场外衍生品市场的创新发展与风险传导给证券公司风险管理带来严峻考验。以雪球产品为代表的奇异期权,其动态对冲风险复杂多变:定价模型及参数偏差导致对冲敞口偏离实际需求,障碍价格附近希腊值跳变加剧对冲成本波动,限亏雪球等产品结构变化增加对冲难度,到期时间差异亦引发风险跃迁。为应对挑战,证券公司可从多维度优化风险管理:产品端,聚焦结构创新与风险分散,加强源头把控;对冲端,完善对冲管理与参数优化,动态调整策略;监控端,强化风险全覆盖,优化压力测试机制。同时,监管部门与行业机构可协同推动风险防控与业务发展的共生演进,促进场外衍生品市场稳健发展。
*本文雪球指一种自动赎回型期权结构。
场外衍生品市场作为现代金融体系的重要构成,凭借灵活的交易结构和个性化风险对冲方案,在风险转移、价格发现与资源配置优化中发挥着独特作用,是场内市场的重要补充。近年来,国内场外衍生品市场规模快速增长,其产品结构也从传统收益互换、场外期权扩展至雪球结构及跨境对冲工具等复杂形态。
雪球产品(以下简称“雪球”)内嵌复杂期权结构,其收益机制为:只要挂钩标的行情未触及敲入障碍价格,产品收益就像滚雪球一样越积越多。若在预设观察日期,标的价格高于敲出障碍价格,则产品提前结束并锁定收益;若发生敲入且到期时标的价格仍低于期初水平,投资者将亏损。
证券公司卖出雪球后需要对冲风险,主要通过静态对冲和动态对冲两种方式。静态对冲,指买入参数相同或相近的产品转移风险;动态对冲,则通过实时监测并动态调整希腊值(如Delta、Gamma等),利用场内标准化工具保持投资组合风险中性。对冲雪球风险并非稳赚不赔,一旦对冲不到位,就可能产生损失。
国内雪球主要挂钩于中证500和中证1000指数。2024年这两个指数一度深跌,触发大量雪球集中敲入,引发市场广泛关注。多数市场参与者未充分认识到雪球对冲机制的复杂风险,往往简单将市场波动归因于“对冲传导”。同时,部分证券公司在对冲中遭受损失,暴露出风险管理的滞后与不足。
当前学界对雪球类场外衍生品的探索,主要聚焦于定价模型构建与数值方法优化。Deng et al.(2011)对自动赎回结构性产品构建了灵活的偏微分方程(PDE)建模框架,针对离散型与连续型赎回条款分别采用有限差分法和闭式解进行定价,并量化了各触发时点的概率分布。Fries et al.(2011)提出一种针对广义自动赎回型产品的蒙特卡洛定价的通用方法,该类产品支付函数不连续,且触发条件和支付金额可能随机变化,通过对底层数值进行重要性抽样等方式,并将支付函数转化为等效的光滑形式,适用于更广泛、更复杂的边界类型和形态。Filev et al.(2016)将时变参数引入障碍条件分析体系,通过实证对比蒙特卡洛模拟方法,验证了半解析法在高精度定价场景下的计算效率优势。Rakhmonov et al.(2019)针对蒙特卡洛方法在定价含提前终止条款的结构性产品时存在的高误差与希腊值不稳定性缺陷,开发了针对自动赎回择劣期权特殊结构的新型蒙特卡洛计算框架。在雪球的风险特征等方面,Hansson(2012)设计了基于蒙特卡洛模拟的自动赎回结构性产品定价与绩效分析算法,通过参数敏感性分析与时间依赖效应建模,从投资者角度评估不同市场情景下的风险收益特征,揭示了投资者承担的风险与产品的潜在收益高度相关。但现有文献缺乏对做市商对冲策略与风险变化互动机制的系统性分析和应对策略。虽然业界积累了丰富的经验,但往往散布在日常交易实践中,尚未凝练成可验证、可复现的理论知识。鉴于此,本文尝试构建一个统一的分析框架,系统性剖析复杂结构场外衍生品对冲过程中各类风险的交互与传导机制,并提出可操作的应对策略。
