第一作者:单苍鹏,贾钦伟
通讯作者:刘庆岭
通讯单位:天津大学环境科学与工程学院
论文DOI:10.1016/j.apcatb.2025.126277
通过催化氧化法去除工业源CO并为脱硝装置提供热量,具有显著的经济和环境效益。然而工业烟气中广泛存在的SO2容易使催化剂中毒失活,成为阻碍该技术广泛应用的瓶颈问题。基于以上背景,该研究制备了硫酸盐改性的Pt/TiO2催化剂,在典型钢铁烧结烟气条件下表现出良好的催化活性和抗硫性,并对催化剂构效关系进行分析,揭示了硫酸盐沉积对催化剂电子结构、氧物种活化以及吸附性质的影响。这项工作为抗硫催化剂的设计和理解硫酸盐对催化活性的影响提供了新的见解。
在SO2暴露的催化氧化反应中,硫酸盐的形成被认为是催化剂活性降低和不可逆硫中毒的主要原因,因为它能够覆盖表面活性位点,破坏活性氧物种并破坏催化剂结构。然而,也有报道称硫酸盐可以构建空间位阻或调节活性位点的电子结构,从而抑制SO2的吸附并提高抗硫性。此外,硫酸盐可以改变表面酸性以调节反应物的吸附,并与其他位点形成特定的电子对以促进特定键的断裂,从而提高催化剂对某些反应的活性。因此,硫酸盐对催化剂活性和抗硫性的影响值得进一步澄清,如何合理利用硫酸盐在含SO2的条件下高效稳定去除CO值得深入研究。
1. 通过适量的(NH4)2SO4沉积制备了硫酸盐改性的Pt/TiO2催化剂,该催化剂在200 °C、典型钢铁烧结烟气条件下连续运行500小时保持超过90%的CO转化率,能够抵抗高达1000 ppm的SO2而不失活,为抗硫催化剂的设计提供新的思路。
2. 经硫酸盐改性后,催化剂PtOx团簇的电子结构通过Pt-O-S桥键得到优化,从而激活了PtOx团簇的晶格氧,增强了CO与Pt位点之间的相互作用并削弱了SO2在Pt位点的吸附,为理解硫酸盐对催化活性的影响提供了新的见解。
催化活性
图1 CO催化氧化活性和抗硫性测试
在钢铁烧结烟气条件下(同时含有H2O和NOx),硫酸盐改性的Pt/TiO2催化剂(Pt/TiO2-0.S)在200 °C能够耐受1000 ppm SO2,连续运行500 h保持CO转化率超过90%而不衰减。
催化剂结构
图2 硫酸盐沉积对催化剂电子结构的影响
具有强电负性的硫酸盐,能够诱导Pt/TiO2上PtOx团簇的电子向硫酸盐转移,形成高价态的Pt物种,从而优化催化剂的吸附和氧化性质。
吸附和氧化性质
图3 硫酸盐沉积对催化剂吸附和氧化性质的影响
电子结构的改变调控了Pt/TiO2上PtOx团簇Pt 5d和O 2p带中心的相对位置,这增强了Pt与CO的相互作用并激活了PtOx的晶格氧。
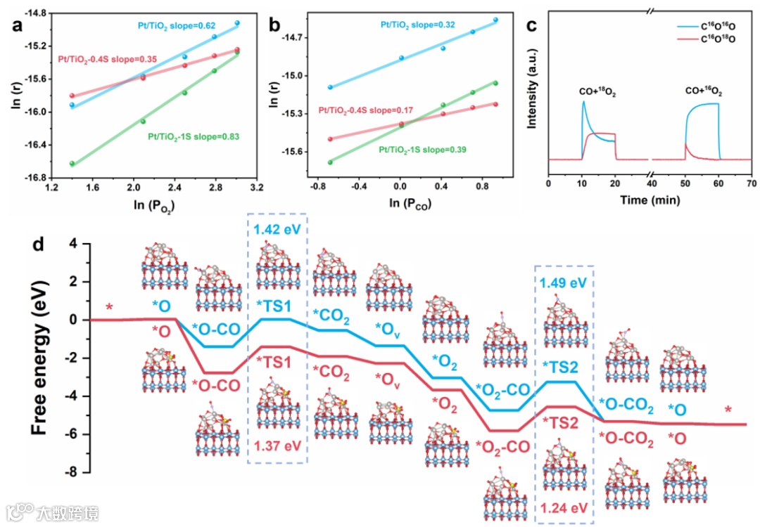
反应机理
图4 硫酸盐沉积对催化剂上CO氧化机理的影响
CO氧化在硫酸盐沉积前后的催化剂上主要遵循MvK机理,且限速步骤为吸附态CO与PtOx晶格氧的反应,沉积硫酸盐的催化剂具有更低的反应能垒。
抗硫机制
图5 硫酸盐沉积对催化剂抗硫性的影响
硫酸盐沉积显著抑制了催化剂对SO2的吸附以及Pt与SO2的相互作用,从而削弱其对CO和O2的竞争吸附,提高催化剂的抗硫性和反应的稳定性。
这项工作通过NH4HSO4改性在Pt/TiO2上负载适量的硫酸盐,所制备的催化剂在典型钢铁烧结烟气条件下表现出良好的催化活性和抗硫稳定性。具有强电负性的硫酸盐可以通过Pt-O-S桥优化PtOx团簇的电子结构。低温活性的提高是由于PtOx晶格氧的活化以及Pt与CO之间相互作用的增强,SO2吸附的显著削弱提高了催化剂的抗硫性。这项工作具有“以毒攻毒”的效果,为工业源CO的稳定催化氧化提供了有良好应用前景的催化材料。
C. Shan, Q. Jia, Y. Zhang, G. Liu, X. Hou, Y. Wang, R. Han, C. Liu, W. Wang, Q. Liu, Construction of functionalized Pt-O-S bridge on Pt/TiO2 simultaneously enhancing the catalytic activity and sulfur resistance for CO oxidation, Applied Catalysis B: Environment and Energy, 2025, 126277.
文章链接:https://www.sciencedirect.com/science/article/abs/pii/S0926337325012603
刘庆岭,天津大学学位办主任,环境科学与工程学院英才教授,博士生导师,国家重点研发计划首席科学家,天津市海外高层次人才,天津大学“北洋学者”,中国环境科学学会VOCs专委会常委,全国工程专业学位研究生教育指导委员会工程博士专项工作组专家。曾就职国际知名尾气处理公司庄信万丰项目研究员,参与瑞典理事会基金、美国能源部、Jonhson Mathey资助基金的研究工作,先后主持科技部973、国家自然科学基金、国家重点研发计划、天津市生态环境重大专项等项目。在国际高水平学术期刊Journal of the American chemical Society,Chemical Review,Environmental Science & Technology,Applied Catalysis B: Environmental and Energy,ACS Catalysis等发表SCI论文100余篇。
课题组网站:http://catalysis.tju.edu.cn/
版权声明
本期互动

