玻尔模型和玻尔对应原理
郝维昌
北京航空航天大学物理学院
1897年,汤姆逊(J. J. Thompson, 1856-1940) 发现了电子并测量了电子的荷质比e/me[1]。1904年汤姆逊提出了原子的布丁模型。电子平均分布在整个原子中,如同散布在一个正电荷的海洋中,它们正负电荷相互抵消[2]。在受到激发时,电子离开原子,产生阴极射线。1909年,卢瑟福(Ernest Rutherford, 1871-1937)指导学生Hans Geiger和Ernest Marsden用α粒子轰击薄金箔纸,观测到了α 粒子可以被大角度散射实验结果[3]。1911卢瑟福分析了α粒子散射实验结果后,提出了类似于太阳系的原子结构模型,即原子有核模型[4]。原子的正电荷及绝大部分质量集中在很小的原子核中,电子在库仑力吸引下,绕核运动。
在电磁辐射问题上面临的困难,卢瑟福模型比汤姆逊的模型更大。按照经典电动力学带电粒子作加速运动,将辐射电磁波,电子能量将会降低,最后落入原子核,电磁辐射将是连续的,这与氢原子光谱实验结果明显的不符。
氢原子光谱
氢原子光谱的研究最早起源于太阳光谱中黑线研究,很快物理学家认识到这些光谱黑线源于原子的吸收,很多物理学家开始研究原子光谱发射。在1860年前后,瑞典物理学家(Ander Ångström, 1814-1874)获得高精度可见光区的氢原子光谱数据。他在可见光区测到4条谱线:656 nm, 486 nm. 434 nm, 410 nm。
图 巴尔末系可光谱线
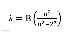
1885年,喜欢研究随机数的中学老师巴尔末(Johann Balmer, 1825-1898)在朋友的建议下关注了氢原子光谱的谱线,也就是基于上述4个随机数,得到了巴尔末公式[5],这个式子是量子力学的第一个重要的公式。在1913年的一本教科书中至少包含了12个对这些光谱线的拟合公式,所有的公式早就被人遗忘了,但巴尔末公式永留青史。
(λ为波长,B为常数,约为364.507 nm;n为整数,且n>2)
根据巴尔末公式,当n=7时,应该存在一条谱线λ=397 nm。而他的两位做实验的实验物理学家Hermann Vogel和William Huggins很快证实了397 nm谱线的存在,理论推动了实验。
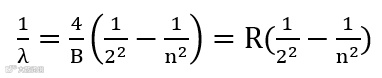
1888年,瑞典物理学家里德堡(Johannes Rydberg, 1854-1919)对原子光谱数据进行了深入的分析,并对巴尔末公式进行了变形,用频率把公式写成下式[6]
另外,里德堡认识到第一项里面的整数不是必须等于2,于是
表1 氢原子光谱系
这是伟大的理论预言,实验物理学家有金矿可挖了。对实验物理学家来说有两个挑战,第一个是需要看明白里德堡公式的物理意义,第二个必须有足够好的紫外或红外光谱测试手段,二者缺一不可。历史铭记了第一个测量相关光谱的科学家,并以实验者的名字命名!