场外衍生品业务功能逐渐深化,呈现从单一工具到生态化服务、从被动对冲到主动价值创造、从境内市场到跨境协同的发展状态,逐渐成为证券公司提升服务能力、拓展盈利空间的重要手段。但其非标准化、高杠杆性、交易链条隐蔽等特征,给风险管理体系带来严峻考验。如何平衡金融创新与风险防控,亟待从业务发展路径与挑战中探寻答案。
▍从规模扩张到功能深化
1.财富管理创新,推动市场规模显著增长
在资管新规打破刚兑承诺,叠加利率下行宏观周期的影响下,投资者财富管理需求从传统理财转向本金安全与收益增强。金融机构通过嵌入场外衍生品实现结构化设计,例如,“鲨鱼鳍”障碍期权,在约定区间将收益与标的涨幅线性挂钩,上方封顶收益、下方保护本金;雪球则内嵌奇异期权,以较高预期票息率及市场上行时敲出机制,深受高净值人群青睐。此类创新不仅丰富了产品多样性、促进财富管理市场发展,还显著扩大了场外衍生品市场的规模。
2.服务实体经济,为企业高质量发展护航
在实体企业管理价格波动、优化经营决策方面,场外衍生品凭借其“非标准化+定制化”优势,成为对冲价格不确定性的精准工具。企业可基于自身现金流、库存周期及市场预期,买入看涨期权锁定原料价格上行风险,或买入看跌期权对冲产成品库存贬值风险。相较于期货或远期,场外衍生品在行权价、到期日、名义本金等维度均可灵活裁剪。通过其应用,实体企业能够优化采购和销售链条,提升资本回报率与抗周期能力,进而提升产业链韧性。
3.健全市场功能,提升资本市场运行质量
场外衍生品市场以其灵活的交易方式和自由的交易时间,为投资者提供了多样化的风险转移途径,显著增强了市场深度。其成交价格综合反映了市场参与者对未来风险的预期,为场内及相关市场提供了重要的价格参考。在我国证券行业场外衍生品市场中,交易商扮演着核心角色,通过与客户交易定制化收益结构的产品,并对风险敞口进行净额对冲,有效降低了对现货市场的冲击。同时,交易商通过构建多元化产品体系,吸纳不同投资观点的客户,均衡了对冲行为。例如,为多头客户提供看跌期权组合等风险缓释产品,可减轻市场下跌时的恐慌性抛压;设计含多头敞口的衍生品结构,则通过引导价值投资吸引增量资金入市,提振股市长期稳健表现。
▍风险挑战:内外部多重风险来源
1.产品定价与对冲交易短板
国内证券公司在复杂衍生产品的定价及对冲交易能力方面,相较于国际成熟投行仍存显著差距。交易商的市场报价反映其动态对冲效能,若无法通过参数校准、模型迭代与交易执行优化持续提升对冲效率,风险敞口将迅速累积并超过自身承受能力,形成非预期亏损。此外,极端情景下的压力测试工具箱仍显单薄,在市场价格剧烈波动、基差迅速扩大等极端市场行情下,尾部风险管理面临严峻考验。特别是,当雪球集中触发敲入与证券公司动态对冲行为形成共振时,极易放大标的资产价格的非理性波动。
2.对客交易和适当性管理难度
证券公司开展场外衍生品业务多以对客交易为主,其客户积累与需求挖掘能力也有待提高。衍生品采用保证金机制,内嵌杠杆放大效应,若交易对手保证金不足或担保品市值缩水,可能引发信用风险损失。雪球收益结构复杂,部分营销材料存在“重收益、轻本金”选择性披露,导致客户对尾部亏损概率的认知偏差。证券公司客户分层管理仍待完善,在风险揭示充分性、产品适配精准度及主动风险管理引导等方面还存在不足。
3.产品创新与同质化竞争挑战
证券公司场外衍生品业务以权益类为主,仅一级交易商可自主对冲个股衍生品。由于场内股指品种有限,证券公司可用的对冲工具受限,限制了产品创新的广度与深度。交易对手主要是金融机构和私募产品,参与者类型单一,投资偏好趋同,导致挂钩标的、产品结构及交易方向高度一致。雪球尤为典型——收益情景设置雷同、敲入/敲出点位集中,未形成有效分散,进一步放大了行业同质化竞争。
