
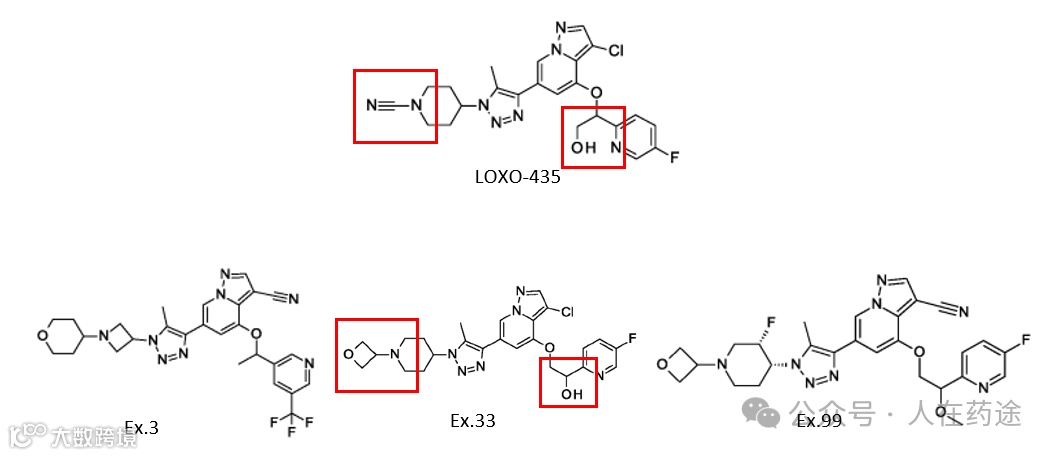
为了帮助制药行业研发人员及时把控全球专利中的前沿进展,我们借助医药魔方NextPat专利数据库推出了【前沿专利】栏目,每周将从公开的PCT专利中精选出值得关注的小分子/ADC专利与读者分享,以下为最新一期:



医药魔方Info
为了帮助制药行业研发人员及时把控全球专利中的前沿进展,我们借助医药魔方NextPat专利数据库推出了【前沿专利】栏目,每周将从公开的PCT专利中精选出值得关注的小分子/ADC专利与读者分享,以下为最新一期:


