第一作者:郑智铿,郑小波,王立刚
通讯作者:严凯,汪国秀
论文DOI:doi.org/10.1002/anie.202512078
甲酸(FA)是化学和制药工业中的关键原料。电催化CO2还原反应(ECR)利用可再生电力,为生产FA提供了一条绿色可持续的途径。电催化二氧化碳还原(ECR)与甲醇氧化反应(MOR)的耦合为在阴极和阳极同时共生甲酸(FA)提供了极具前景的策略。然而,缓慢的动力学、低选择性和低效率阻碍了其实际应用。本文展示了一种采用CuBi阴极和NiCo阳极的集成ECR||MOR系统,实现了节能高效的甲酸共生。CuBi合金在宽广电位范围(>400 mV)内实现高法拉第效率(FE > 90%)的甲酸生成,这归功于其加速形成的HCOO*中间体促进了甲酸生成。同时,NiCo合金在1.4 V(相对于可逆氢电极)条件下实现97.5%的卓越FA生成FE,其快速形成的HCOO*中间体有效缓解了CO毒性。该独特系统在2.07 V电压下达到10 mA cm-2的电流密度,较水电解技术显著降低320 mV电压。在宽广的工作电压窗口(2.0–2.8 V)内,该系统始终保持189%至192%的总法拉第效率,同时展现出卓越的甲酸生产能力(超过400 g kWh-1),显著超越传统方法(约220 g kWh-1)。这项工作为低能耗二氧化碳利用和可持续甲酸生产提供了高效路径。
在ECR过程中,由于*CO2-的形成需要非常负的氧化还原电位(-1.9 V vs. SHE),通过合理的催化剂设计促进*CO2-的生成至关重要。然而,*CO2-的进一步转化途径多样,导致产物选择性低。因此,*CO2-的定向转化对于实现高产物选择性至关重要。Cu的中等d轨道能级可以与CO2分子形成有效相互作用并为电子转移提供合适的环境,这使其在ECR领域广为人知。因此,基于Cu修饰的催化剂层出不穷,缺陷工程、表面重构、杂原子掺杂和合金工程被认为是改善Cu电子结构以调控产物类型的有效策略。合金化因其可以提高耐腐蚀性和抗失活能力,提供不同的功能位点,并通过调整金属的表面组成和结构来优化活性位点的电子性质而备受关注。
除Cu外,Bi材料因其能有效活化CO2分子并促进*CO2-形成而成为最有前途的ECR催化材料之一。此外,Bi(χ = 2.02)和Cu(χ = 1.90)之间存在显著的电负性差异,因此Cu可以在Cu-Bi双金属纳米结构中向铋提供电子,这有助于提高反应物的反应活性,减少副反应,并增加目标产物的产率。因此,本研究在阴极构建了用于ECR的CuBi合金催化剂。
另一方面,甲醇氧化的电位非常低(0.03 V vs. SHE),使其成为替代OER以降低电压输入的理想候选者。然而,如此低的电位使得MOR容易过度氧化为无价值的CO2,降低了HCOOH的产率。因此,控制甲醇氧化以实现定向FA生产已成为一个待解决的问题。典型的过渡金属(Ni、Co等)及其氧化物和氢氧化物已被证明能有效地将小分子醇催化为相应的羧酸,这启发了构建Ni和Co基催化剂以用于醇氧化作为OER替代的研究方向。由于Ni和Co具有相似的晶体结构和非常接近的晶格参数,它们可以形成固溶体合金。Co金属在低电位下容易吸附OH⁻,从而促进NiOOH*活性位点的形成,并且亲电氧非常有利于亲核氧化,因此被用于阳极MOR反应。
