第一作者:谭睿珂
通讯作者:母晓玮,李路
通讯单位:吉林大学无机合成与制备化学全国重点实验室
论文DOI:10.1038/s41467-025-66325-3
本研究成功设计了一种新型光热催化剂——Ni-CeO2-x/CNTs,通过在碳纳米管(CNTs)上构建紧密耦合、富含氧空位的CeO2-x纳米域与富电子的镍纳米颗粒,实现了高效、低温的氨分解制氢。该催化剂在光照下氢气产率高达298.4 mmol gcat-1 min-1,超越多数贵金属钌基催化剂,并具备超过50小时的连续运行稳定性。
氢能经济面临储运难题,而氨(NH3)因其高含氢量(17.8 wt.%)、易于液化及无碳分解路径,被视为理想氢载体。镍基催化剂虽成本低廉,但其氨分解性能受限于氮原子耦合与脱附的高能垒,需高温运行且易烧结失活。光催化虽能利用光子能量促进N-H键断裂,但缺乏足够热能驱动N-N耦合步骤,导致反应速率极低。光热催化通过光与热的协同作用,有望在温和条件下实现高效氨分解。
理想的氨分解光热催化剂需具备多个关键特性,以充分发挥光热协同效应。首先,应具备优异的光捕获和电荷分离能力,从而高效地将紫外-可见光转化为化学能。其次,需合理设计活性位点,促进氨吸附、N-H键断裂及N-N耦合。此外,应能将无法驱动电荷分离的近红外光转化为热能,从而利用低能光子促进反应动力学。催化剂还需具备长期耐氨性和抗光腐蚀能力,以维持结构稳定。然而,将这些特性集成于单一催化剂中仍面临重大挑战。
高效界面设计:在CNTs上构建紧密接触的富缺陷的CeO2-x纳米域和富电子的Ni纳米颗粒,该高活性Ce-Ov-Ni界面有效促进了氨吸附、N-H键断裂及N-N耦合。
光热协同机制:CNTs中优异的光热转换和电子传递能力显著增强了CeO2-x中的光激发载流子分离,从而加速了光催化N-H键的裂解,热能与光能协同降低反应能垒。
性能突破:在无外加热条件下,氢气产率超越多数已报道的钌基催化剂,并展现出优异的长期稳定性。
机理深入:通过理论计算,揭示Ce-Ov-Ni界面提升Ni的d带中心,将N-N耦合能垒从1.34 eV(传统Ni催化剂)降至0.53 eV,突破传统镍基催化剂的固有限制。
采用液相碱沉淀法在碳纳米管(CNTs)上构建了富含氧空位的CeO2-x纳米结构域,并通过NaBH4还原成功负载高分散镍纳米颗粒,制备出Ni-CeO2-x/CNTs催化剂(图1a)。表征结果显示:CeO2-x在CNTs表面呈高度分散态(平均粒径6.6 nm),其晶粒尺寸显著小于纯CeO2(17.4 nm),且拉曼与XPS分析共同证实材料中存在大量氧空位(图1b)。通过XRD与TEM观测发现,Ni在复合载体上呈现更小粒径(5.5 nm)与更高分散度(图1c-d)。更重要的是,HRTEM与元素线扫描直接观察到Ni纳米颗粒优先锚定于CeO2-x域,形成紧密界面(图1e)。XPS分析表明,CeO2-x/CNTs作为电子给体使Ni的电子密度显著升高(图1f),Bader电荷分析进一步证实氧空位可促使CeO2-x向Ni转移0.101 |e|(图1g)。最终,该结构通过碳纳米管的空间限域作用和Ce-O-Ni界面的强相互作用具有优异的抗烧结能力,定向电子转移则有效提升了镍活性位点的本征活性。
图1 催化剂的结构和电子表征