玻尔模型
突破出现在1913年初,玻尔的好朋友物理学家汉森(Marius Hasen)告诉玻尔(Niels Bohr, 1885-1962)原子谱线的巴尔末公式,而玻尔也真正看懂了里德堡和巴尔末公式的物理意义(减法表示不同能级之间的跃迁),并接受了爱因斯坦的思想,两个核心的假设(1) 承认卢瑟福的原子模型,电子在原子核外特定能量状态(轨道)没有外界的作用,原子将是稳定的,目前观测的原子谱线源于不同能量轨道之间的跃迁[6]。
(2) 接受剑桥大学尼克尔森教授(John William Nicholson, 1881-1955)星云系光谱的研究中提出电子的角动量由约化普朗克常数的整数倍的轨道量子化条件[7],即
轨道量子化不是玻尔最先提出的,在尼克尔森之前哈斯(Erich Haas) 也做过努力电子振荡量子化的努力。他在剑桥访问期间恰恰在适当时机了解了这些最新的想法,在1912年玻尔对尼克尔森的结果成功感到十分困惑。1913年当他获得里德堡公式,并把原子中电子能级与轨道频率量子化的条件结合起来的时候,很多原子光谱学的结果就看起来更自然了。
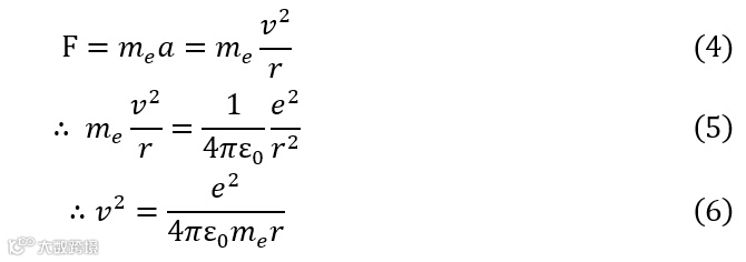
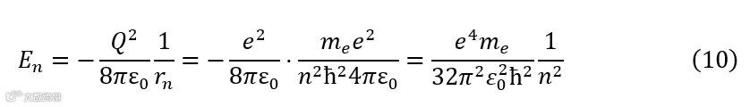
我们基于更易懂方式推导玻尔模型对于最简单的原子氢原子,核外电子受库伦作用
根据牛顿定律
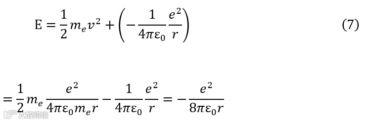
体系的能量
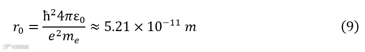
根据轨道量子化条件:L=meνrn=nħ
基态能量对应的轨道半径称为波尔半径
轨道能量
基态能量为
由此可得到里德堡公式
尽管玻尔模型对氢原子光谱做出了很好的解释,这是一个巨大的胜利。但是玻尔模型不能解释为了解释氦和更重的元素的光谱。本质上玻尔模型只涉及单个量子数(主量子数n),正如庞加莱指出需要把量子化条件拓展到一个以上的自由度。这个推广首先由索末菲完成,1887年迈克尔逊和莫利在实验上观测到的Balmer谱线中的精细结构[8](一条线分裂为两条),1916年索末菲(Arnold Sommerfeld,1868-1951)考虑电子了椭圆轨道的情形,并提出新的轨道能量量子化的条件[9],即
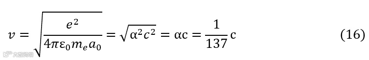
索末菲进一步指出应该还有一个轨道形状的量子数l。对轨道形状进行量子化之后又提出了一个新的大胆设想轨道空间是否可以量子化,即磁量子数m。基于索末菲-玻尔理论我们有3个量子数来描述原子的谱线,即主量子数n、轨道量子数l和磁量子数m。氢原子中蕴含着宇宙的奥秘,1916年索末菲还提出了一个非常重要的无量纲量精细结构常数α[9]
α可以这样构造:两个相隔自然单位距离(康普顿波长)电子静电能与电子静能的比值便是精细结构常数。精细结构常数表明电子相隔一个自然单位时的静电能要比电子的静能小得多,这也反映了电磁相互作用弱的方面。
最低能量轨道上电子的速度由下式给出,仅相当于光速的1/137,由此看到了精细结构的效力。
1908年里茨发表了原子光谱中的频率组合原理[10],如果在i和l能级之间存在k能级,除了发生νi→k、νk→l跃迁,还存在下面的组合频率
这个组合原理已经在原子光谱和X射线光谱学得到了充分的验证,而玻尔模型天然的就满足这一原理。
对应原理
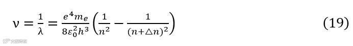
1916年利用爱因斯坦二能级系统推导了普朗克方程,这一研究玻尔留下了深刻的印象[11]。玻尔将自发辐射与经典电动力学联系起来,这种方法被称为对应原理[12]。根据上面的推导,我们写出氢原子中电子频率的公式
当量子数n很大时根据玻尔模型得到频率公式
对1/(n+△n)2利用泰勒级数展开,可得
因此当△n=1旋转频率正好等于发射频率。因此电子绕原子核旋转的经典频率与量子化的能量差之间具有明确的对应关系,这一发现被称为对应原理。其实克公式在长波极限下回到经典能量均分定律所得瑞利-金斯公式也是对应原理的结果。
对于自由度为1的周期运动经典系统,可以分解成简谐振动,简谐振动的频谱与基频的整数倍,即
这个式子依赖于两个整数k和n,经典系统频率组合原理为
与量子系统的Ritz频率组合原理不同
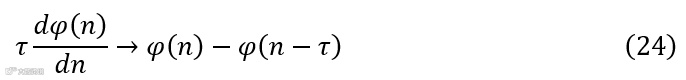