本研究提出了一种先进的集成电解槽构型,利用CuBi合金阴极和NiCo合金阳极之间的协同作用实现高效FA生产。采用简单的一步电沉积法合成了CuBi合金阴极,其表现出卓越的催化性能,在20小时内FA生成的FE持续为98.0%。这一显著性能归因于CuBi合金优化的电子结构,增强了HCOO*中间体的选择性形成并抑制了不需要的CO副产物,这一点通过原位衰减全反射红外光谱(ATR-IR)和DFT计算得到了验证。在阳极侧,无溶剂微波合成法制备的NiCo合金电极表现出显著的耐久性,在MOR过程中FE持续为97.0%,这得益于高效的HCOO*形成和避免了CO毒性。值得注意的是,集成的ECR||MOR电解槽展示了优异的性能,在低至2.07 V的运行电压下实现了10 mA cm-2的电流密度,比传统水电解基准低320 mV。此外,在2.0至2.8 V的工作电压范围内,该系统始终保持高总FE(189%-192%),并超过了传统的FA生产能效,达到了超过400 g kWh-1的水平。
图1.合成、结构和形貌表征。a) 一步电沉积法合成CuBi–E催化剂的示意图。b) 和 c) CuBi–E催化剂的STEM图像及相应的线轮廓强度。d) CuBi-E催化剂的SAED图谱。e) CuBi–E催化剂、Cu箔和CuO的归一化Cu K边XANES光谱。f) CuBi–E催化剂和Cu箔的Cu K边EXAFS光谱的傅里叶变换,g) 拟合结果。h) Cu箔和CuBi–E催化剂的小波变换EXAFS图。
通过STEM、SAED、XANES等表征证明了结合紧密的CuBi合金成功合成, CuBi中的Bi周围的Cu提供电子给Bi形成了富电子结构的Bi。
图2. 阴极ECR的电催化性能。a) CuBi-E电极在Ar或CO2饱和的0.1 M KHCO3溶液中的LSV曲线。b) CuBi-E、CuBi-S和Bi-E电极在CO2饱和的0.1 M KHCO3溶液中的LSV曲线。c) CuBi-E电极在不同电位下ECR产物的FE。d) CuBi-E、CuBi-S和Bi-E电极在不同电位下的FA产率。e) CuBi-E、CuBi-S和Bi-E电极的ECR性能指标比较,包括反应电位(E)、双电层电容(Cdl)、FE、FA分电流密度(JHCOOH)和能量效率(EE)。f) CuBi-E的循环稳定性。
CuBi催化剂在CO2还原反应中表现出优异的性能,在>400 mV的宽电位范围内甲酸的法拉第效率高于90%,并且在6次循环反应中性能几乎没有衰减。
图3. 原位ATR-IR和理论计算。a) CuBi-E电极和b) Cu-E电极上ECR的原位ATR-IR光谱。c) CuBi上的CO2吸附模型。d) Cu(111)和CuBi(012)上HCOOH途径的吉布斯自由能。e) Cu和CuBi合金上CO途径的自由能。f) 电催化转化CO2的两条路径示意图。
原位红外和DFT计算证明了CuBi合金对CO2吸附能优于Cu, CO2容易通过HCOO*中间体生成甲酸,而与之竞争的CO*路径能垒大,揭示了CuBi合金高效产甲酸的内在原因。
图4. NiCo合金的结构和形貌表征。a) NiCo合金的XRD图谱。b) HRTEM和c)相应的放大图像。d) NiCo合金、Ni箔的归一化Ni K边XANES光谱,e) NiCo合金、Co箔、CoO和Co3O4的Co K边XANES光谱。f) NiCo合金和Ni箔的Ni K边EXAFS光谱的傅里叶变换。g) NiCo合金和Co箔的Co K边EXAFS光谱的傅里叶变换。h) Ni K边和i) Co K边EXAFS光谱的傅里叶变换拟合结果。
通过XRD、TEM、XANES等表征证明了NiCo合金的成功合成,NiCo合金中的Co具有不饱和配位状态。
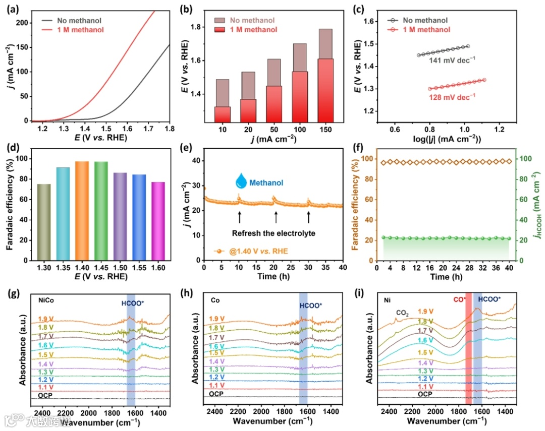
