上一篇文章(详见《固定收益产品与利率衍生品的估值探讨》)我们讨论了利率动态模型及基于动态模型的利率衍生品的估值计算。利率动态模型在当前越来越受到重视,很大程度是因为国际衍生产品的监管开始推广计算基于模拟的对手方信用风险敞口和信用价值调整,这两个指标都是针对金融产品交易,特别是场外金融产品交易设置的,测量因对手方潜在违约造成的损失。本文将针对对手方信用风险的概念和计量方式进行简述,并举例介绍动态模型及模拟在此方面的应用。
所谓对手方信用风险,是指金融合约的对手方违约而不能完成预定合约支付的风险。这一风险通常体现在场外交易中,场内交易因为交易所可以通过保证金、逐日盯市等方式,保证承诺现金流的兑现而减轻或消除对手方信用风险。
对手方信用风险类似于其他形式的信用风险,都是由于对手方信用质量的变化所导致的,对手方信用风险的评估计量中最重要的两个方面——一是对对手方信用风险的敞口进行建模,二是为对手方信用风险通过信用价值调整来定价。
1.1 对手方信用风险概述
如对手方违约,风险敞口体现为当前合约的市场价值,而且只有当这一敞口大于0才会面临违约风险,因此,持有单一合约i的一方在违约时间t
面临的对手方信用风险敞口 Ei(t)
可以表示为:
其中Vi(t)是合约i在时间t的市场价值。
在计算对手方信用风险敞口的时候,可将持有的同一对手方的合约进行汇总,即计算汇总的敞口如下:
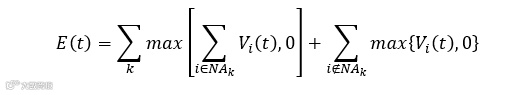
通常,在所有同一对手方的合约中有一部分是可以抵消的,即与对手方之间签署了抵消协议,当对手方违约时,允许使用对其的债权对其违约债务进行抵消。假设这些可以抵消的合约构成的集合为NAk,这样考虑抵消的对手方层面的汇总敞口可以计算为:

这里将与对手方k的所有合约划分为了两部分,第一部分是属于抵消集合的,这里的合约先抵消,再与0比较获得敞口,另一部分是不属于抵消集合,这里的合约先与0取最大值确定敞口,然后再汇总。
交易对手方信用风险敞口可以分为当前敞口(current exposure)与潜在敞口(AddOn exposure)两部分,其中当前敞口是指在当前发生违约所面临的以盯市价值计量的损失,即:
当前敞口通常不能构成对手方信用违约风险敞口的全部,因为违约事件是会在未来发生的,这使得对手方违约时机构所面临的敞口会根据标的风险因子的发生而随机变化。因此,潜在敞口(AddOn)就成为了对手方信用风险敞口管理的关键组成部分。
1.2 对手方信用风险的潜在敞口(AddOn)
与当前敞口不同,由于在未来各个时点交易的估值具有不确定性,因此潜在敞口构成了一个随机过程,其不同的分位点随违约时间可以有不同的表现方式,一般较为常用的是峰值敞口(PFE,potential future exposure)和平均敞口(EE, expected exposure),其中峰值敞口是在一定置信水平下可能达到的最大敞口,例如95%的峰值敞口表明只有5%的概率机构面临的敞口会超过该数值。根据巴塞尔协议,潜在风险敞口的计算公式可以表示为:
出于审慎原因,巴塞尔委员会对PFE中随超额抵押品增加而减少的部分使用乘数因子。当持有的抵押品的价值低于衍生工具合约的净价值时,此时重置成本为正,乘数为1,反之,重置成本为0,乘数小于1,计算公式如下:
在资产大类层面上计算总附加敞口的时候,通常需要确定每笔交易的主要风险因素,并将其归因于利率、外汇、信贷、股权或商品五类资产类别中的一种或多种,然后将该资产类别下的全部衍生交易工具按照不同抵消组合进行划分,并分别计算每个抵消组合的附加敞口。巴塞尔协议的一般模型中,利率类、汇率类和商品类资产在资产大类层面并不存在附加风险敞口互相冲抵的问题。但信用类和股权类资产则引入相关系数 ρ ,体现附加敞口的相关变化,使用下表所述公式分别计算:
1.3计算对手方信用风险敞口的因子附加法(AddOn方法)
使用因子附加法计算对手方信用风险敞口是一种直接估计附加敞口值的方法,这种方法首先对每一笔的衍生产品交易进行市值评估,在此基础上,再根据不同的风险驱动因子和期限,附加一定的风险敞口。按照参数估计方式的不同,因子附加法计算分为使用巴塞尔协议的方法或者内部模型法。
首先,巴塞尔协议对不同的风险驱动因素的交易敞口设定了经验性风险附加系数,不同剩余期限内各类衍生交易工具的系数如下表所示:
这里,远期、互换、期权或类似衍生品,都归于“其他商品”类。当单个衍生交易工具包含多个风险因素,取转换系数最高的值作为该衍生工具的系数。如一笔外币债券,包含利率和汇率风险因素,此时应选择转换系数较高的汇率转换系数来计算附加因子。
