多角度观测模式下气溶胶及风速参数的信号自由度随观测角度的变化情况
近期,中国科学院安光所光学遥感中心遥感信息表征团队在多角度偏振载荷数据应用于海洋气溶胶特性反演研究中取得进展。相关研究成果以《利用近红外和短波红外多角度偏振观测进行海洋气溶胶特性遥感:信息量分析》为题发表在国际知名光学期刊Optics Express上。
气溶胶是气候辐射强迫量化中最不确定的因素之一,而偏振观测则有助于表征气溶胶的微物理特性。深入了解不同偏振观测仪器设计在气溶胶参数中的反演能力,对于提升星载气溶胶观测水平具有重要意义。
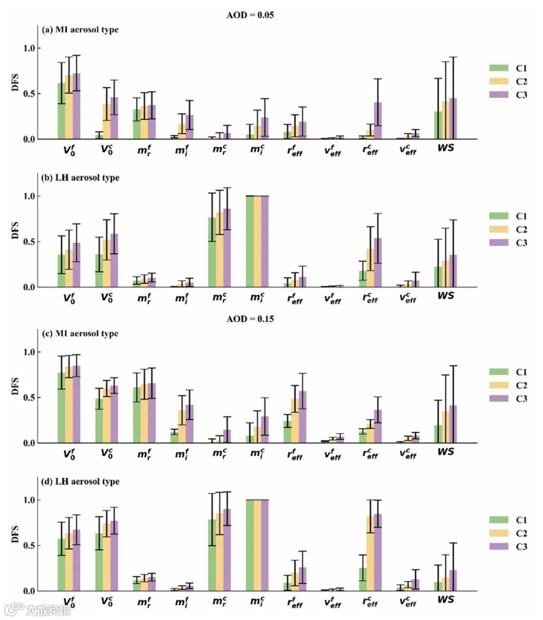
为此,研究团队系统分析了光谱范围、光谱波段、观测角度数量以及偏振精度等因素对海洋气溶胶反演的影响。研究采用贝叶斯最优估计理论结合矢量大气辐射传输模型,并以信号自由度作为指标,对不同仪器配置进行对比评估。研究结果显示,在单角度观测模式下引入短波红外波段的强度与偏振观测,可使气溶胶总信号自由度提升至少1.02,相当于能够额外反演出1-2个气溶胶参数。在多视角实验中,增加观测角度显著提升了粗、细模态粒子的体积浓度、有效半径和复折射指数的反演精度。进一步引入多角度短波红外观测后,总信号自由度可再提升约1.1-3.3。研究还发现,偏振测量的精度对气溶胶反演的不确定性具有显著影响。本研究成果为未来偏振遥感仪器的设计及气溶胶反演算法的发展提供了重要参考。
博士研究生韦祎晨为论文第一作者,孙晓兵研究员为论文通讯作者。
单角度观测模式下气溶胶及风速参数的信号自由度平均值与标准差