只有当k, l非常大时里茨频率组合原理才能与经典相当,这也是对应原理的体现。 玻尔的对应原理在量子力学发展的过程中起到了很重要的作用,它也为经典物理与量子力学建立了桥梁。这一原理有更深层的哲学的指导意义。1924年,玻恩在玻尔对应原理基础上提出了玻恩对应原理[13]。玻恩的洞见经典和量子力学方法的转换涉及用差分H(n)-H(n-τ)代替微分τdH/dn
海森堡在矩阵力学的发展所取得关键性突破也是采纳了玻恩的对应原理。
参考文献:
[1]Thomson, J. J. Cathode Rays Philosophical Magazine. 1897, 44 (269): 293-316
[2]Thomson, J. J. On the Structure of the Atom: an Investigation of the Stability and Periods of Oscillation of a number of Corpuscles arranged at equal intervals around the Circumference of a Circle; with Application of the Results to the Theory of Atomic Structure Philosophical Magazine 1094, 7: 237–265.
[3]Gegier, H. and Marsden E. On a Diffuse Reflection of the α-Particles. Proceedings of the Royal Society, 1909, 82: 495-500.
[4]Rutherford, E. The Scattering of α and β Particles by Matter and the Structure of the Atom Philosophical Magazine 1911, 21: 669-688
[5]Balmer, J. J. Notiz über die Spectrallinien des Wasserstoffs. Annalen der Physik und Chemie 1885, 25: 80–87
[6]Rydberg, J.R. Researches sur la constitution des spectres d'émission des éléments chimiques Kongliga Svenska Vetenskaps-Akademiens Handlingar 1889, 23 (11): 1–177.
[7]Bohr, N. On the constitution of atom and molecules Part I, II, III, Philosophy Magazine 1913, 26: 1-25, 476-502, 857-875
[8]Nicholson, J. W. A structural theory of chemical elements. Philosophical Magazine, 1911, 22: 864-889
[9]Sommerfeld, A. Zur Quantentheorie der Spektrallinien Annalen der Physik 1916, 51: 1–94
[10]Ritz, W. Magnetiche Atomfelder und Serienspecktren Annalen der Physik 1908, 25: 660-696
[11]Einstein, A. Quntentheorie der Strahlung Physikalische Zeitschift 1917, 18:121-128
[12]Bohr, N. On the quantum theory of line spectra Mathematisk-Fysiske, Det Kgl. Danske Videnskabernes Selskab: Skrifter 1918, 8, 4.1: 1-36, 37-100
[13]Born, M. ÜberQuantenmechanik I, Zeitschrift für Physik, 1924, 26: 379-395
声明

