第一作者:何环环(江南大学)
通讯作者:刘小浩教授(江南大学)
论文DOI:10.1016/j.apcatb.2025.125860
(1) MnPOx微孔膜(孔尺寸大约2nm)给电子效应将Rh团簇表面Rhδ+物种的电子态从高氧化态(0<δ<3)调节至0<δ<1,抑制1-己烯异构化转化为内烯烃的反应活性。
(2) MnPOx微孔膜的空间限域效应调节1-己烯的吸附模式朝着生成直链醛的方向进行。
(3) MnPOx微孔膜的合适孔径能显著降低1-己烯在Rh位点上的吸附表面能变(ΔE/E0),促进反应物传质扩散至活性位点上并形成更稳定吸附。
(4) MnPOx微孔膜能显著降低反应物分子吸附过程的熵损失,增加中间物种C6H13*和CO*偶联过程的活化熵(ΔS‡),从而降低活化自由能变(ΔG‡),加速碳-碳偶联反应。
(5) MnPOx微孔膜包覆限域Rh团簇以及Rh原子与P原子的相互作用有利于抑制表面Rh物种的物理流失和化学流失。
图1. MnPOx微孔膜对1-己烯氢甲酰化反应催化性能的影响
氢甲酰化反应是烯烃与合成气一步原子经济反应制取高附加值醛的反应过程,其产物广泛应用于溶剂、表面活性剂、香料和洗涤剂等行业,还可作为高级醇、胺等化学品的合成前体,在精细化工产业链中占据重要地位。均相Rh基催化体系虽以高活性、高区域/立体选择性成为该反应的基准技术,并已经在工业上大规模应用。然而,均相催化体系必要的配体不仅合成繁琐、成本高昂,而且催化剂与产物分离困难,增加过程能耗。为解决均相催化过程存在的问题,非均相催化氢甲酰化反应及工艺过程日益引起学术界和工业界的广泛兴趣。在非均相催化氢甲酰化反应中,Rh的原子利用效率、反应活性和区域选择性差,以及Rh容易流失是一直关注的焦点问题。
MFI作为有效的刚性骨架和孔道特征,通过“纳米牢笼”精准限域调控Rh催化活性位,在提高氢甲酰化反应活性、区域选择性和循环稳定性等方面性能已成为配体到无配体过渡的新标杆。此外,金属-载体强相互作用(SMSI)可调控活性金属的电子结构、促进金属在载体上的分散,诱导载体表面金属氧化物物种迁移,在金属颗粒表面形成包覆层,从几何和电子层面调节金属颗粒性质,进而影响催化性能。然而,“类分子筛限域”与“金属-氧化物载体强相互作用”的强强协同效应在长链α-烯烃氢甲酰化反应中尚未见文献报道,这为新型催化剂的设计提供了创新方向。
针对上述研究背景和基本思想,江南大学化工学院刘小浩教授团队采用浸渍法将乙酰丙酮铑负载到Mn2P2O7载体上,基于可控H2还原触发载体中的磷(P)活化,从而实现了MnPOx物种向Rh团簇表面的定向迁移,形成的MnPOx微孔膜(孔尺寸1.5-2.5nm,膜厚度大约1.5nm)可以同时调控Rh活性位点的电子性质与空间位阻影响,进而显著提升了1-己烯氢甲酰化反应的催化活性(TOF从4598增加至22,940 h-1)、区域选择性(L/B从0.7增加至2.1)和稳定性(5次循环催化剂没有明显失活)。
图2. Rh/MnP催化剂上1-己烯氢甲酰化反应的催化性能。(a)x%Rh/MnP-800(x = 0.05、0.1、0.25和0.5)的催化性能。(b)0.1%Rh/MnP-y(y = 200、400、600和800)的催化性能。(c)反应时间、(d)反应温度和(e)初始反应压力对0.1%Rh/MnP-800催化剂催化性能的影响。(f)0.1%Rh/MnP-800催化剂的循环实验。反应条件:催化剂(100 mg),底物1-己烯(10 mmol),溶剂正庚烷(10 mL),初始压力(5.0 MPa,H2/CO = 1/1),反应时间48 h,转速500 rpm。
