搜索
首页
大数快讯
大数活动
服务超市
文章专题
出海平台
流量密码
出海蓝图
产业赛道
物流仓储
跨境支付
选品策略
实操手册
报告
跨企查
百科
导航
知识体系
工具箱
更多
找货源
跨境招聘
DeepSeek
首页
>
数十亿美元重磅交易——CDK2近期专利盘点(一)
>
0
0
数十亿美元重磅交易——CDK2近期专利盘点(一)
医药魔方Info
2024-04-05
2
导读:医药魔方
「目录」
一、CDK2抑制
剂开发背景
二、CDK2近期热点与竞争格局
三、临床阶段药物
专利
分析
四、近期其他CDK2抑制剂专利
五、后话
一、CDK2抑制剂开发背景
尽管CDK4和CDK6抑制剂在临床上取得了成功,但随着
时间
的推移,患者对这些抑制剂的原发性和获得性耐药确实会增加,并限制了这些抑制剂的功效。CDK2活性升高被认为是对CDK4和CDK6抑制剂(
CDK4/
6i
)产生耐药性的主要机制之一。此外,CCNE1的扩增与卵巢癌的不良存活率和潜在治疗靶标相关;CCNE2过表达与乳腺癌细胞的内分泌抵抗相关,也是导致CDK2活性增加与CDK4/6i耐药的主要原因。
CDK2是细胞从G1晚期过渡到S和G2期的重要驱动因素,但对正常细胞增殖影响较小。选择性CDK2抑制剂可以最大限度地减少临床毒性,同时积极治疗CCNE1扩增肿瘤和CDK4/6i耐药乳腺癌。
二、CDK2近期热点与竞争格局
在过去的2023年中,CDK2可谓是最热门的靶点之一。
首先是2023-5-26,Pfizer在ASCO上公开了其选择性CDK2抑制剂tagtociclib在晚期实体瘤和HR+/HER2- 乳腺癌患者中的初步积极临床结果:在先前接受过 CDK4/6i 治疗后病情进展的HR+/HER2- mBC患者中,经大量治疗后显示出抗肿瘤活性。
接着是2023-6-1,Bayer收购了Cedilla Therapeutics的CDK2抑制剂管线,获得了该公司Cyc
linE
1/CDK2 复合物抑制剂的开发和商业化的全部权利。
随后是2023-11-21,百济神州引进了Ensem Therapeutics的ETX-197(临床前)的全球独家许可,总交易额13.3亿美元。
最新的交易是2024-1-4,Avenzo Therapeutics引进了国内安锐生物的“潜在BIC”的CDK2抑制剂ARTS-021与另一个临床前项目的独家选择权,首付款4000万美元,总交易额超10亿美元。
从全球管线上看,目前共有1款CDK2抑制剂处于Phase II(Pfizer),4款药物处于Phase I/II,以及3款处于Phase I。除小分子抑制剂外,分子胶明星公司Monte Rosa与Plexium也在布局CDK2分子胶,另有公司在布局CDK2 PROTAC。
本文先介绍抑制剂,后续再介绍分子胶与PROTAC。
二、
临床阶段药物专利分析
1. Pfizer
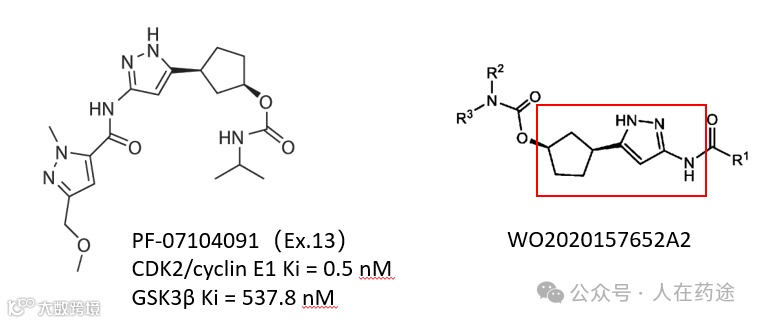
Pfizer的专利可分析的不多,化合物专利仅一篇,即WO2020157652A2(专利中做了选择性:GSK3β抑制可能与胃肠道毒性有关,这已在一些CDK抑制剂中观察到)。从马库什上看,也是发挥了大善人本质,核心母核拱手让人,给了me too药物可乘之机。
较为关键的是专利WO2021205363A1。专利中做了机制论证:由于存在代偿机制,许多CDK在正常机体内可有可无。CDK1 是哺乳动物细胞中唯一必需的CDK,并且可以驱动 CDK2、CDK4 和 CDK6 底物的补偿性磷酸化。CDK2 的抑制会导致多种不同 CDK2 底物的磷酸化立即丧失。然而,补偿性底物磷酸化在 1-2 小时内迅速开始,这是细胞自适应的显着表现。令人惊讶的是,CDK2和CDK1的共同抑制不会阻断代偿性磷酸化,而CDK2和 CDK4/6的共同抑制则消除了代偿性磷酸化。表明了细胞可能通过CDK4/6的补偿性激活来快速适应 CDK2 活性的丧失,构成了CDK2抑制剂与CDK4/6抑制剂联用的理论基础。这也是PF-07104091的Phase II试验设计上均选择了与CDK4i或CDK4/6i联用的原因。
这一机制也从2023年的文献(Rapid adaptation to CDK2 inhibition exposes intrinsic cell-cycle plasticity. Cell. 2023 Jun 8;186(12):2628-2643.e21. )中得到了证实,两者结论一致。
因此,Pfizer同时也在积极布局CDK2/4/6i,目前处于Phase II。
2. Incyte
Incyte对CDK2抑制剂的研究源自Pfizer的CDK2/4/6抑制剂ebvaciclib,ebvaciclib关键基团改变相较于palbociclib对CDK2抑制活性显著提升。故Incyte的CDK2抑制剂均是在ebvaciclib基础上的优化改造。机制研究与Pfizer相近,故不阐述。
8篇化合物专利浓缩成一张图,可以发现Incyte基本上保持了CDK2抑制关键集团磺酰基结构不变,在母核上做出诸多探索。
具体SAR分析,可以从Incyte发表的两篇文章中知晓一二。两篇文章化合物分别来自WO2020205560A1与WO2021030537A1。
至于Incyte的临床化合物INCB0123667,很可能是WO2021072232A1中的Ex.12,晶型专利WO2023172921A1可作为佐证。
3. Blu
epr
int Medicines
Blueprint共有4篇专利,可以很明显看到第一篇专利化合物设计上参考了Incyte,第二篇专利似乎是基于此的生物电子等排。而第三第四篇专利化合物设计上参考了PF-07104091。
在近期的ACS Spring上,Blueprint公开了气临床管线BLU-222的具体结构,即WO2023278326A1中的Ex.2。该分子具有其他激酶高选择性(带有二氟甲氧基基团的吡唑环能与gatekeeper相互作用),同时对CDK2的选择性比对CDK1高出90倍。
此外,早前ASCO2023上也公开了BLU-222的I期临床初步结果,表现出良好的耐受性与患者的预后改善,并与PF-07104091做出对比申明该药有望成为FIC & BIC。
同时Blueprint也在
报告
中给出了下一代CDK2抑制剂BLU-956以及CDK2降解剂的规划。
4. AstraZeneca
AstraZeneca最新的CDK2抑制剂专利公开日是2007年,还没有结构式与活性数据!同时其系列同族专利法律状态均非授权状态。故此列个代表性结构与专利列表。
不过AACR2024上公开了AZD8421的临床前数据,AZD8421针对CDK2的 IC50为9nM,并且对CDK1、CDK4和CDK6具有选择性。AZD8421在 CCNE1扩增卵巢模型OVCAR3中显示出强大的单药治疗活性,单药治疗和与哌博西尼联合治疗均出现消退。在CCNE1水平升高的卵巢PDX模型中也观察到了单药治疗活性以及与标准护理药物联合体内的益处。
5. Incyclix Bio
Incyclix创始人出身于G1 Therapeutics,其CDK2抑制剂专利也来自于此。从官网信息可知,2020年5月,Incyclix Bio获得了涵盖G1 Therapeutics 临床前CDK2抑制剂项目的知识产权的独家许可。
专利WO2021236650A1从马库什也可以看出其化合物设计参考了Incyte的母核结构。而其临床管线INX-315结构(下图),也从医药用途专利WO2023249974A2与最近发表的文章中(
Cancer Discov (2024) 14 (3): 446–467.
