编者按:为深入学习贯彻党的二十大精神,提升衍生品服务实体经济能力,中国证券业协会和清华大学五道口金融学院联合开展了“衍生品服务实体经济发展”征文活动,经组织专家评分选出15篇优秀征文。中证报价投资者教育基地将于近期陆续转载该系列优秀征文,分享证券行业衍生品业务发展经验和研究成果,服务实体经济高质量发展。本文为系列文章第二篇。
作者:徐夏,北京大学无线电物理专业博士,西南证券股份有限公司金融创新部风控总监。
为标准化和精细化管理证券公司的风险,中国证监会于2016年发布了修订后的《证券公司风险控制指标管理办法》(以下简称《管理办法》),建立了以净资本和流动性为核心的风险控制指标体系,主要包括四个风控指标:风险覆盖率、资本杠杆率、流动性覆盖率、净稳定资金率。其中风险覆盖率关注净资本对经营业务可能造成的意外损失的覆盖程度;资本杠杆率关注净资本撬动的资产总额,代表了总杠杆程度;流动性覆盖率关注短期内现金流偿付能力;净稳定资金率关注长期资本撬动的长期资产,代表了长期的现金偿付能力。
《管理办法》中关注的这四个指标,和巴塞尔协议III中的Risk-based capital requirements、Leverage ratio、Liquidity Coverage Ratio、Net stable funding ratio相对应,要求对信用风险、市场风险和操作风险进行计量并计提资本准备。原银监会于2012年发布的《商业银行资本管理办法(试行)》(以下简称《银行管理办法》)中,对商业银行的风险资本准备明确了计算方法。类似地,《管理办法》中也定义了一套证券公司在计算风险资本准备时应采用的方法。
近年来,随着《期货和衍生品法》和各种监管办法、自律规则的落地,国内证券公司开展的场外衍生品业务规模逐步扩大,场外期权业务蓬勃发展。2022年,场外期权累计新增名义本金3.35万亿元,同比下降7.71%;期末存量名义本金1.19万亿元,同比上升20.28%。证券公司开展的场外期权业务,通常以收益凭证或者期权的形式,将产品卖给合格投资者,并对大部分风险敞口进行动态对冲(如市场的beta风险);但如果某些敞口留有足够安全边际,或缺乏可对冲的工具,证券公司将主动或被动地承担这部分敞口的风险(如波动率风险、ATMF Skew风险等)。规模庞大的场外衍生品存量,给证券公司以及监管机构对风险敞口的计量和管理提出了更高的要求。
本文主要关注证券公司在开展场外期权业务时,在《管理办法》的框架下,如何更合理计算市场风险资本准备,为行业准确、高效计量和管理市场风险抛砖引玉。通过将对冲策略纳入计算框架,鼓励证券公司有效对冲风险敞口,将业务资源更多地投入非方向型业务,推动高质量发展,增强服务实体经济的能力。
(一)市场风险资本准备
在正常市场环境下,证券公司面临的预期损失,通过在报表上计提拨备或减值准备来计量;在压力市场情景下,证券公司可能面临预期之外的损失,需使用资本来抵御风险。风险覆盖率不低于100%的要求,保证了在压力环境下,证券公司的核心净资本能够承受意外损失。因此,市场风险资本准备的逻辑和在险价值(Value at Risk,以下简称VaR)非常类似。
在《管理办法》规定的市场风险资本准备计算中(以下简称“标准法”),场外期权业务及其对冲资产的风险准备,是按照其资产类别分别计入的。以“股指期货+场内期权”对冲场外期权头寸为例,标准法假设压力情景下各头寸不变,压力情景为:
2.卖出的场内期权按照Delta Cash转换为标的资产(目前权益类场内期权挂钩标的基本为股指或其ETF),并假设股指向不利方向变动15%。
4.卖出的场外期权为标的上下波动20%范围内最大损失的5倍(且不低于名义本金的0.5%)。
市场风险资本准备为上述1-4加总后的5%(假设满足《管理办法》中已对冲风险的要求)。这里面可能存在的问题包括:
1.场外期权业务是一项资产负债敞口动态匹配、头寸实时变化的业务。在卖出场外期权后,证券公司会通过买卖标的或标的高相关性资产(如场内期权)进行动态对冲。因此,场外期权可以是不变的头寸,但场内资产(从业务逻辑和实际操作上)是随时变动的。
2.场外期权的买卖方向和权利义务无对应关系。与场内期权不同,场外期权的结构较复杂,买卖方向和权利、义务没有不变的对应关系。例如,卖出非保本自动赎回结构期权,实质是买入了双障碍看跌期权;买入Risky期权,实质是买入看涨期权并卖出看跌期权。因此,标准法中将场外期权区分买、卖,并模仿场内期权进行风险计量,可能导致敞口计算结果与实际不符。
3.场外期权的权利金交易方式非常灵活,后端年化期权费或预付金等权利金形式已非常普遍。以带障碍期权和预付金形式为例,名义上该期权权利金为零,预付金收取方以预付金在期权实际存续时间内实现的收益(一般预估为固定的年化收益)作为权利金。业务中通常将其簿记为期权结构并进行对冲,期初场外期权权利金无法按传统计量。
导致上述问题的核心原因是因为完全对冲的衍生品头寸是一个动态变化的、包含资产和负债的投资组合,不应在压力测试时按照不变头寸的逻辑,仅计量当前时刻对市场beta的静态风险敞口。
(二)一个简单案例下标准法和VaR法的对比
期权的动态对冲实质是用流动性较好的场内资产,去对冲掉流动性较差的场外资产的某些风险因子,并保留部分剩余敞口。我们可以分析剩余敞口对应的风险因子,并对每一类风险因子进行类似于VaR中的压力情景分析,从而计算针对该敞口应计提的市场风险资本准备。该内部模型我们暂称为VaR法。
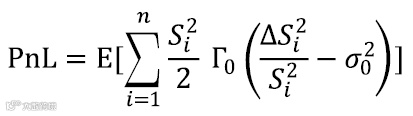
以一个简单案例来说明:我们买卖Delta数量的标的,来对冲挂钩该标的的场外期权头寸。在Black-Scholes模型下,假设估值和对冲所用波动率σ0保持不变,无风险利率等于零,则对冲后总盈亏等于:
即产品剩余生命周期内,标的的实现方差偏离定价和对冲所用的方差的加权期望之和,权重为Gamma Cash。因此此方案的风险因子为未来的实现波动率(Realized Volatility)。
以一个具体例子来计算:假设卖出一份挂钩中证500指数的半年期香草看跌期权,从2022年1月4日起始至6月30日到期,并用中证500ETF进行对冲,每日日终Delta为零。此组合的Gamma为负,因此压力情景为实现波动率显著高于σ0。我们分别选取σ0=10%、20%、30%,对应较低、中和高的定价安全边际,并将压力情景下的波动率定为31.24%(过去3年中证500指数120日close-to-close最高波动率)。每日计算不同σ0下标准法和VaR法的市场风险资本准备,其结果如图1所示。可以看到:
图1:标准法和VaR法下的市场风险资本准备

1.标准法对定价波动率σ0不敏感。当σ0较低时,卖方更有可能面临亏损,应计提较大的准备;当σ0较高时,卖方报价有较大的安全边际,计提的风险准备应较低。图1中标准法低估了低σ0时的投资组合风险,在高σ0时风险资本准备大幅高于VaR法结果,计算结果与交易实质不符。
2.在期权的存续期内,标准法的结果几乎不随时间改变。特别是在到期日附近,期权已经深度实值,投资组合几乎无市场风险,但标准法仍要求计提准备,占用大量净资本。
可见标准法将投资组合中的资产与负债视为割裂的、静态的头寸,其计算结果无法反映动态对冲下投资组合实质上所暴露的风险。作为对比,《银行管理办法》中的标准法要求卖出期权的商业银行使用Delta-plus方法:由投资组合的Delta、Gamma和Vega的风险资本准备相加。尽管该方法是基于当前时刻的希腊字母值,和VaR法仍有区别,不适用于Greek复杂的场外期权,但已简化地考虑了波动率等敞口带来的影响。
因此VaR法的结果更贴近交易中实质的市场风险和投资组合潜在的意外损失。这部分损失代表了非正常市场环境下的风险敞口,应由资本来抵御。
(三)实际业务中的复杂敞口和多样化对冲工具
在实际业务开展中,证券公司卖出的期权可能具有非常复杂的敞口,并随着标的价格等市场状态变量不断改变正负号,因此其风险因子不再是上例中单一的实现波动率;同时,丰富的对冲工具也可实现敞口的转换和拆分,比如交易场内期权对冲奇异期权的风险敞口,可将实现波动率风险转换为波动率曲面偏度等风险;引入股指期货对冲,可将风险敞口分拆成实现波动率敞口和基差敞口。
在计算市场风险资本准备时,我们应使用一个尽量简单的模型提取风险因子、计算风险敞口,然后使用有足够代表性的压力情景来计量风险资本准备。因此建议以下步骤:
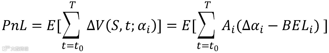
1.根据对冲策略,对场外期权及其对冲资产的整体投资组合建立一个估值模型V(S,t;αi)。不同的模型包含了不同的风险因子αi,比如实现波动率、局域波动率、ATMF skew、volatility of volatility以及上述因子的高阶项及相互间的相关性等。
其中BELi为因子αi的break-even level,Ai为其敞口。场外期权一般是奇异结构,因此这一步可能涉及大量数值模拟。
3.根据每条路径上每个时点Ai的正负,取Δαi的适当压力情景;然后根据该模型下各条路径的概率,将每条路径的PnL加权加总,得到预期PnL。
比如我们对一个奇异期权投资组合采用局域波动率模型和Delta对冲,暴露的风险因子为各个(S,t)处实现波动率。在该模型下,计算每个(S,t)处Gamma Cash,根据其正负号,在该点取压力情景的波动率上限或下限,加总得到压力情景下的预期PnL;或者直接生成该压力情景下的波动率曲面并对整个组合进行定价。该方案可能超额计提风险资本准备,因在设计压力情景时忽略了因子之间的相关性,可进一步精细化。
重要的是,该方案将动态对冲组合整体纳入了风险计量,将市场风险资本准备和业务真正暴露的敞口联系起来。模型可以是一个不断精细化和多样化的改进过程,在精细化模型未成型前,我们可以用虽然粗糙、占用资本更多但也更安全的模型作为过渡。
本文针对场外期权业务的市场风险资本准备的计算方法,讨论了《管理办法》中标准法的不足,提出了VaR法方案,将场外期权业务的资产和负债视为动态变化的整体投资组合,在对冲策略下分拆出各个风险因子,在压力情景下计量头寸对各个因子的敞口,并将预期损失计入市场风险资本准备。通过一个简单的案例对比,该方案可得到更合理的风险资本准备计算结果。实务中使用的具体模型取决于头寸中风险敞口的特征和对冲策略所能拆分的风险因子,最终可实现市场风险的精细化管理。
在2008年金融危机之后,在新的Basel协议III等框架下,国际上在不断推进场外衍生品“标准化”,这有利于更明确地定义其市场风险特征。随着对冲工具的丰富、市场数据的完善,更多风险因子有望独立进行定价和交易。尽管传统上较难把路径依赖的动态对冲纳入压力情景分析,但对冲的作用是将方向性的敞口转换为各高阶的敞口,因此理论上可直接对高阶敞口进行模拟,并计入市场风险资本准备。
目前我国场外衍生品市场还处于发展初期,规模迅猛发展,但各证券公司的风险敞口有同质化倾向,这为风险的有效计量和管理带来了迫切的需求。尽管目前监管机构并未明确出台内部模型法的操作流程和规范,行业可和监管机构共同努力,从主要产品类型的大类风险因子起步,定义复杂衍生品结构的风险因子和敞口,逐步细化拆分方法,确立压力情景的原则,实现“看得清,讲得明”,才能“管得住、走得远”,为未来场外衍生品业务的规范化发展打好基础。
http://www.csrc.gov.cn/csrc/c106256/c1653957/content.shtml.
https://www.bis.org/bcbs/basel3.htm.
http://www.gov.cn/gongbao/content/2012/content_2245522.htm.