Rh负载量对1-己烯氢甲酰化反应有显著影响。低的Rh负载量(0.05–0.1 wt %)有利于醛的形成,过高负载量(0.25–0.5 wt %)导致容易发生异构化生成内烯烃。随着还原温度升高,0.1%Rh/MnP-y催化剂的L/B值由0.7升至2.1,表明高温还原可抑制支链醛、提高直链醛选择性。反应时间-性能曲线表明0.1%Rh/MnP-800催化剂还可通过促进反向异构化(内烯烃向1-烯烃转化)进而增加直链醛的生成。此外,0.1%Rh/MnP-800催化剂循环5次后反应活性无明显衰减,ICP测试结果表明无明显Rh流失,而0.1%Rh/MnP-200催化剂因活性组分Rh流失而迅速失活(图2f、论文Supporting information图S6)。
图3.(a)0.1%Rh/MnP-200、(b)0.1%Rh/MnP-400、(c)0.1%Rh/MnP-600和(d)0.1%Rh/MnP-800催化剂的TEM表征。(e)0.1%Rh/Mn2P2O7催化剂在氢气还原处理过程中的结构演变示意图。0.1%Rh/MnP-800催化剂的(f-g)HRTEM图、(h)HRTEM和(i)相应的局部放大图、(j)HAADF-STEM图、(k)EDX映射图,以及(l,m)EDS线扫描图。
TEM图像直观解释了不同还原温度下Rh团簇形貌与包覆层演变过程:200 °C时Rh高度分散;升至400 °C发生扁平烧结;600 °C颗粒趋近球形并出现MnPOx层逐步覆盖;及至800 °C,Rh团簇被约1.5 nm厚的无定形MnPOx壳层完全包覆。与此同时,载体由Mn2P2O7转变为Mn3(PO4)2,晶格重构与包覆过程同步进行(图3a-i)。HAADF-STEM及EDX线扫描进一步证实Rh团簇外缘Mn、P、O信号显著富集,形成连续且均匀的MnPOx微孔覆盖层(图3j-m),微孔的孔径尺寸大约为2 nm(论文正文图5c-d、Supporting information表S7)。XPS与EXAFS共同证实,MnPOx覆盖层通过给电子效应将Rhδ+电子态由高氧化价态调节至0<δ<1,并与P形成强配位键(图4)。
图4. 0.1%Rh/MnP-y催化剂的XPS谱图。(a)Rh 3d,(b)P 2p,(c)Mn 2p,以及(d)O 1s。(e)Rh K边X射线吸收近边结构(XANES),(f)Rh K边的傅里叶变换扩展X射线吸收精细结构(EXAFS)光谱,以及(g)0.1%Rh/MnP-800、0.1%Rh/MnP-200、Rh箔和Rh2O3的小波变换EXAFS光谱。
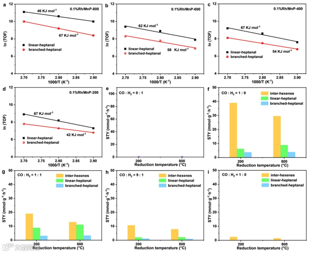
图5.(a)0.1%Rh/MnP-800、(b)0.1%Rh/MnP-600、(c)0.1%Rh/MnP-400和(d)0.1%Rh/MnP-200催化剂上1-己烯氢甲酰化反应生成醛和内烯烃的阿伦尼乌斯图。a-d的反应条件:催化剂(100 mg),底物1-己烯(10 mmol),溶剂正庚烷(10 mL),初始压力(5.0 MPa,H2/CO = 1/1),反应时间0.25 h。不同CO/H2比(e)0: 1、(f)1: 9、(g)1: 1、(h)9: 1和(i)1: 0条件下0.1%Rh/MnP-200和0.1%Rh/MnP-800催化剂的氢甲酰化反应性能。e-i的反应条件:催化剂(50 mg),底物1-己烯(10 mmol),溶剂正庚烷(10 mL),初始压力(5.0 MPa,H2/CO = 1/1),反应时间1 h,反应温度80 °C。
表征和机理研究表明:0.1%Rh/MnP-800的MnPOx微孔膜通过给电子效应将Rhδ+稳定在0<δ<1,促进反应速度更快的线性烷基物种与CO*的C-C偶联,使直链醛生成的活化能(46 kJ mol-1)低于支链醛(67 kJ mol-1),从而促进直链产物生成并抑制支链产物生成,而0.1%Rh/MnP-200则相反(图5a-d)。调控CO/H2比例实验证明,该包覆层还能抑制内烯烃生成,进一步提升区域选择性(图5e-i)。