结合上述分析可见,证券公司场外衍生品业务的稳健发展,必须正视并突破两大内生性瓶颈,即风险管理能力不足以及对客管理能力欠缺。对冲交易不仅直接决定业务损益,当使用场内工具进行集中、同向对冲时,还可能通过跨市场风险传导机制引发风险外溢,风险管理能力的重要性尤为凸显。
▍模型风险
BS模型作为期权理论价格的核心,其假设(如标的资产服从几何布朗运动、常数波动率、无摩擦市场等)与实际市场中存在的异常波动和交易成本等特征存在显著差异。尽管如此,BS模型凭借其简洁性和开创性,在衍生品的风险定价与管理实践中获得了广泛和持久的应用。
1.模型计量方法的适用性和局限性
期权风险敞口的计算通常采用多种计量方法,包括解析法、蒙特卡洛模拟、树形法、PDE有限差分法等。对于无法直接应用闭式解的复杂奇异期权,蒙特卡洛虽可兼容非线性收益与高维随机过程,但需高数量级路径方可收敛,计算成本高昂。PDE有限差分法需沿时空网格逆向迭代,求解过程晦涩;树形法同理,可看作从到期日倒推至期初进行价格计算,其中,三叉树模型可看作一类显式有限差分法。然而,当收益依赖于标的变量历史值和当前值,或包括三个以上随机变量时,这两类方法计算量显著增加(赫尔,2022)。因此复杂结构的精准定价不仅要求算法与模型高度匹配,也对业务团队的建模能力与算力部署提出严苛挑战。
2.基于模型的奇异点非线性风险积聚
复杂衍生品一旦嵌入障碍特性,障碍价格处收益函数即出现间断,价格微分不可导,模型测算的希腊值在敲入/敲出阈值附近呈现非连续跳变。Delta值突变迫使做市商在狭窄价格区间内进行大规模头寸调整以维持Delta中性。此时若严格按模型对冲,交易商需在短时间内大量调换仓位,对冲策略将失效;交易员依赖主观判断与趋势研判进行敞口管理,在极端行情中操作失误概率显著上升。
▍风险因子研判偏差
基于BS模型,可根据标的价格的随机过程推导期权理论价格,但实际交易中,相同参数的期权存在多种报价,主要源于交易员对于参数估计的差异。BS框架对波动率、股息率、利率及剩余期限等参数高度敏感,若参数估计偏差,交易商计量出的场外衍生品风险敞口将偏离实际对冲需求,从而削弱对冲有效性。
1.波动率管理难度
波动率是期权定价模型的核心输入,其与行权价的关系呈现“波动率微笑”效应,受跨期限结构、异质性事件冲击、市场微观结构异变(如对冲行为)等因素综合影响。仅依赖历史情景或相对固定波动率设置难以准确反映实际波动,进而影响定价和风险对冲效果。
学界提出随机波动率框架:Hull&White(1987)率先把波动率设为随机过程,后续演进出Heston、跳跃扩散、SABR等模型;近期研究进一步引入物理信息神经网络(PINNs)与人工神经网络(ANN)(Liu,2019;Haocheng,2024),以“数据-物理”混合方式学习波动演化,降低模型误差。
在期权交易中,交易者利用波动率模型对冲波动率风险。但Yacine et al.(2019)指出,市场数据(期权价格或隐含波动率)与模型关系复杂,即使在仿射随机波动率模型下,隐含波动率也需数值计算近似求解,且模型设定仍无共识。
2.基差风险的期限结构传导
股指期货长期贴水,既可赚取基差收敛收益,又能通过保证金机制降低资金占用。然而,当证券公司利用股指期货对冲场外衍生品风险时,基差的动态演化为对冲模型引入了额外的风险因子。基差贴水率通常作为“分红率”输入定价模型,但场外合约期限与期货合约序列难以完全匹配,导致基差预测出现偏差;尤其在股指期货移仓换月窗口,贴水幅度易突然收敛或扩大,使预期收益实现路径面临显著不确定性。
▍风险敞口动态衍变
控制风险敞口可采用多种对冲策略,其中,Delta中性策略是期权对冲的主要手段,其目的在于剥离投资组合的市场方向性风险,赚取价格变化(Gamma)、波动率变化(Vega)、时间价值(Theta)等因素的收益。
1.高阶希腊值风险逃逸
Delta对冲策略虽可实现Delta中性,却难以覆盖Gamma等高阶希腊值的变化冲击。以雪球为例,敲入前Gamma为正,对冲呈现“低买高卖”的收益模式;一旦触发敲入,Gamma转为负值,策略转为“高买低卖”的损耗模式。标的持续下行时,Gamma符号反转将导致对冲组合出现非线性亏损。
2.行权价临近效应(Pin Risk)
对冲过程还面临“大头针风险”,即当期权临近到期且标的资产价格接近行权价时,Delta波动加剧。图1给出的经典雪球Delta曲面显示,临近敲入点80且临近到期时,Delta呈指数级放大,其对冲难度显著提升。若市场流动性不足,买卖价差瞬间走阔,对冲成本将显著膨胀,甚至触发策略失效。
奇异期权典型谱系涵盖二元期权、障碍期权、累计期权、自动赎回型期权等具有显著异质性特征的衍生工具。其中,二元期权到期损益呈现阶梯式档位,障碍期权收益取决于行情是否触及特定障碍价格,累计期权收益基于一段时间内价格的累积表现,自动赎回型期权表现为若在特定日期触及敲出障碍价格,期权自动终止并支付收益。
▍实证分析:雪球结构和计量数据说明
1.雪球的收益结构特征
雪球内嵌自动赎回型期权,可视为一对各自拥有独立观察期的向下敲入与向上敲出障碍期权的组合。通过灵活设定敲入/敲出障碍价格及观察频率,损益可沿价格路径动态调整,进而派生出多种变种。例如,剔除敲入条款并拆分为固定收益与高敲出票息,形成二元保本小雪球结构;将障碍价格设为时间函数,使触发难度递增或递减,形成阶梯降敲(或升敲)的时变障碍雪球;在敲入后引入亏损上限,得到限亏雪球;优化敲出票息机制,形成具有差异化票息特征的结构变种,如早利雪球在更早敲出时,投资者能获取更高票息。
为了更直观地理解雪球的结构,表1将其核心要素简化呈现,概括性地展示了几类雪球的结构要素。以经典雪球为例,一旦标的跌破初始敲入障碍价格,支付结构即刻突变,隐含的看跌期权空头被激活,表1收益结构图中虚线的期权结构由虚转实,转化为具有向上敲出障碍的复合期权形态。
2.雪球实证分析的计量方法和参数说明
鉴于场外期权参数缺乏可验证的真实值,本文不深入探讨参数估计和模型优化,仅以BS模型风险中性框架下的固定参数为前提,阐述雪球结构要素、模型参数和计量方法。本文核心贡献在于,在给定模型与参数设定下,系统揭示并量化雪球对冲交易中的典型风险特征与动态行为。
假设股票价格S服从几何布朗运动,假定f为挂钩该股票S的期权,BS公式即为:
其中,r 表示无风险利率,q 表示分红率,σ 表示标的波动率。
鉴于PDE有限差分法在处理雪球估值和风险计量模型兼具计算效率与数值稳定性,本文选用隐式法差分过程(时间向前差分)求解期权风险敞口,通过划分已敲入与未敲入两种状态关于时间与价格的二维网格,逐步递推对应网格点价值。
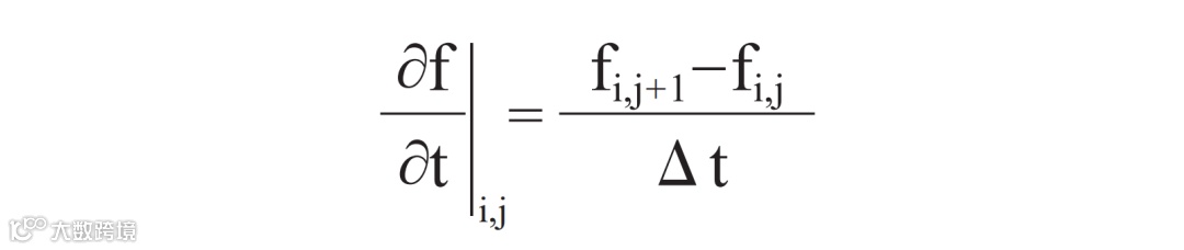
向前差分将时间偏导数离散化近似为:
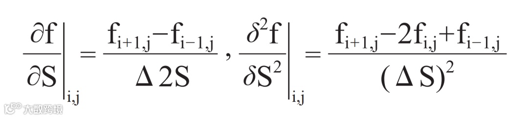
用中心差分法近似标的资产价格的偏导数:
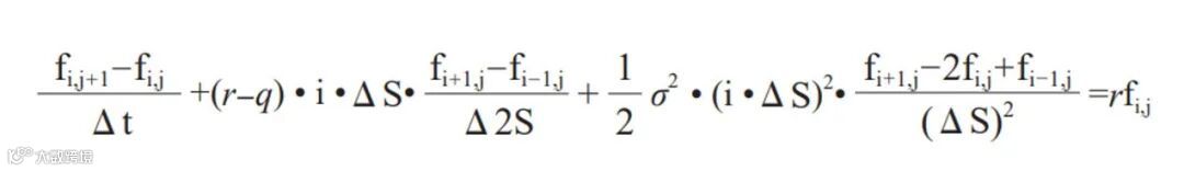
