第一作者:汤云祥
通讯作者:王凤龙
通讯单位:山东大学
论文DOI:10.1002/adma.202512793
单原子与纳米颗粒相结合的多相催化剂能够通过协同效应显著增强氢化反应的催化性能。然而,合成过程中金属负载量的差异常被忽视,这不仅妨碍了与纯单原子或纳米颗粒体系的精确性能比较,也阻碍了对其内在催化优势的深入理解。针对该挑战,山东大学王凤龙教授团队合成了Ru1+NPs/CeAlOx光热催化剂,利用Ru单原子与Ru纳米颗粒之间的协同作用,实现了优异的CO2甲烷化性能。在200 °C和光照(3.1 W·cm-2,200-1100 nm)条件下,该催化剂的CH4生成速率高达197.2 mmol·gcat-1·h-1,选择性接近100%,优于相同金属含量下的Ru1/CeAlOx和RuNPs/CeAlOx催化剂。机理研究表明,Ru单原子主要负责CO2的吸附和活化,Ru纳米颗粒则促进H2的解离,两者的协同作用显著提升了催化性能;此外,CeAlOx载体通过其丰富的氧空位与表面路易斯酸碱对,有效稳定了双位点结构并促进了反应中间体的形成。本研究强调了单原子与纳米颗粒协同效应在光热耦合催化CO2加氢中的关键作用,为设计高效加氢催化剂提供了新的思路。
光热耦合催化CO2加氢为在温和条件下实现CO2资源化及含碳化学品生产提供了可持续策略,近年来受到广泛关注。在各种反应路径中,通过光热过程将CO2加氢转化为CH4尤其具有吸引力,因其在煤制气、电转气系统以及航空航天技术中的CO2减排方面具有重要应用价值。然而,由于热力学限制和竞争性副反应(如逆水煤气变换反应),实现理想的CO2转化效率和高CH4选择性仍是一项艰巨挑战。贵金属基催化剂在CH4生成方面表现出优异的活性、选择性和稳定性,但其高成本和稀缺性成为了制约其广泛应用的关键因素。为了最大限度地利用贵金属活性位点并同时降低催化剂成本,一种有效策略是将贵金属纳米颗粒尺寸减小至亚纳米团簇甚至达到单原子水平,通过这种方式可以实现对贵金属的高效利用。然而,与贵金属纳米颗粒出色的H2解离能力和溢出效应相比,单原子催化剂由于缺乏金属-金属键,因此H2必须通过异解离途径进行活化。这种解离途径通常具有更高的势垒,从而限制了单原子催化剂的加氢活性。
针对上述问题,一种有前景的策略是利用金属单原子与纳米颗粒之间的协同作用,其中金属纳米颗粒主要负责H2的解离,而原子分散的金属物种则负责反应物的活化。然而,目前单原子-纳米颗粒共存催化剂的制备过程较为复杂,通常需要多步骤来完成,导致其时间成本和经济成本较高。此外,在评估单原子催化剂、纳米颗粒催化剂以及单原子-纳米颗粒共存催化剂的催化活性时,金属负载量是一个重要的考虑因素。由于单原子催化剂仅包含孤立的金属原子,其金属负载量普遍较低,这一差异可能导致对催化活性的不公平比较。因此,为了克服单原子-纳米颗粒共存催化剂的制备过程的复杂性及金属负载量的差异性,亟需开发一种简单可控、具有广泛适用性的合成策略。
(1) 本工作设计了Ru单原子和Ru纳米颗粒修饰的CeAlOx催化剂(Ru1+NPs/CeAlOx),其中Ru纳米颗粒负责H2的解离,Ru单原子促进CO2的吸附/活化和随后的转化,实现了优异的光热耦合催化CO2甲烷化性能。
(2) CeAlO载体不仅有效稳定了双位点结构,还通过其丰富的氧空位和表面路易斯酸碱对促进了反应中间体的形成,从而进一步促进了催化反应。