在光热氨分解性能测试中(图2a),Ni-CeO2-x/CNTs在可见-红外光辐照下表现出卓越的催化活性,其产氢速率显著高于单组分催化剂及其物理混合物,证实了复合结构的关键作用。随着光强从1.4 W cm-2增至2.4 W cm-2,催化剂表面温度相应上升,产氢速率提高近6倍,而在相同温度的暗反应中活性极低,说明反应由光催化过程主导(图2b)。波长实验进一步揭示,氨分解仅在≤600 nm的紫外-可见光区显著发生,与CeO2-x的光吸收特性高度吻合,表明其光生电子-空穴对是反应的关键驱动力(图2c)。该策略在实际户外聚光条件下成功实现3.6%的太阳能-氢能转化效率(图2d)。在连续流反应中,催化剂保持了超过55小时的稳定运行,结构未见明显烧结(图2e)。在3.5 W cm-2全光谱光照下,其产氢速率高达298.4 mmol gcat-1 min-1(图2f)。
图2 热辅助光催化氨分解
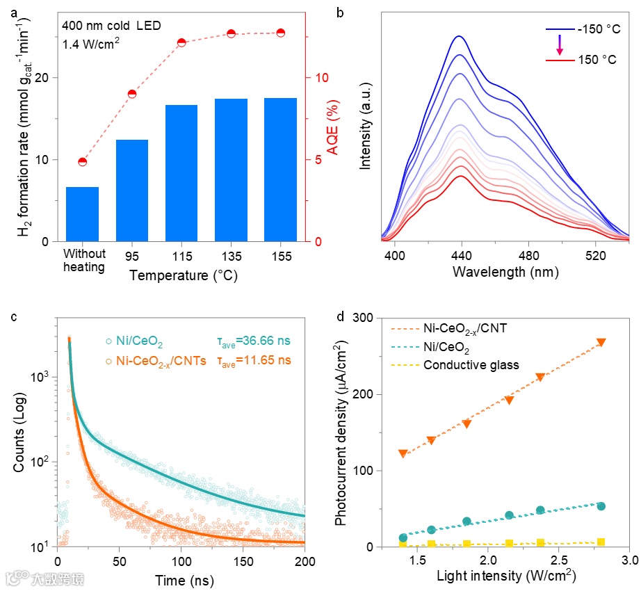
CNTs在Ni-CeO2-x/CNTs体系中通过光热与电荷传输双途径显著增强光催化性能。如图3a所示,在400 nm单色光照射下,外加热使温度由74℃升至155℃时,产氢速率由6.7 mmol gcat-1 min-1提升至17.5 mmol gcat-1 min-1,表观量子效率达12.7%,为目前报道最高值。TD-PL光谱显示升温可抑制70%以上的电荷复合(图3b),表明热能有效促进载流子分离。时间分辨光致发光(TR-PL)光谱显示CNTs的引入使平均载流子寿命(τave)从36.66 ns降低到11.65 ns,说明高导电性的CNTs作为电子传输通道,加速了界面电子迁移。光强依赖性光电流测试(图3d)显示,Ni-CeO2-x/CNTs的光电流密度及其增长斜率均显著高于Ni/CeO2,充分证明CNTs在提升光热转换与促进电荷分离方面的协同增强机制。
图3 碳纳米管提高光催化性能的作用
原位XPS显示光照下Ni 2p结合能负移0.14 eV(图4a),证实光生电子由CeO2-x向Ni迁移;同时光电流在NH3氛围中显著增强(图4b),说明空穴参与NH3氧化脱氢。DFT计算表明,Ce–Ov–Ni界面处Ni的d带中心上移至–1.03 eV(图4c)。反应后XPS分析显示,Ni-CeO2-x/CNTs表面残留N*物种仅为15%,远低于Ni/CeO2的48%(图4d),说明N–N耦合效率显著提升。动力学同位素效应(KIE = 1.8)进一步证实速率决定步骤由传统Ni催化剂的N–N耦合转变为N–H键断裂。反应路径计算表明(图4e),Ce–Ov–Ni界面将N–N耦合能垒由传统Ni催化剂的1.34 eV大幅降低至0.53 eV,从而突破N–N耦合瓶颈。
图4 反应机理
本研究通过精准构建Ni-CeO2-x/CNTs复合结构,实现了光热协同驱动的高效氨分解,不仅在性能上超越贵金属催化剂,更通过界面工程大幅降低反应能垒,突破了镍基催化剂的固有局限。这项工作为设计用于氨分解的高性能光热催化剂提供了有价值的见解,并强调了热辅助光催化的潜力,利用太阳能的全UV-Vis-NIR光谱来创建由清洁太阳能驱动的可持续催化解决方案。
李路,国家级领军人才,国家级青年人才,吉林大学“唐敖庆学者”卓越教授A岗,吉林大学化学学院、无机合成与制备化学全国重点实验室教授,博士生导师。课题组近年来着重于清洁能源、绿色低碳技术与氨氢融合领域,通过制备具有特殊电子态及局域原子结构的催化剂,结合理论计算,发展激发态合成路线与反应机制,旨在实现惰性分子在绿色条件下的高效活化与定向转化。近年来以通讯或第一作者在Nat. Energy,Nat. Protoc.,JACS,Angew, Nat. Commun.等杂志发表SCI论文80余篇,并受邀为Nat. Energy等杂志撰写多篇相关领域研究简报或专题文章。
版权声明
测 试