将其代入BS公式可得:
在边界条件已知时,通过矩阵方程逐步迭代,即可实现期权价值和希腊值的求解。
为聚焦雪球结构特有的非线性风险,而非利率、股息或波动率等对期权具有普遍影响的共性因素,本文将上述参数固定并视为次要扰动。选取市场典型且具有代表性的假设案例做直观演示与对比:波动率20%、股息率3%、无风险利率2%;标的期初价100,敲入价80%、敲出价103%,敲出票息及红利票息均为16%,期限2年,无锁定期,逐月敲出观察、每日敲入观察。限亏雪球的限亏比率为70%,其他要素与经典雪球相同。雪球结构和要素差异产生的具体影响将在后文展开分析。
▍结构要素差异下的对冲难度
1.结构差异的风险独特性表现
雪球的结构变异形成多种变种,其对冲策略呈现出独特的复杂性。交易商持有限亏雪球空头,其敲入风险本质是买入一个向下敲入的看跌期权,同时卖出更低行权价的看跌期权。限亏雪球在敲入前,Delta随价格变化趋势与经典雪球近似;一旦触发敲入且标的价格继续下行,敲入的看跌期权转为实值,其Delta趋近-1,而卖出的深度虚值看跌期权,随价格继续下跌也将逐渐转为实值,其Delta逐渐由0转为1。二者叠加使限亏雪球Delta值最终收敛至0。如图2所示,限亏雪球的Delta变动区间显著大于经典雪球,迫使交易商在更宽的价格带内调仓,形成“追涨杀跌”的被动交易环境,进而侵蚀对冲收益。
2.要素差异对风险敏感度的影响
雪球产品在参数设置上的细微差异显著影响对冲策略的操作要求。如图3所示,其他要素相同而敲出票息率更低(5%为例)时,雪球在敲入、敲出点附近的Delta曲线走势更为平缓。这表明,在同等价格冲击下,低票息雪球所需持仓调整幅度更小,从而减轻对冲操作压力。
上述结构和要素的异质性导致对冲压力的差异,凸显出交易商在产品设计中需建立交易能力与赔付承诺的动态平衡机制。
▍存续状态差异下的风险跃迁特征分析
雪球的Delta跳变现象,主要聚焦于敲入与敲出两个关键点。在雪球的全生命周期中,其风险特征随着存续状态的不同而呈现出显著差异。
1.敲出点风险:触发到归零的全面审视
已敲入与未敲入雪球在敲出障碍价格处的Delta跃迁幅度差异显著。已敲入的雪球合约,其收益结构已转变为向上敲出的看跌期权,其敲出断点的跳跃强度高于未敲入路径。这一结构性变化,导致已敲入合约在敲出障碍价格附近的Delta值变化更为剧烈(图4),对冲调仓难度更大。
雪球敲出即触发了产品的提前终止条款,投资者即刻收取约定敲出收益,不再承担后续的市场风险,其Delta值将迅速归零。这一变化标志着产品已达成其预设的收益目标,并脱离了市场波动的影响范围,投资者无须再担心市场下跌可能带来的损失。
2.敲入点风险:跳变与平滑的双重挑战
雪球敲入标志着期权结构的根本性转变,风险特征随之突变。敲入点附近断点现象消失,Delta变化转为平滑。这一转变在Gamma走势图上得到了更为直观的体现(图5)。
尽管模型可精确输出敲入/敲出附近的希腊值,实务中仍需对理论值做平滑处理,以避免短期巨额调仓。
▍到期时间差异下的风险管理与分散策略
到期时间是期权风险管理的核心维度之一。一般而言,随着期权到期日的临近,行权的不确定性显著增加,期权对标的价格变动的敏感性急剧上升。雪球同样遵循这一规律,已敲入雪球在敲出点附近、未敲入雪球在敲入点附近,其Delta走势在不同存续时间呈现出显著差异。如图6所示,未敲入雪球在敲入点附近,当存续期限从10天延长至380天时,Delta由约1.2升至3以上,对冲所需持仓量随之成倍扩张。为了有效缓解这一压力,交易商需采取精细化的风险管理措施,例如,分散到期时间集中度,以平滑各期限对冲需求并缓释压力。