(3) 这种协同作用使得Ru1+NPs/CeAlOx催化剂在200 ℃和光照下的CH4产率达到了197.2 mmol gcat−1 h−1,选择性接近100%,显著超过了相同金属负载量的Ru1/CeAlOx和RuNPs/CeAlOx催化剂。
图1. a) Ru1/CeAlOx、RuNPs/CeAlO和Ru1+NPs/CeAlOx的制备流程示意图。Ru1+NPs/CeAlOx的b) TEM图像和c, e) HAADF-STEM图像。d) 图c的元素分布强度图。f–j) Ru1+NPs/CeAlOx的EDS元素分布图像。
图2 a) Ru1+NPs/CeAlOx上CO吸附的DRIFTS光谱和b)对应的等高线投影图。c) Ce 3d、d) O 1s和e) Ru 3d的高分辨XPS能谱。不同催化剂的Ru K边f) XANES和g) FT-EXAFS光谱。h) Ru1+NPs/CeAlOx的k空间光谱拟合曲线。i) Ru1+NPs/CeAlOx R空间的FT-EXAFS拟合曲线。j) Ru箔、RuO2和Ru1+NPs/CeAlOx的小波变换等高线图。
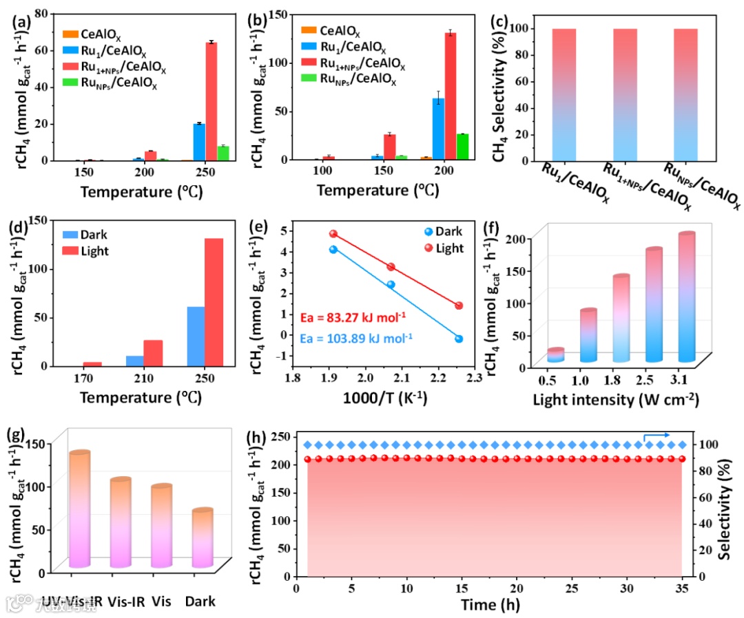
图3 a) 催化剂在不同反应温度下的CH4产率。b)催化剂在光照和不同反应温度下的CH4产率。c) 催化剂在光照和200 °C下的CH4选择性。d) Ru1+NPs/CeAlOx催化剂在黑暗和光照下的CH4产率及e)对应的阿伦尼乌斯曲线。f) Ru1+NPs/CeAlOx催化剂在不同光强下的CH4产率。g) Ru1+NPs/CeAlOx催化剂在不同光照条件的CH4产率。h) Ru1+NPs/CeAlOx催化剂在光照和250 °C下的稳定性测试。
图4 a) Ru1/CeAlOx、Ru1+NPs/CeAlOx和RuNPs/CeAlOx的H2-TPR图谱。b) Ru1和RuNPs表面H2解离的相对能量变化图。c) Ru1/CeAlOx、Ru1+NPs/CeAlOx和RuNPs/CeAlOx的CO2-TPD图谱。d) CO2在CeO2、Ru纳米颗粒、Ru单原子表面及RuNPs/CeO2界面上的吸附能。e) Ru1+NPs/CeAlOx催化剂在黑暗不同温度和300 ℃光照下的in situ DRIFTS光谱及f) 对应的等高线投影图。g) Ru1/CeAlOx催化剂在黑暗不同温度和300 ℃光照下的in situ DRIFTS光谱。h) RuNPs/CeAlOx催化剂在黑暗不同温度和300 ℃光照下的in situ DRIFTS光谱。i) Ru1+NPs/CeAlOx催化剂上光热耦合催化CO2甲烷化的反应机理示意图。
本研究提出了一种有效的策略,通过构建Ru1+NPs/CeAlOx催化剂,利用Ru单原子和Ru纳米颗粒的协同效应来提高CO2甲烷化性能。综合实验表征与DFT计算表明,Ru纳米颗粒在H2解离过程中发挥关键作用,而Ru单原子则促进CO2的吸附与活化。同时,CeAlOx载体不仅有效稳定了双活性位点结构,还通过其丰富的氧空位和表面路易斯酸碱对促进了反应中间体的形成,从而进一步促进催化反应。得益于这些优势,Ru1+NPs/CeAlOx催化剂在200 °C和光照条件下实现了197.2 mmol gcat−1 h−1,选择性接近100%,显著超过了相同金属负载量的Ru1/CeAlOx和RuNPs/CeAlOx催化剂。In situ DRIFTS研究证实,Ru1+NPs/CeAlOx催化剂上的CO2甲烷化反应遵循甲酸盐路径,且光照显著增强了反应物与中间体的活化与转化。本工作突出了单原子与纳米颗粒协同效应在提升催化反应效率中的关键作用,为设计高性能CO2还原及其他加氢反应催化剂提供了理论指导。