)可以知晓。
从其临床前数据中也可以发现,INX-315表现出高选择性,克服CDK4/6i耐药、以及在CCNE1扩增PDX模型中表现出显著的单药体内疗效
。
6. Nikang Therapeutics
NiKang的3篇专利也是参考了ebvaciclib,在此基础上做一系列改造。目前公开信息较少,可分析不多。
在AACR2024的摘要中,NiKang临床管线NKT3447的临床前数据显示,NKT3447具有缓慢的动力学,导致治疗停止后持续的 pRb 抑制。体内药效上,NKT3447 治疗可在 CCNE1 扩增的 OVCAR3 和 MKN1 肿瘤模型中产生剂量依赖性肿瘤生长抑制或肿瘤消退。此外,NKT3447与卡铂的组合在OVCAR3和MFE-280模型中表现出增强的抗癌作用。
7. 安锐生物/Avenzo Therapeutics
安锐生物四篇专利如下,很明显,第一/三/四篇专利follow的Incyte,第二篇专利follow的Pfizer。
至于安锐License出去的超10亿美元的重磅药物ARTS-021结构,也挺好猜测:从安锐在AACR2022便已公开了ARTS-021的临床前数据看,便可锁定专利一/二;从专利三/四结构改造的延续性上看,ARTS-021很可能便是WO2022111621A1中的Ex.101a(手性异构体)。
从WO2023226920A1中的一系列数据中也可以发现(专利中还特地拿了Ex.101 section B作为阳性对照,即活性较差的另一个手性异构体,猜测应该是原专利中的Ex.101b),Ex.95a、Ex.96a均有出色的体外活性与成药性,由此推测与Ex.96a仅差一个甲基的Ex.101a的相关性质也不会差。
8. Ensem Theraputics/百济神州
就一篇专利,WO2023244710A1。很明显,PF-07104091的me too。
实施例Ex.5、Ex.54,对CDK2抑制活性<50nM,对CDK1抑制活性>1μM,选择性尚可。但Ex.5在OVCAR3与TOV21G细胞抗增殖活性较差,为≥1μM,而Ex.54活性未公开。实施例Ex.19与Ex.31,对CDK2抑制活性<50nM,对CDK1抑制活性为50~500nM,选择性略差,但对OVCAR3与TOV21G细胞抗增殖活性≤500 nM。同时由于CDK2与GSK3β具有高度的序列同一性,本专利还评价了对GSK3β的选择性,Ex.54选择性较好。
信息较少,大胆猜测一下其临床管线ETX-197便是本专利中Ex.54。
四、近
期其他CDK2抑制剂专利
1. Cedilla Therapeutics
不得不说Bayer看中的分子果然与众不同。对这几篇专利我无法作出评价,因为超出了我的认知范畴。你要说这是AI设计出来的我肯定信。非要说点什么的话,只能说有点Pfizer的PF-07104091影子。
2. Relay Therapeutics
Relay算是AIDD领域内的知名企业,不过其CDK2抑制剂却未见AI的神妙之处。
两篇化合物专利WO2022174031A1与WO2023154426A1,很明显是follow的PF-07104091。最近公开的晶型专利WO2024035830A1,很可能便是其管线RLY-2139的结构
不过公司官网显示,Relay已暂停了RLY-2139,具体原因未知。
剩下的就一并介绍了:Kymera(WO2024039903A2)专利follow的Incyte;宇道生物(WO2024046443A1)专利follow的锐格生物的化合物QR-6401(
ACS Med. Chem. Lett. 2023, 14, 3, 297–304
);楚浦创制(WO2024039903A2)专利follow的PF-07104091;至于百济(WO2024056019A1)与Genesis(WO2024059010A1),他们比较鸡贼,化合物是Pfizer与Incyte专利的拼接
。另外需要指出的是Kymera的CDK2抑制剂专利很明显是为CDK2 PROTAC做铺垫,当然这是下一篇文章的重点,此处不赘述。
五、后话
以上并非全部的CDK2抑制剂专利,比如齐鲁锐格的WO2022155941A1/WO2022206888A1/WO2023116884A1/WO2023168686A1,Genentech的WO2023060057A1,拓界生物的WO2023083201A1等等,实在太多了,且缺乏新意,无非是Pfizer或是Incyte的follow,就不一一赘述了。
此前写过CDK2分子胶【
研发前沿|分子胶的理性设计(2)——CDK2分子胶与Monte Rosa的野望
】,供参考。
关于CDK2分子胶与CDK2 PROTAC的进一步解析,就留到下一篇文章再说吧。
推荐阅读
选择性FGFR3抑制剂:冲击下一个蓝海市场
人福医药创新药专利突破策略分析
抗癌新星靶点PRMT5的药物研发进展及其专利布局一览
CDK4/6抑制剂结构及化合物专利分析
医药魔方早研
群
内提供:每周更新最新
PCT医药类精选专利
、当月
重点专利解读
、
研发前沿信息
获取咨询。
目前免费开放中(限前500人),添加左侧微信号,备注“早研-公司-职位",拉您进群;如想申请
NextPat
数据库试用,可扫右侧二维码或点击
左下方
“
阅读原文
”
,直接跳转申请链接。
Copyright © 2024 PHARMCUBE. All Rights Reserved.
欢迎转发分享及合理引用,引用时请在显要位置标明文章来源;
如需转载,请给微信公众号后台留言或发送消息,并注明公众号名称及ID。
免责申明:本微信文章中的信息仅供一般参考之用,不可直接作为决策内容,医药魔方不对任何主体因使用本文内容而导致的任何损失承担责任。
【声明】内容源于网络
0
0
医药魔方Info
传递医药信息,分享资源数据!医药魔方Info关注全球范围内的重要医药信息情报,包括药品注册审批、药物临床试验数据、公司交易并购动态、公司财报业绩、医药人才流动,热门政策事件等等,为用户的日常决策提供关键信息参考。让你充电5分钟,吹牛2小时!
内容
2698
粉丝
0
关注
在线咨询
医药魔方Info
传递医药信息,分享资源数据!医药魔方Info关注全球范围内的重要医药信息情报,包括药品注册审批、药物临床试验数据、公司交易并购动态、公司财报业绩、医药人才流动,热门政策事件等等,为用户的日常决策提供关键信息参考。让你充电5分钟,吹牛2小时!
总阅读
1.9k
粉丝
0
内容
2.7k
在线咨询
关注