The group of Prof. ZHANG Weijun at Anhui Institute of Optics and Fine Mechanics (AIOFM), Hefei Institutes of Physical Science, has made a new progress in the dissociation dynamics of state-selected O2+ ions.
And their work was published in The Journal of Chemical Physics.
The oxygen molecule and ion as textbook molecular systems provide the basis for the quantitative understanding of molecular structure and reactivity, and are usually utilized to test new theories and methods.
They are of great interest in a wide range of fields from atmospheric chemistry to planetary science and to plasma physics, and have been the subject of numerous experimental and theoretical investigations.
More concretely, the inner-valence photoionization of O2 is interesting and complex due to its open-shell electronic configuration and can result in dissociative photoionization leading to fragments with different kinetic and internal energies.
In particular, for the superimposed states commonly existing in the excited electronic states, it is still a challenge for both experimental and theoretical scientists to accurately probe or predict their dissociation dynamics.
Dr. TANG Xiaofeng, one staff of ZHANG’s group, in cooperation with the French third generation synchrotron facility, Synchrotron SOLEIL, has recently investigated the dissociation of state-selected O2+ ions in detail by using vacuum ultraviolet (VUV) synchrotron radiation coupled to a double imaging photoelectron photoion coincidence (i2PEPICO) spectrometer.
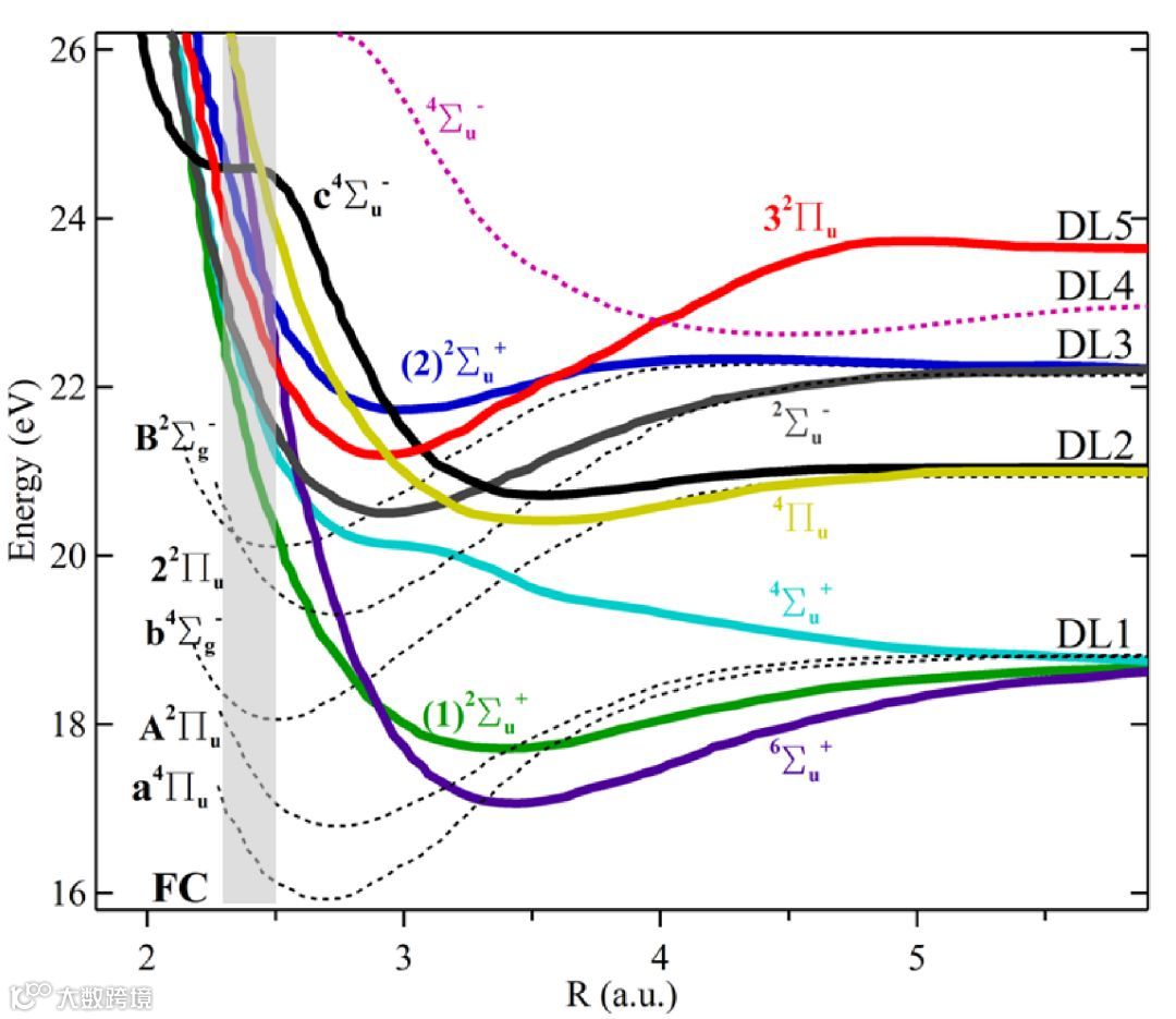
The superimposed 32Pu and c4Σu- inner-valence states of O2+ ions have been prepared and their individual dissociation mechanisms have been successfully separated and analyzed, taking advantages of the ability of i2PEPICO.
Up to six dissociation limits can be populated in the present energy range and among them four dissociation limits have been definitely identified, including the third dissociation limit with a very weak intensity confirmed for the first time.
Based on the present experimental results and the existing theoretical potential energy curves, the detailed dissociation mechanisms of the 32Pu and c4Σu- inner-valence states including pre-dissociation and tunneling motion are clearly proposed.
This work was supported by the National Natural Science Foundation of China (21773249 and 91644109), International Partnership Program of Chinese Academy of Sciences (116134KYSB20170048), the National Key Research and Development Program of China (2016YFC0200300), and the Natural Science Foundation of Anhui Province (1608085MB35).
Link to the paper: New insights onto dissociation of state-selected O2+ ions investigated by double imaging photoelectron photoion coincidence: The superimposed 32Pu and c4Σu- inner-valence states

Fig. 1 (a) Photoelectron spectrum of O2 recorded at hν = 25.40 eV and (b) electron/ion kinetic energy correlation diagram of the O+ fragment ions dissociated from O2+ ions, together with the dissociation limits of O2+ ions (DL1~DL6) marked with dashed lines. (Imaged by TANG Xiaofeng)

Fig. 2. Dissociation limits (DL1~DL5) and potential energy curves of electronic states of O2+ ions involved in the dissociation. (Imaged by TANG Xiaofeng)
Author: TANG Xiaofeng
开拓创新
精益求精

长按二维码扫描关注我们