Synergies Between Atomically Dispersed Ru Single Atoms and Nanoparticles on CeAlOx for Enhanced Photo-Thermal Catalytic CO2 Hydrogenation, Yunxiang Tang, Hao Wang, Chan Guo, Lige Wang, Tingting Zhao, Shikang Xiao, Jiurong Liu, Yanyan Jiang, Yufei Zhao, Xiao-Dong Wen, Fenglong Wang, Advanced Materials, 2025, e12793
https://doi.org/10.1002/adma.202512793
王凤龙(通讯作者),山东大学材料科学与工程学院教授,博士生导师。主要从事金属基纳米功能材料的制备、表征和电子结构调控,探索材料在光热抗菌和光热催化CO2转换等方面的应用潜力;主持了国家自然科学基金面上项目、国家自然科学基金青年项目、山东省自然科学优秀青年基金等科研项目(国家级项目4项);截至目前,以第一/通讯作者身份在Adv. Mater., Angew. Chem. Int. Ed., Sci. Bull., Adv. Sci., Nano-micro Lett., Adv. Funct. Mater., ACS catal., ACS Nano等国内外高水平期刊发表论文70余篇,被国内外同行引用8100多次,H指数52;担任国际期刊Frontiers in Energy Research副主编、Applied Organometallic Chemistry编委、中国科技期刊卓越行动计划高起点新刊ChemPhysMater编委及GER期刊青年编委等学术兼职;获得欧洲材料学会青年科学奖和山东省自然科学二等奖等荣誉,入选JMCA新锐科学家(2024),被ScholarGPS评选为全球前0.5%科学家(2024年度)。个人主页:https://www.x-mol.com/groups/fenglongwang
汤云祥(第一作者),泰山学院化学化工学院讲师。主要从事金属基功能纳米材料在新能源转换和环境保护领域的基础应用研究。主持国家自然科学基金青年基金,山东省自然科学基金青年基金、泰安市科技创新发展项目等科研项目。截至目前,以第一作者/通讯作者身份在Adv. Mater. ACS Nano, Adv. Sci., J. Mater. Chem. A, Nano Res., Small, Chem. Eng. J., Carbon 等国内外高水平期刊发表论文24篇,被国内外同行引用1500多次,H指数25;担任聊城大学学报(自然科学版)青年编委,Nano-Micro Lett., ACS Appl. Mater. Interfaces 期刊审稿人等学术兼职。
声明

