第一作者:江明信;王志强
通讯作者:贺玉莲;龚学庆
通讯单位:上海交通大学
论文DOI:10.1021/jacs.5c07878
近日,上海交通大学浦江国际学院、化学化工学院双聘副教授贺玉莲课题组与上海交通大学化学化工学院特聘教授龚学庆团队合作,在热催化CO2加氢领域取得突破性研究成果。研究团队报道了一种NiFe/TiO2催化剂,实现了常压下催化CO2加氢生成C2–C3烃类(主要为乙烷)。在350 ℃反应温度下,CO2转化率达27.8%,C2–C3烃类(主要为乙烷)选择性为33.9%。这项工作为CO2催化升级为高附加值的C2+产品提供了解决策略和理论见解。相关成果以“Ambient-Pressure C–C Coupling of CO2 Hydrogenation by NiFe/TiO2 Bimetallic Catalyst”为题,于2025年9月4日发表于《美国化学会志》(Journal of the American Chemical Society)
常压下将CO2催化加氢生成高附加值的C2+产品,是实现碳排放减排并带来额外经济效益的有前景的解决方案。不过CO2加氢在常压下进行C–C偶联面临热力学原理限制,导致RWGS反应成为主导,副产物CO的生成量占比超过90%。
同时开发适用于常压C–C偶联的催化体系,并非简单地将高压体系改造为低压运行体系。典型高压催化剂(如ZnZrO/SAPO)在常压时CO选择性飙升至90%;而专为低压设计的Cu-Fe催化剂通过强化*CO吸附,可将CO选择性控制在45%左右,优先生成C4+烯烃。甲醇合成同样受限于压力条件,工业Cu/ZnO/Al2O3催化剂常压下CO/CH3OH比达100,而新型Ni-Ga催化剂将该比值优化至10,实现了常压高效甲醇合成。这些案例表明,开发常压催化体系需重构活性位点设计策略,而非简单调整操作参数。
1. 在常压下实现高效CO2加氢生成烷烃:该研究通过NiFe/TiO2双金属催化剂,在常压下成功实现了CO2向C2–C3烷烃(主要为乙烷和丙烷)的高选择性转化,C2–C3选择性达33.9%,且CO选择性被抑制在44%。
2. 发现了晶格氧和NiFe双金属协同促进常压C–C偶联的效果:通过调节H2预处理温度, 催化剂可形成具有不同含量的晶格氧的活性位点,其中具有部分氧化的Niδ+–O–Feδ+协同位点(对应350 ℃ 还原温度,NiFe-350/TiO2)具有最佳的常压C–C偶联性能,而主要出于NiFe合金态的催化剂(对应600 ℃ 还原温度,NiFe-600/TiO2)几乎没有常压C–C偶联性能。
3. 揭示了Niδ+–O–Feδ+位点协同促进促进常压C–C偶联的机制:Niδ+–O–Feδ+结构可实现H2的异裂活化,生成H+和H-。H-作为亲核试剂攻击CO2的Cδ+,优先形成HCOO* 中间体,而非*CO。HCOO*进一步氢化为*CH3O/CH3,通过不对称C2-C3耦合形成乙烷。
图1. NiFe-350/TiO2和NiFe-600/TiO2催化剂的结构表征。
要点:
1. HAADF-STEM+EDX Mapping: NiFe-350/TiO2和NiFe-600/TiO2中的Ni、Fe元素在空间上均匀分布(图1a-b)。
2. 原位AP-XPS实验:NiFe-600/TiO2催化剂上兼具金属态和部分覆盖的FeOx层(图1c-1e)。
图2. NiFe-350/TiO2和NiFe-600/TiO2催化剂的电子结构表征。
要点:
1. 离线同步辐射XANES实验:NiFe-350/TiO2上Ni和Fe处于部分氧化态,NiFe-600/TiO2上Ni和Fe主要处于金属态(图2a-2b)。
2. 离线同步辐射EXAFS实验和拟合结果:NiFe-350/TiO2上Niδ+–O–Feδ+/Niδ+位点占据主导地位,NiFe-600/TiO2上 Ni–Fe/Ni位点占据主导地位,存在部分Fe-O配位(图2c-2d)。
图3. NiFe双金属催化剂的反应性能。
要点:
1. 不同H2还原温度依赖性能测试:在250-600 ℃还原温度范围内,催化剂具有不同的常压C–C偶联性能。在350 ℃还原温度,NiFe-350/TiO2具有最佳的常压C–C偶联性能,而在600 ℃还原温度,NiFe-600/TiO2几乎没有常压C–C偶联性能(图3b)。
2. 温度依赖性NiFe-350/TiO2性能测试:在250-500 ℃反应温度范围内,NiFe-350/TiO2催化得到的C2–C3产物中几乎都是烷烃,其中乙烷占主导(图3a)。
3. 空速依赖性NiFe-350/TiO2和NiFe-600/TiO2性能测试:延长反应物停留时间有助于催化剂的常压C–C偶联性能提高(图3c-3d)。
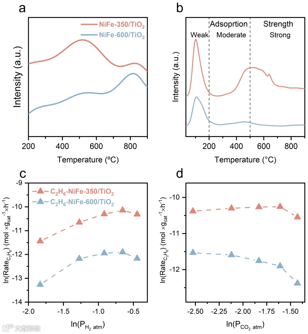
图4. 反应物分子吸附和反应动力学。
要点:
1. H2 TPD:相对于NiFe-600/TiO2催化剂,*H在NiFe-350/TiO2上的吸附更弱(图4a)。
2. CO2 TPD:相对于NiFe-600/TiO2催化剂,*CO2在NiFe-350/TiO2上的吸附更强(图4b)。
3. 反应级数实验:NiFe-350/TiO2上需要具备合适的C/H比才能获得最佳的常压C–C偶联性能(图4c-4d)。
图5. NiFe-350/TiO2和NiFe-600/TiO2催化剂的反应机理研究。
要点:
1. 原位DRIFTS光谱:相对于NiFe-600/TiO2催化剂,NiFe-350/TiO2催化剂在反应中出现HCOO*中间体和*CH3O中间体(图5a-5b)。
2. H2解离计算:NiFe-350/TiO2催化剂促进H2异裂解离,NiFe-600/TiO2催化剂促进H2均裂解离(图5c-5d)。
3. 反应路径计算:NiFe-350/TiO2催化剂倾向氢辅助的CO2解离路径,更容易生成HCOO*中间体,而NiFe-600/TiO2催化剂倾向于CO2直接解离路径,更容易生成*CO。
综上,这项工作不仅建立了一种经济廉价的NiFe双金属体系,用于在常压条件下将CO2加氢生成C2+产物,而且还为常压下的C–C偶联和选择性控制提供了简便的策略和机制见解。
贺玉莲,上海交通大学浦江国际学院、化学化工学院双聘副教授,博士生导师,“催化与AI实验室”负责人,主要研究方向为“实验-理论-AI”交叉闭环多相催化研究。本科毕业于南开大学化学学院,博士毕业于美国耶鲁大学,并于美国斯坦福大学从事博士后研究。入选上海市扬帆人才计划、上海领军人才(海外)。目前已在全球高水平杂志上发表论文四十余篇,撰写书籍章节4部。担任多个杂志青年编委。研究课题获国家自然科学基金、国家发改委、国家科技部、上海市科委、中科院、宁德时代等多方资助研。详细内容见课题组网站:https://sites.gc.sjtu.edu.cn/yulian-he/
声明

