*本文内容选自《场外衍生品知识读本》第四章《场外期权》。
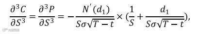
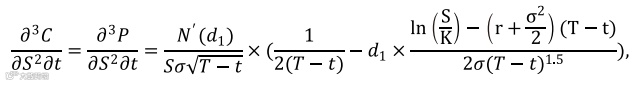
Speed,Color和Zomma分别用来描述Gamma对于标的价格、时间推移和波动率变化的敏感度。香草期权的Speed公式为:


对看涨香草期权而言,Gamma在平值、深度实值和深度虚值时对于标的价格变动最不敏感,此时Speed值接近于0。此外,如果剩余到期时间减少或者波动率降低,会导致Speed的上升;反之会导致Speed的下降。
而Color和Zomma具有相似的性质。对于看涨香草期权,剩余到期时间减少或波动率下降会使得Color值、Zomma值增加,而Color和Zomma的增加又会导致期权对于时间推移、波动率变动更加敏感。
在实际的场外期权交易中。虽然Gamma是一个不会被完全对冲掉的风险,但对于Color、Zomma的监控也具有实际意义。这是因为在低波动率的市场环境下,到期时间短的平值看涨香草期权具有较大的Color和Zomma值,同时也具有较大的Gamma值,此时的看涨香草期权具有较大的风险。如果不监控Color和Zomma,就难以对相应的风险进行准确评估。
图1 看涨香草期权随到期时间变化期权Speed分布

图2 看涨香草期权随到期时间变化期权Color分布

图3 看涨香草期权随到期时间变化期权Zomma分布

【免责声明】本文信息仅用于投资者教育之目的,不构成对投资者的任何投资建议,投资者不应当以该等信息取代其独立判断或仅根据该等信息作出决策。本文信息力求准确可靠,但对这些信息的准确性或完整性不作保证,亦不对因使用该等信息而引发或可能引发的损失承担任何责任。