图5. NiCo电极阳极MOR的电催化性能。a)在含和不含1 M甲醇的1 M KOH溶液中的LSV曲线。b) 在含和不含甲醇的KOH溶液中达到不同电流密度所需电位的比较。c) 在含和不含甲醇的KOH溶液中的塔菲尔斜率。d) 不同电位下甲醇氧化生成FA的FE。e) 恒电位下MOR的长期CA测试曲线。f) CA测试过程中随时间的FE和FA分电流密度。g) NiCo, h) Co, i) Ni的电位依赖性原位ATR-IR光谱。
NiCo合金在电氧化甲醇为甲酸反应中表现出很好的性能,在40 h电解实验后性能没有衰减,法拉第效率保持在98%,原位红外表明NiCo合金上没有发生CO*竞争反应,从而实现了甲酸的高效生成。
图6. CuBi合金用于ECR与NiCo合金用于MOR的同步反应系统的电催化性能。a)耦合电解池示意图。b) HER||OER和ECR||MOR系统的LSV曲线。c) HER||OER和ECR||MOR系统在不同电池电压下的电流密度。d) ECR||MOR系统在不同外加电压下阴极和阳极以及e) FA的总法拉第效率。f) 耦合系统中的连续恒电流和恒电位过程,以及随时间变化的阴极、阳极和总法拉第效率。g) FA产率与外加电压的关系。
在ECR||MOR耦合体系中,反应系统仍然保持良好的甲酸产生效率和稳定性,实现了400 g kWh−1的甲酸生产效率。
总之,该研究构建了一个集成电解槽系统,其特点是具有协同作用的CuBi合金阴极和NiCo合金阳极,用于高效生产甲酸(FA)。通过简单的一步电沉积法制备的CuBi阴极,在20小时内FA生成的FE达到98.0%。原位ATR-IR和DFT计算表明,优化电子结构的CuBi合金不仅更容易活化CO2并更快地产生HCOO*,而且避免了涉及CO*相关中间体的竞争反应途径,使得中间体HCOO*的高覆盖更有利于FA的生成。此外,CuBi形成了致密的合金相,极大地限制了其金属溶出,从而具有优异的耐久性。通过无溶剂微波法合成的含有更多不饱和Co原子的NiCo合金阳极,在MOR过程中表现出卓越的稳定性,FA的FE为97.0%。原位ATR-IR结果表明,NiCo合金在促进HCOO*形成方面表现出优异的活性,这有利于FA的形成,同时也阻碍了CO*的形成,避免了甲醇的过度氧化,并将反应途径导向近乎完全和选择性的FA生成。耦合的ECR||MOR系统在10 mA cm-2下实现了2.07 V的低工作电压,比传统水电解低320 mV,同时在2.0–2.8 V范围内保持高总FE(189%–192%)。值得注意的是,该系统实现了超过400 g kWh-1的FA生产高能效,显著超过了传统的FA生产基准。
Harnessing Electrocatalytic Coupling of Carbon Dioxide and Methanol for High‐Efficiency Formic Acid Production,Angewandte Chemie International Edition
https://doi.org/10.1002/anie.202512078
中山大学严凯教授为国家万人计划获得者,课题组网页:https://www.x-mol.com/groups/ky,招聘生物质催化转化、电催化方向的博士后,课题组相关研究成果已在Nature子刊., Angew. Chem. Int. Ed., Adv. Functional Mater., Adv. Sci., Appl. Catal. B, ACS Catal.,等刊物上发表130余篇SCI论文,其中25篇论文为ESI 高被引论文。
声明

