普朗克与黑体辐射中量子的概念
郝维昌
北京航空航天大学物理学院
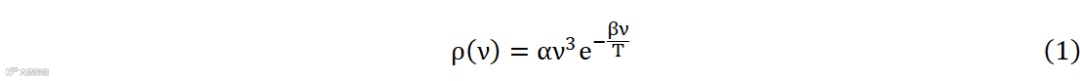
黑体(black-body)一词由基尔霍夫在1860年提出,基尔霍夫是物理大家,有良好的物理直觉,在实验数据十分缺乏的状况下,他指出任何理想黑体,其热平衡时的发射能力与吸收率之比都是一个普适的、只依赖于温度的函数,该函数(黑体辐射的能量密度函数)是完美黑体的特征[1]。1893维恩基于实验数据通过半经验的推导给出了黑体辐射普适公式形式[2, 3],在这一公式中人为的引入了两个参数α和β:
![]()
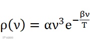
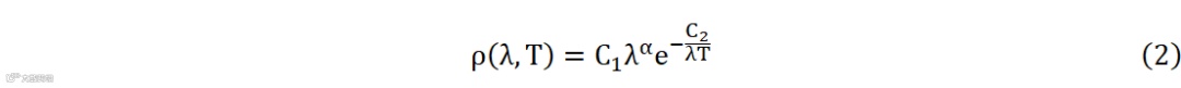
1896年汉诺威工业大学的帕邢(Friedrich Paschen,1865-1947)通过对实验数据细致分析得到的黑体辐射能量密度的经验关系[4]
![]()
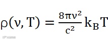
关于黑体辐射普适函数的问题,现在已有帕邢的经验公式和维恩公式。本质上这两个公式是一致的。但这两个公式在高频区间与实验数据符合的较好,但在低频区域与实验不符。人们普遍认为瑞利-金斯的工作和普朗克理论的发展是平行进行的,但实际上,瑞利-金斯公式的完善比普朗克工作还要晚一些。瑞利根据热力学能量均分定律,对于经典振子系统振子的平均能量为E = kBT,得到了能量密度公式如下
![]()
1900年10月,德国物理学家普朗克(Max Plank, 1858-1947),为了解决维恩公式在长波区域与实验数据不符的问题,灵机一动猜出了黑体辐射的正确形式,并于10月19日,将其成果以维恩辐射定律的改进发表在德国物理学会会刊上[5]。主要原因在于普朗克是热力学大家,是玻尔兹曼和克劳修斯的追随者,他们对于指数函数有着深刻的理解。
![]()
(4)
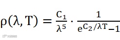
将这一公式的形式与帕邢的公式比较一下,很快就明白二者是何其一致。用现代符号并把波长改写成频率,普朗克黑体辐射的公式形式如下:
![]()
(5)
在高频短波情况下,推导维恩公式的过程如下:
最终可得,高频短波下的维恩公式为:
(10)
在低频长波情况下变化为瑞利-金斯公式,当ν→0时,按泰勒级数(
)展开取前两项,得到
,普朗克公式就转化为了瑞利-金斯公式:
(11)
普朗克得到了新的黑体辐射的函数后,马上请柏林大学物理系两位年轻的实验学者去验证其合理性。很快就得到了积极的反馈,在整个频率范围内公式与实验数据符合很好。普朗克意识到这个结果背后一定蕴含着更基本的物理,他觉得应该能够从热力学的基本原理出发推导出这一结果。1900年年底,普朗克从热力学的基本原理出发,终于重新推导出了这一公式,并提出了能量量子的概念[6,7]。
我们试着按照普朗克的思路进行重新推导,根据维恩定律:
再次根据热力学定律:
(16)
在理想黑体辐射条件下
(17)
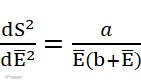
由熵的导数直接推导出辐射熵形式,另外从维恩公式出发可以得到熵的二次导数与能量的成反比这样简单形式,这件事给普朗克很深的印象。这个热力学的推导在维恩公式改进的文章[5]之前一点时间已经发表,这里可以看出普朗克的深厚的热力学功底。
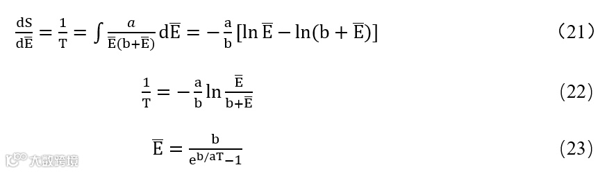
如果想得到普朗克猜测的平均能量的表达式,就必须把这二次微分的形式稍微变化一下,
(20)
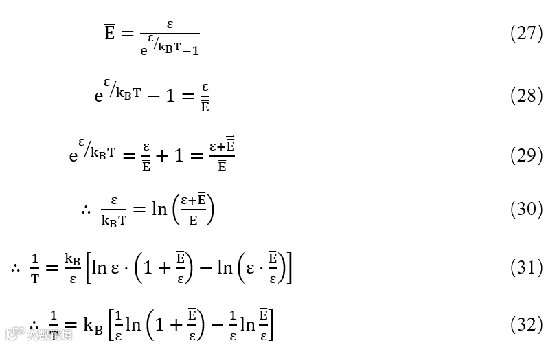
因此熵对平均能量的一阶导数就变成,
在这一平均能量下,黑体辐射就获得了正确的形式:
(24)
普朗克从热力学第一、第二定律出发重新推导出来的黑体辐射公式[6],
对于黑体辐射系统
在改进维恩公式文章中已经推导出,
由24式得:
由辐射熵导数形式并利用公式
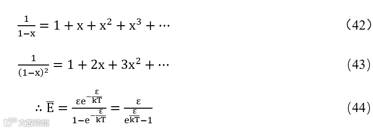
,便猜出了辐射熵的公式(由导数形式猜出原始函数的形式)。剩下的事情就是如何由热力学推导出辐射熵[7]。根据统计力学,对于黑体辐射,可以认为P个粒子的总能量为E总,随后系统分配给N个振子。相当于经典统计中P个粒子分配到N个盒子里的问题,因此粒子的总能量E总和平均能量的关系如下:
这与由熵对能量导数猜出的辐射熵的形式是一致的,于是黑体辐射的能量密度公式便得到了证明。普朗克公式的最终推导应该就是这样从两边凑出来的,但这并不影响这一突破的伟大!在这推导过程中需要引入一个最小的能量单元ε,令ε = hυ。在温度达到恒定时特定频率的普朗克公式为:
普朗克不仅得到了黑体辐射能量密度的正确表达式,并提出了能量量子的概念,他还始终试图在量子行为和经典描述之间建立某种联系。这一纠结直到1912年法国著名数学家、物理学家庞加莱发表其最后科学工作后才画上句号[8]。庞加莱在其文章中证明,为了得到普朗克能量密度方程,振子能量的概率密度函数是能量的一个不连续函数,E只能取0, hυ, 2hυ…….。因此黑体辐射相关的量子定律无法用经典理论和任何本质为连续的数学形式体系来描述。而普朗克与庞加莱的工作也为海森堡、波恩、乔丹和狄拉克最终建立完善量子力学体系奠定了基础。普朗克公式统一了维恩公式和瑞利金斯公式,以此为基础可以推导斯特藩-玻尔兹曼定律和维恩位移公式。一个好的理论必然包括前人已经被实验证明的成果,同时能够给出更深刻的物理和预言,而不是像很多人理解的那样推翻了前人的结果!
黑体辐射与固体量子理论
1905年爱因斯坦(Albert Einstein,1879-1955)在其奇迹年发表的5篇文献之一便是对黑体辐射的研究,爱因斯坦意识到能量量子是一种具有革命力量的新概念,在这篇文章中,他提出了光量子概念,并认为光量子概念可以解释光电效应、光致发光中的斯托克斯效应和气体的光电离现象[9]。1906年,爱因斯坦又重新推导了普朗克的公式[10],爱因斯坦指出如果普朗克采用玻尔兹曼的方法,只要振子能量取0, 1ε, 2ε, …,也可以得到普朗克公式。即按照玻尔兹曼统计对于E=nε的振子,其概率公式为
下面求振子平均能量(系统中共有N个振子),
利用下面两个数学公式:
这个平均能量非常重要!1906年爱因斯坦就得知他在苏黎世理工大学的老师韦伯在1872年得到了在低温时,金刚石的热容值比能量均分定理的预言小的多,直到1300 oC时才接近标准值[11]。固体的比热容不符合经典物理能量均分定理的预言,这一研究工作被开尔文爵士称为经典物理中两朵乌云中的一朵,再次强调经典物理两朵乌云没有紫外灾难之说,另一朵是以太问题。爱因斯坦总是能抓住事物的本质,他利用这个量子化平均能量作为热运动分子振动的平均能量处理固体热容,开创了固体量子理论的先河。
按照经典热力学
,与实验不符。爱因斯坦认为原子振动的平均能量也应该按照黑体辐射的振子平均能量处理,即原子内能应该是
,根据这个假设得到了新的热容的公式[12]:
这个公式与金刚石热容数据符合得比较好,这个工作是固体量子理论的起点。虽然随着实验测量精度提高发现爱因斯坦这个模型在低温下并不算成功,最后是德拜修正了这一模型,得到了普适的热容公式[13]。另外1916年爱因斯坦还更进一步利用二能级系统推导了黑体辐射公式,并提出了受激辐射的概念[14],这些概念是激光发明的思想源泉。
参考文献:
[1] Kirchhoff, G. R. Über die Verhältnis zwischen dem Emissionsvermögen und dem Absorptionsvermögen der Körper für Wärme und Licht. Annalen der Physik 1860,109: 275–301
[2] Wien, W. Eine neue Beziehung der Strahlung schwarzer Körper zum zweiten Hauptsatz der Wärmetheorie. Sitzungsberichte der Preussischen Akademie der Wissenschaften 1893, 1: 55–62.
[3] Wien,W. Temperatur und Entropie der Strahlung. Annalen der Physik1894, 52: 132–165.
[4] Paschen, F. Über Gesetzmässigkeiten in den Spectren fester Körper. I. Annalen der Physik 1896, 58:455–492
[5] Planck, M. Über eine Verbesserung der Wienschen Spektralgleichung. Verhandlungen der Deutschen Physikalische Gesellschaft 1900, 2: 202–204
[6] Planck, M. Entropie und Temperatur strahlender Wärme Annalen der Physik 1900, 1: 719-737.
[7]Planck, M. Zur Theorie des Gesetzes der Energieverteilung im Normalspektrum. Verhandlungen der Deutschen Physikalische Gesellschaft 1900, 2: 237–245
[8] Poincaré, H. Sur la théorie des quanta Journal de physique théorique et appliquée, 2, 1912, 5-34
[9] Einstein, A. Über einen die Erzeugung und Verwandlung des Lichtes betreffenden heuristischen Gesichtspunkt. Annalen der Physik 1905, 17, 132–148
[10]Einstein, A. Zur Theoric der Lichterzeugung und Lichtabsorption. Annalen der Physik 1906, 20, 199-206
[11]Weber H F Die spezifische Wärme des Kolenstoffs. Annalen der Physik 1872, 147, 311-319
[12]Einstein, A. Die Plancksche Theorie der Strahlung und die Theorie der spezifischen Wärme. Annalen der Physik 1906, 22, 180-190
[13]Debye, P. Zur Theorie der spezifischen Warme. Annalen der Physik, 1912, 4: 789-839.
[14]Einstein, A. Quantentheorie der Strahlung. Mitteilungen der Physikalischen Gesellschaft Zürich 1916, 16: 47- 62.
附件:利用普朗克公式证明斯特藩-玻尔兹曼公式和维恩位移定律
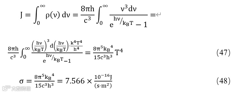
解:(1)特定温度T下,黑体辐射能量密度就是对普朗克公式在全频率进行积分可得。
(2)把普朗克公式改写成波长的形式,
对波长求微分,在λmax处,导数为零,
即:
令![]()
,
![]()
则:
于是有维恩位移定律,
λmaxT=C(常数)
声明

