编者按:场外期权作为资本市场中的重要金融工具,为诸多市场主体与投资者提供了灵活的风险管理和收益增强手段,也正是因为其灵活性与复杂性,导致大众缺乏对场外期权的基础认知。中证报价投教基地推出“场外期权基础知识”专栏,邀请交易商深入浅出地介绍场外期权的基本概念、风险管理和定价机制,希望能够帮助大家更加全面地了解这一复杂而高效的金融工具。
作者:东方财富证券证券投资总部
在期权的语境下,所谓的波动率模型往往需要和期权价格的变动结合起来,因此还是沿着隐含波动率的思路,只不过相较于BS模型放松了更多假设。接下来介绍的局部波动率模型和随机波动率模型(SVI,SABR,Heston),就是这类模型中比较常见和常用的几种。

▍局部波动率模型[1]
为了更加准确地刻画波动率的这种特征,一个自然的想法是假设波动率是价格和时间的确定性函数,即随着时间推移和价格变化,波动率大小也会改变。而且这里的波动率只是代表了某个时刻、某个价格下的瞬时波动状态,从理论上来说和其他时刻、其他价格没有关系,所以它是“局部”的。
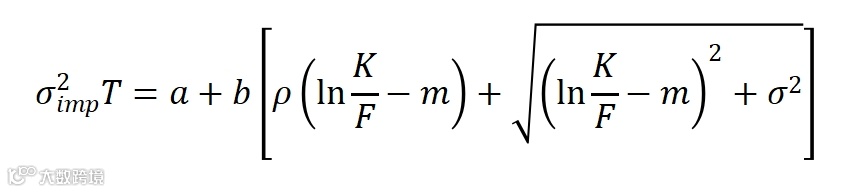
▍SVI模型[2]

是隐含波动率,T 是到期时间,K 是执行价格,F 是标的的远期价格,而其他的参数连带整个模型形式都没有任何直接的经济含义,它们对曲线形态的影响如下表所示。
从模型的介绍中可以看得出SVI的思路:它根本不关心BS的假设,也不关心随机分析的结果,只关心期权的隐含波动率能不能用一个数学公式拟合出来。SVI虽然过程简单粗暴,但由于计算便捷,输出直观,在期权交易中运用广泛。
建模思想虽然不复杂,但是模型的求解还是比较困难的。目前SABR模型可以得到隐含波动率的近似解,而Heston模型则只能得到关于香草期权价格的半显示解。尽管如此,比起BS模型以及前述两种波动率模型,SABR和Heston模型对现实世界的刻画更加细节,因此也被广泛使用。

【免责声明】本文信息仅用于投资者教育之目的,不构成对投资者的任何投资建议,投资者不应当以该等信息取代其独立判断或仅根据该等信息作出决策。本文信息力求准确可靠,但对这些信息的准确性或完整性不作保证,亦不对因使用该等信息而引发或可能引发的损失承担任何责任。

