样生成H2O2(2e⁻ WOR)。DFT计算表明,相比于单原子催化剂,Ni−Zn双原子结构显著降低了ORR和WOR两个半反应中关键中间体(OOH和OH)的形成势垒,从热力学上解释了其卓越的催化活性。
图4. 双通道光催化合成H2O2的机理示意图及自由能计算。
本研究成功开发了一种PCN负载的Ni−Zn异核双原子光催化剂,在H2O2光合作用中实现了创纪录的产率和前所未有的长期稳定性。研究团队通过深入的实验与理论分析,揭示了Ni-Zn双原子位点在原子层面的协同机制。这项工作不仅为解决光催化H2O2合成中效率与稳定性的核心矛盾提供了全新的解决方案,其提出的“双原子协同并行催化”设计理念,也为未来开发高性能双功能光催化剂开辟了新的道路。
Ni−Zn Dual-Atom Sites Enable Synergistic Parallel Pathways for Efficient Photosynthesis of H2O2 with Long-Term Stability.
Jia-Run Huang‡, Hui-Ying Chen‡, Hao-Lin Zhu, Pei-Qin Liao*, and Xiao-Ming Chen
J. Am. Chem. Soc. 2025
DOI:https://doi.org/10.1021/jacs.5c09202
廖培钦,博士,中山大学化学学院教授,博士生导师,工作于中山大学化学学院,国家级青年人才。长期致力于金属有机框架(Metal-Organic Framework, MOF)的设计、合成、气体吸附、催化和相关机理研究。迄今,作为第一或通讯作者发表了Science (1篇)、Nat. Nanotech. (1篇,单通)、Nat. Synth.(1篇,单通)、Nat. Sci. Rev. (1篇,单通)、JACS (17篇,含单通12篇)、Angew. Chem. Int. Ed. (9篇,含单通7篇)、Nat. Commun. (2篇)、Adv. Mater. (3篇,含单通1篇)等论文50余篇,应邀发表了4篇综述论文。其中15篇入选ESI高被引论文,5篇被选为封面、热点论文。
声明