鉴于场外衍生品的复杂风险特征,证券公司在设计、推广此类产品时,需要充分评估自身风险承受能力,多维度强化风险管理体系(图7),构建覆盖风险识别、应对与优化的闭环机制。
▍产品设计端:强化结构设计与风险分散策略
构建严谨的新业务风险评价体系,将风险控制关口前移至产品设计与发行阶段。通过剖析收益机制与运作逻辑,充分识别潜在风险点并嵌入压力测试,实现风险全维度剖析与前置应对。评价体系需要持续跟踪市场动态,定期回顾并更新评估结果,以适应市场变化与业务发展需求。
针对不同产品结构,开展风险可控、透明可溯的分类评估,深入解析收益结构与合约条款,精准把握风险特征。以雪球为例,应进一步细分产品结构类别与参数差异,对敲入/敲出障碍价格、到期时间、挂钩标的及名义本金等集中度实行分散化限额管理。同时,关注各类因素间的互相影响,例如,若雪球敲出点合约数量少,但票息高、名义本金大时,对冲压力也相对较大,需避免单一点位简单度量风险。通过差异化定价,增加风险分散型产品的价格比较优势,激励引导客户及销售渠道选择低集中度产品,从源头降低单一风险点对整体业务的冲击。
▍动态对冲端:完善对冲管理与参数动态校正
针对含敲入/敲出条款的奇异期权,其Delta在障碍价格附近跳变,需建立Delta曲面动态校正机制,结合历史路径回测,量化不同行权价与期限下的非线性跳跃幅度,修正Delta预测值,减少交易员主观操作风险;引入技术指标优化调仓节奏,平衡敞口控制与交易成本。
对雪球等状态依赖型合约,持续跟踪“未敲入/已敲入/已敲出”三态转移及要素变化,细化分状态对冲要求:在希腊值剧变区域,提前设置预警阈值与调仓方案,督导交易台前置研判并预留流动性缓冲。
提升风险建模深度,引入随机波动率、随机利率等多因子框架,刻画因子时变与联动特征。对冲时,实时监控波动率、分红率、基差等关键参数,若实际波动率大幅低于定价假设或基差收益显著收窄,立即触发参数重新校对或风险敞口调减流程,及时调整对冲策略。
▍监控预警端:全面全程监测与极端压力测试
构建横向到边、纵向到底的全流程风险监测体系,深度嵌入产品设计、定价、交易、核算等各个环节。通过T+0级动态监控交易数据、市场波动以及客户行为,及时发现并应对潜在风险。压力情景设计全面覆盖奇异特性和市场痛点:模拟标的价格跳空、波动率曲面扭曲、基差/多空价差不利变化,以及极端行情下“波动率-基差-相关性”的联合尾部行为,分析极端风险特征,并形成阶梯式应对预案。
当标的行情集中逼近障碍价格时,及时提示对冲准备;大额调仓采用拆单算法散于不同交易时段执行,降低瞬时冲击成本;构建极端场景的场内外金融工具的流动性缓冲储备,包括ETF、指数期货、备用信用额度等,确保极端情景下快速满足对冲及兑付需求。
行业层面,广泛推广场外衍生品的功能逻辑与对冲机理,引导市场参与者理性认知风险。强化投资者适当性管理,通过精准匹配产品分级与投资者风险承受能力,细分客群需求,推进结构创新,构建差异化竞争优势。同步推动产品信息披露的标准化与常态化,要求发行方与销售方以通俗易懂的方式揭示产品最大损失、障碍触发概率等关键风险要素,切实保障投资者的知情权与选择权。
监管层面,建议加快场外衍生品市场基础设施建设,建立统一信息标准与共享机制,提升市场透明度与运行效率。对标最佳实践,统一监管规则、口径与强度,确保市场公平有序。进一步健全跨品种、跨机构乃至跨境的风险监测预警与应急处置机制,加强监管协同,确保在市场极端波动时快速响应,有效遏制风险外溢,保障金融市场高质量发展。