举例来说,假设某项风险因素为汇率的金融产品交易的名义金额为500万元,附加风险因子查表为1%,当前估值为40万元,因此风险敞口可以计算为40+500x1%=45万元。
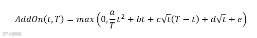
除了使用监管给出的系数外,机构还可以通过开发内部模型对附加因子进行估计,通常这类模型都是通过数据分析方法,拟合PFE敞口与时间关系的模式(Exposure Profile)来得到,通过分析常见的衍生品的敞口与时间关系的模式,可以用如下的多项式来进行参数拟合:
其中系数α,b,c,d,e是需要通过历史数据分析来计算的参数。根据不同的产品,它们可能有值或者为0,例如,对于回购这类合约,依赖于利率因子,通常它的敞口模式只与d√t相关,而对于互换,其敞口可能与α,b,c,d,e参数都有关,为一二次多项式。
另外,为了匹配使用蒙特卡洛模拟方法对当前敞口MtM的估计,可以对上述多项式拟合后的AddOn取值进行随机化,这样计算每个未来时点对应的每条模拟路径上,包含了随机化的附加敞口后的对手方信用风险敞口估值公式为:
2.1模拟建模的方法
通过蒙特卡洛模拟方法对对手方风险敞口进行计算是一种比较通用和一般的方式,它适用于各种产品类型的敞口计算。基本的方法是通过随机模拟产生风险驱动因子,计量这些风险情境下的风险敞口的大小。在此,我们介绍一个基于模拟方法计算潜在未来敞口PFE的基本框架。它事实上可以应用于不同的敞口分布,包括计算这些分布特征为基础的统计指标,如标准差,分位数等。
通过模拟方法计算对手方信用风险的框架可以划分为连续的三个组成部分(步骤):
上述过程计算的结果体现为每个模拟点上一组对手方级别的敞口实现值(每一个实现对应于一个市场情景),通常模拟时间点(time buckets)的选择会与机构持有的衍生品的事件日期相对应,从日度,到周度,月度,年度等等,而每个时间点上对应的情景模拟点通常选择几千个至上万个,这样的计算过程可以直观的如下图所示:
为了生成未来每个模拟日的风险因子的情景,我们需要这些情景的描述模型,针对不同的标的资产类型,常见的风险因子的描述模型如下表所示:
经过验证后的模型参数构造的动态模型可以通过随机化的方式来进行模拟,而模拟可以使用真实或风险中性的概率测度并匹配对应的计价单位资产,这通过灵活配置实现系统化。当然除了上述模型以外,其他的动态模型在这样的对手方信用风险敞口计算的框架下也很容易扩展。
对手方信用风险敞口计算的第二步是在每一个未来时间的风险情景中,对衍生产品进行估值。通常由于估值情景较多,产品比较复杂,倾向于使用快速的估值方法,例如基于解析解的近似估值或者是基于PDE的有限差分方法等。这样的估值方法可能与前台业务部门会有很大的不同。当然随着硬件以及算法的进步,基于模拟的估值通过现金流脚本和自动伴随微分(algorithmic adjoint differentiation,AAD)等手段实现在对手方信用风险测量体系下的估值应用。
除了计算效率以外,对手方信用风险敞口计算中估值的另一个难点来自于路径依赖性。因为模拟方法计算对手方信用风险针对的是未来日期,在这个日期合约的状态是不知道的,例如合约是否发生了敲入敲出,是否产生了额外的现金流等,因此需要对模型进行一些拓展调整,这方面比较常用的一种方法是“条件估值法”,由Lomibao和Zhu(2005)所提出。通常,在所有关于过去的信息已知的情况下我们知道如何为衍生品估值,即在模拟日期tk的盯市价值估计为(tk,{X(t)}t≤tk ),其中 X(t)是影响衍生品合约价值的市场风险因子。但是,在对手方风险测算时,处于未来时点tk,完整的价格因子在tk的路径信息是随机的。而“条件估值法”的思想非常简单,就是将与模拟情景相一致的所有过去价格因子的变动路径计算期望值,从而得到未来时点的估值。数学上可以将未来某个模拟日期衍生品的价值设置等于依赖于今天到模拟日期之间全部信息的盯市价值的数学期望,用公式可以表示为:
其中 xj是满足j≤k的模拟时点风险变量的实现值,对此首先进行条件估值,然后取均值得到无条件估值。Lomibao和Zhu(2005)证明了这些条件估值对于障碍期权,平均值期权或者是实物交割的互换期权可以得到解析解,而且这样的模型也是对于所有的合约统一模式的,适用于各种对冲抵消组合。
2.2 模拟建模举例1——权益标的香草衍生品
为了展示对手方信用风险敞口模拟方法的实际计算,我们在这里使用一个权益香草期权的例子。
首先,我们确定使用几何布朗运动来描述标的价格的运动过程,并且假设这是唯一需要考虑的风险因素,即生成模拟情景使用的模型为:
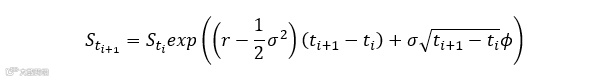
其中,r是常数无风险利率,我们设置它为5%,σ是常数标的价格波动率,设置为30%,在常数几何布朗运动的设置下,标的价格的模拟过程可以使用下面的递推公式得到:

其中ϕ是来自于标准正态分布的随机数抽样。
假设我们要计算敞口的产品是一项基于上述股票的香草看涨期权,期限为90个日历日,行权价为1.1,假设计算敞口当日的标的价格为1,可以通过Black-Scholes公式计算其估值日的公允价值为0.028。为了简单,我们假设合约生命期内的每一天都是模拟日期,并且没有股利的支付,在合约生命周期内的每一天计算敞口。
按照模拟的方法在每一个计算日生成5000个情景,并在每一个时间点对所有情境下的合约进行估值,可以得到期望敞口(EE),期望未来敞口(PFE)如下图所示:
再进一步,我们可以观察期望敞口的变化趋势,通过计算有效期望敞口(即历史回望的最大期望敞口)如下图所示:
为了展示利率类衍生品的对手方信用风险敞口的计算,我们继续使用上一篇文章中计算的利率互换,其固定端支付的利率为3.5%,根据之前计算的结果,浮动端和折现时利率的取值如下表所示:
与之前只在0时刻(当前估值日)对利率互换的估值不同,计算对手方信用风险敞口需要在未来每一个模拟时点,计算合约的估值,我们假设每半年为一个模拟计算点,计算的剩余合约的收益支付的贴现值如下表所示:
这里,收益支付的计算方法与上一篇文章介绍的方法相同,例如,针对模拟时点1,期限为3.5的贴现收益支付计算公式为:

根据估值利率取值的规则,根据现金流的期限3.5年,应当选择的浮动利率rfloating为f(1.5,3.5),取值为4.9420%,两项折现因子的计算分别根据下述公式取值计算:
将这些结果代入贴现收益支付的计算公式,可以得到:
通过将每个时点的剩余现金流的贴现收益支付进行汇总,可以得到每个未来模拟时间点上产品的盯市价值(如下表所示)。只有大于0的敞口才会使机构面临对手方信用风险,因此通过公式exposure=max(MtM,0)可以得到正敞口值如下表(本例中的这条路径中,所有的敞口取值均为正):
蒙特卡洛模拟方法会生成多条路径(HJM模式下为利率模拟矩阵),按照相同的方式根据利率互换收益支付模式计算情景估值,可以得到每个模拟点上的各情景对手方信用风险敞口的分布,对此分布取95%的分位数连接成线,则可以得到该利率互换的对手方信用风险敞口PFE如下所示:
传统的衍生品交易和估值通常是不考虑对手方信用风险的,通过资产定价基本定理,运用设置的模型和数值方法,可以得到所谓无风险的价值。当考虑对手方出现信用违约时,往往需要对衍生品的价值做出调整,这就引出了“信用价值调整“的概念。信用价值调整(CVA) 是对手方信用风险的定价,将这部分价值加到无风险定价的价值之上可以得到考虑了对手方违约风险后的价值。
对信用价值调整的计算是建立在对手方风险敞口基础之上的,假设根据前述的方法计算了在某个未来时刻t的对手方风险敞口为E(t),如果对手方违约,假设机构可以回收的比例为R,并且假设违约发生的时间为τ,这时可以将贴现的损失用公式描述为:
上式综合表达的含义是:预期的损失是对手方违约的条件下,不能被收回敞口的价值。
因为在预期信用损失中的价值是以对手方违约为条件的,所以,通过资产定价基本定理计算信用价值调整的时候应当考虑这一条件,也就是对手方违约的概率,这样CVA的计算可以使用下述公式表达:

这里的PD(s,t)是从时间s到t的风险中性的对手方违约的概率,这些概率可以通过信用违约互换(CDS)的报价中得到。
目前国内已有机构发布信用违约互换的报价,例如,中国外汇交易中心就在其官网上按日发布高等级CDS指数,民企CDS指数和长三角区域CDS指数,通过这些指数可以帮助估计违约概率,进而计算信用价值调整。
本文主要介绍了对手方风险的概念,特别就其敞口的计算方法进行了说明和举例,供大家参考和讨论。后续我们还将就如何提升估值引擎效率,以应对信用风险敞口和价值调整计算的思路进行介绍,包括利用现金流脚本进行估值中合约对冲合并,以及高效评估衍生产品价值变动(敏感性)的算法(AAD)等,还将就违约概率使用CDS报价进行估计的方法进行介绍,敬请期待。
【参考文献】
1. 《风险管理与巴塞尔协议十八讲》,杨军,中国金融出版社
2. Michael Pykhtin andSteven Zhu, 2007, A Guide to Modeling Counterparty Credit Risk, GlobalAssociation of Risk Professionals
往期内容推荐:

