
对于生产、贮运部门来说,物料一般沿通道流动,而设备一般也是沿通道两侧布置的,通道的型式决定了物流、人员的流动模式。选择车间内部流动模式的一个重要因素是车间入口和出口的位置。常常用于外部运输条件或原有布置的限制,需要按照给定的入、出口位置来规划流动模式。此外,流动模式还受生产工艺流程、生产线长度、场地、建筑物外形、物料搬运方式与设备、贮存要求等方面的影响。
进行流水线的平面布置设计时,应遵循这样一些原则:有利于工人操作方便;在制品运输路线最短;有利于流水线之间的自然衔接;有利于生产面积的充分利用。这些原则同流水线的形状、流水线内工作地的排列方法、流水线的位置以及他们之间的衔接形式有密切关系。
基本的流水线形状一般有:直线形、L形、U形、环形、S形等。
U形:适用于入口与出口在建筑物同一侧面的情况,生产线长度基本上相当于建筑物长度的两倍,一般建筑物为两跨,外形近似于正方形。
L形:适用于现有设施或建筑物不允许直线流动的情况,设备布置与直线形相似,入口与出口分别处于建筑物两相邻侧面。
环形:适用于要求物料返回到起点的情况。
S形:在一固定面积上,可以安排较长的生产线。
一、直线形布置的特点及适用范围
直线型布置具有以下特点:
1)便于物料搬运
2)便于信息流的畅通无阻
3)生产线为一条线,产品从原材料到成品可以实现一个流,避免了不必要的搬运
4)管理相对简单
5)生产线柔性差,产品设计的局部改动将引起生产线的重大调整
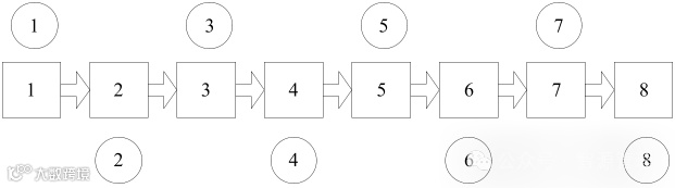
直线形布置的适用范围:直线形是最简单的一种流动模式,入口与出口位置相对,建筑物只有一跨,外形为长方形,设备沿通道两侧布置。直线型生产线布置是最常见的一种生产线布置方式,又分为单列直线型和双列直线型。单列直线型流水线,多在工序数少、毎道工序的工作地也少的条件下采用。当工序与工作地的数量较多而空间的长度不够大时,可采用双列直线排列。
如图2-1、图2-2所示(圆形为人员配置,方形为设备布置)。

图2-1 单列直线型生产线

图2-2 双列直线型生产线
二、U型布置的特点及适用范围
U型布置具有以下特点:
1)从一端进入,经过所有工位,从另一端流出,清晰明了
2)物流人员负责物料的补给,工位物料由后方补给,同时将空料盒带走,在U型线的出口处,取走完成的产品
3)布局灵活,随时根据需要调整
4)生产安排灵活,可根据产量情况,安排一人或多人操作
5)现场物料受控,在制品受控
6)在U型线中,入口及出口通常由同一个作业人员来担任,这样安排,可以控制标准数量
U型生产线布置的适用范围:U型生产线布置是柔性生产和精益生产中经常采用的一种生产线布置方式,适合精益物流系统。
如图2-3所示。

- END -
---------鼎深企业咨询专注精益生产管理咨询辅导与培训---------
服务热线:15058225755(微信)
版权申明:智源管理学院尊重版权并感谢每一位作者的辛苦付出与创作;如文章视频、图片等涉及版权请第一时间联系,我们根据提供的证明材料确认版权并立即删除!


