
第二十二届中国国际科学仪器
及实验室装备展览会
CISILE 2025
与您相约2025年
CISILE2025!再见!
高校重视基础研究,不断加强创新平台体系建设,牵头建设了60%以上的学科类国家重点实验室、30%的国家工程(技术)研究中心。此外,全国高校牵头建设了一批国家重大科技基础设施、高等级生物安全实验室和国家野外科学观测台站等支撑类重大平台,初步形成了层次清晰、布局合理、支撑有效的科研平台体系。目前,高校已成为重要的创新基地。
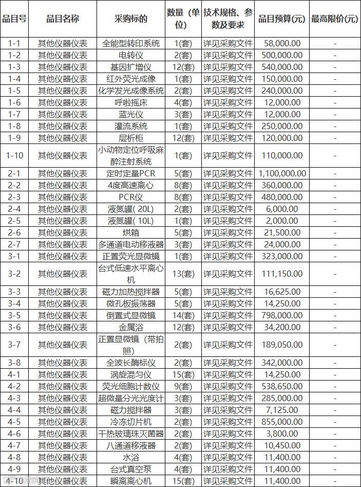
近日,哈尔滨医科大学就“伍连德生物医学创新研究院基因表达调控研究平台配套仪器采购”项目发布公开招标公告,预算金额为756.225万元。该项目的潜在投标人应在公告期内凭用户名和密码,登录黑龙江省政府采购管理平台,选择“交易执行-应标-项目投标”,在“未参与项目”列表中选择需要参与的项目,确认参与后即可获取招标文件,并于 2024年08月20日 09时00分 (北京时间)前递交投标文件。

项目基本情况
项目编号:[230001]LTGC-[GK]20240004
项目名称:伍连德生物医学创新研究院基因表达调控研究平台配套仪器采购
采购方式:公开招标
预算金额:7,562,250.00元

本合同包不接受联合体投标
合同履行期限:自合同签订之日起30个日历日

申请人的资格要求
1.满足《中华人民共和国政府采购法》第二十二条规定;
2.落实政府采购政策需满足的资格要求:无。
3.本项目的特定资格要求:无

获取招标文件
时间:2024年07月29日 至 2024年08月05日 ,每天上午 08:00:00 至 12:00:00 ,下午 12:00:00 至 16:00:00 (北京时间,法定节假日除外)
地点:公告期内凭用户名和密码,登录黑龙江省政府采购管理平台,选择“交易执行-应标-项目投标”,在“未参与项目”列表中选择需要参与的项目,确认参与后即可
方式:在线获取
售价:免费获取

提交投标文件截止时间、开标时间和地点
时间:2024年08月20日 09时00分00秒 (北京时间)
地点:黑龙江省政府采购管理平台

联系人及方式

1.采购代理机构
采购代理机构名称:黑龙江省蓝图工程项目管理有限公司地址:黑龙江省哈尔滨市道里区群力第四大道1479号B3栋C单元23层1号
联系人:黑龙江省蓝图工程项目管理有限公司
联系电话:0451-51060768

2.采购人信息
采购单位名称:哈尔滨医科大学
地址:黑龙江省哈尔滨市南岗区保健路157号
联系人:郭老师
联系电话:0451-86623280
来源:化工仪器网

2024年5月31日,备受瞩目的科学仪器及实验室装备领域盛会——第二十一届中国国际科学仪器及实验室装备展览会(CISILE 2024)在中国国际展览中心(顺义馆)圆满收官。

END
CISILE2025中国科仪展
扫一扫下方二维码
关注微信公众号

2025年
不见不散
www.cisile.com.cn
内容低质
不看此公众
不看此公众