图6. (a,b)不同(NH4)2HPO4与Rh摩尔比的0.1%Rh/MnP-200-m催化剂和(c)不同PPh3与Rh摩尔比的0.1%Rh/MnP-200-n催化剂的氢甲酰化反应性能。反应条件:催化剂(100 mg),底物1-己烯(10 mmol),溶剂正庚烷(10 mL),初始压力(5.0 MPa,H2/CO = 1/1),反应温度80 °C。(d)反应时间对均相氢甲酰化催化反应性能的影响。反应条件:乙酰丙酮铑(0.9mmol),n(PPh3): n(Rh) = 1: 1,初始压力(5.0 MPa,H2/CO = 1/1),反应温度80 °C,底物1-己烯(10 mmol),溶剂甲苯(10 mL)。
进一步通过分步浸渍法调控(NH4)2HPO4/Rh摩尔比,并采用200°C下氢气还原处理避免覆盖层出现得到0.1%Rh/MnP-200-m催化剂,探究了只施加电子效应对1-己烯异构化的影响。表征和实验结果表明:(NH4)2HPO4向Rh提供额外电子,强化H2/CO的吸附与活化,加速线性烷基物种与CO*的C–C偶联并推动内烯烃反向异构化,显著抑制异构化副产物生成(图6a-b)。由于合成催化剂时先浸渍Rh,后浸渍PPh3,因PPh3位阻效应遮蔽活性位,活性显著下降,但P的适度给电子效应抑制β-H转移,降低异构化(图6c)。与PPh3/Rh均相体系的时间梯度性能结果对比显示,均相催化剂的L/B由2.2迅速降至0.9,而0.1%Rh/MnP-800仅从2.9微降至2.1(图6d与图2c),结合丙烯和1-己烯原位红外表征结果表明,MnPOx微孔膜覆盖层的空间位阻可定向调控烯烃吸附构型,使得优先生成线性醛,而单纯增大位阻的PPh3并无此效应(图7、论文Supporting information图S20)。
图7.(a)CO和(b)丙烯在0.1%Rh/MnP-y催化剂上的原位漫反射傅里叶变换红外光谱(DRIFTS)。(c)1-己烯在0.1%Rh/MnP-400和0.1%Rh/MnP-800催化剂上的吸附构型。(d)CO和(e)丙烯在0.1%Rh/MnP-800催化剂上的程序升温原位红外光谱。(f)CO和(g)丙烯在0.1%Rh/MnP-800催化剂上80 °C时不同吸附时间的原位红外光谱。(h)本工作中生成庚醛的TOF和L/B值与文献报道的非均相铑基催化剂的实验结果比较。
图8.(a)1-己烯吸附过程表面能变化(ΔE/E0)的简化计算模型。(b)1-己烯吸附过程的表面能变化取决于催化剂的相对局部表面曲率。R0表示1-己烯液滴的半径,RS表示吸附位点的曲率半径。(c)铑团簇角位点上氢甲酰化反应生成直链醛和支链醛的熵以及(d)吉布斯自由能的DFT计算,黄色表示铑团簇顶层的铑原子。
DFT计算表明:1.9 nm孔径的MnPOx覆盖层使1-己烯在催化剂表面吸附的表面能变(ΔE/E0)最低,促进反应物分子1-己烯扩散至活性位点与稳定吸附(图8a-b);无覆盖层时,C6H13*–CO*偶联生成过渡态的活化自由能(ΔG‡)极高;MnPOx包覆层通过空间限域效应降低底物吸附过程的熵损失,使生成过渡态的活化熵ΔS‡增大,ΔG‡(ΔG‡ = ΔH‡ − TΔS‡)降低,进而提高催化活性(图8c-d)。总之,该研究构建并揭示了一种MnPOx微孔膜覆盖Rh团簇的电子效应和空间位阻效应的双重协同催化作用,显著提升了长链α-烯烃氢甲酰化反应的反应性能。
上述研究工作得到了国家重点研发计划项目课题(2023YFB4103201)和国家自然科学基金项目(22379053)的资助。
文章链接:https://www.sciencedirect.com/science/article/pii/S0926337325008434
声明

