BIGO的算法团队经过探索,提出了基于风格迁移+ID注入的FaceMagic方案,在生成高清自然人脸的同时能够保持人脸姿态、属性一致。目前FaceMagic已在线上运营,每日用户使用量过百万级。
引
1974年,我国的考古学家在陕西省西安市发掘出了兵马俑,并被其神态各异惟妙惟肖的面部表情所震撼。同一年,一篇名为《A Parametric Model for Human Faces》论文迈出了人脸属性编辑这一领域的第一步。而半个世纪后的今天,BIGO自主研发的的FaceMagic的换脸技术让你随心所欲的化身为兵马俑,世界名画,或者电影里的超级英雄, 产品一推出即风靡全球。
BIGO为了把这项创新技术带给全球用户,研发人员克服了各种挑战。技术挑战主要来源于三个方面:第一是人脸特征迁移技术,我们创新性地尝试把风格迁移的思路用于人脸特征迁移中,克服了当时主流的deep fake、 3D方案等技术的不足。 第二是全球化问题,因为BIGO用户来源于全球各地,为了解决不同人种的肤色、五官结构的差异问题,我们构建了千万量级的全球化的人脸数据集,覆盖多种肤色、性别、年龄,力求把全球每一位用户的效果做到最佳 。第三是多属性,多场景的效果优化,我们在不断优化网络结构的同时,尝试人脸属性、人脸姿态的约束、以及优化大规模数据的训练方法,把换脸效果做到更真实、自然。
背景
人脸属性编辑是计算机视觉领域的一项重要技术,广泛用于内容生产,电影制作,娱乐视频中。早期的人脸属性编辑主要集中在人脸的表情上,比如通过修改张嘴或者闭眼来体现人喜怒哀乐。随着算力的提升,这项技术随后便升华为即时的表情编辑或迁移,也就是将一张脸的表情作为输入,来控制另一张脸的表情作为输出,当下我们看到的三维动画或者虚拟偶像都在广泛的利用这项技术。
然而仅仅换个表情显然已经跟不上科研人员的脑洞,Volker 一行人在论文《Exchanging faces in images》[1]中首次提出了在自然图像中置换人脸的概念。文章中使用了一种较为原始的3D模型方案来粗估姿态与光线,并将目标人脸替换至源人脸上。这项技术由于需要人工参与标定关键点,主要被应用于图像编辑等工作。在漫长的学术发展过程中,换脸技术发生了天翻地覆的变化,逐渐衍生出来了基于3D脸部建模,以及生成对抗网络(GAN) [2]的两个派系。
3D脸部建模的方案比较直观,即先对源图片和目标图片进行关键点检测并进行3D建模,然后提取目标图片中的身份信息(ID)替换源图片中的相应部分。Dmitri Bitouk et al.[3]针对[1]中需要进行人工参与,同时也不能处理表情的问题,提出了一个全新的方案,可以解决自动化以及表情的问题。而近代通过3D建模来实现换脸的始祖,Face2Face [4]则通过拟合一个3DMM[5]模型来进一步迁移表情。作为第一个能实时进行面部转换的模型,Face2Face的准确率和真实度树立了业界标杆 。随后的一些研究也多基于此,对生成人脸的自然度进行强化,例如Suwajanakorn et al.[6]对嘴部的模型进行修正,使得嘴部的动作更加自然。Nirkin et al.[7]结合脸部分割,基于一个固定的三维人脸来进行换脸,避免拟合三维人脸形状。这些方法虽然能取得一定的换脸效果,但是要么计算量太大,要么就是生成换脸后的图片依旧不自然,且很难处理遮挡等问题。
近年来,随着大规模的GPGPU算力的出现,基于GAN的换脸方案异军突起,一举击破了基于传统3D换脸方案的大本营。这个突破首先出现在Pix2pixHD [8]中,Ting-Chun等人使用了一个多尺度的cGAN结构进行图片对图片的变化,例如给定一个脸部的轮廓信息,cGAN则能将其转变成一个真实人脸。紧接着GANimation[9] 提出一个双分支生成器来解决人脸表情的问题,其中一个分支通过回归注意力图来控制表情,另一个分支则提供背景和光线信息。GANnotation [10]则在添加约束条件的道路上更进一步,通过约束人脸关键点来驱动生成对应的人脸。除此以外,研究者们也在尝试着与传统方案结合,亦或通过先验知识来指导GAN的生成质量。Kim等人在 Deep video portraits [11] 结合了传统3D与GAN的技术来进行人脸的生成;RSGAN [12]提出一种解耦脸部和头发的方法来换脸;FSGAN [13]通过结合脸部分割来评估遮挡区域,在一定程度上解决了换脸当中的遮挡问题。基于GAN的方法生成的换脸图片相比3D方法更加真实自然,但是很难产生高清的换脸效果,另外源图片姿态比较大时很难兼顾姿态的一致性和换脸的ID迁移能力。
BIGO的算法团队经过探索,提出了基于风格迁移+ID注入的FaceMagic方案,在生成高清自然人脸的同时能够保持人脸姿态、属性一致。目前FaceMagic已在线上运营,每日用户使用量过百万级。
01
风格迁移的风起
这一切要从风格迁移(Neural Style Transfer)的研究脉络讲起。2016年ECCV的一篇《Image Style Transfer Using Convolutional Neural Networks》[14] 给一张阿姆斯特丹的风景照加上了星空的感觉。文章提出的基于Gram matrix的方法,也就是神经网络的特征图各个通道的相关性,将真实图片(content)与风格图片(style)融合。这使得合成后的图片具有原始图片的内涵,但是视觉上又会感受到不一样的风格。
图1. 风格迁移实例
当然,这种方案的代价也是巨大的,每一组不同的content到style的转换,都需要训练一个专用的神经网络,这在实际的应用当中显然是不现实的。2017年的另一篇论文《Arbitrary Style Transfer in Real-time with Adaptive Instance Normalization》(AdaIN)[15]则对此问题做出了回应。这篇文章证实了一个至关重要的结论:style信息隐藏在特征层中每一层的统计量中(也就是每一层的均值μ和标准差σ)。故而,文章通过定向改变Instance Normalization(IN)层后特征的均值以及标准差,来获取风格迁移效果。这个方法只要通过训练一次网络,即可以实现任意content至任意style的风格迁移。
图2. 经典的基于AdaIN的风格迁移网络
02
把人脸当做一种风格
2019年英伟达发表了论文《A Style-Based Generator Architecture for GAN》[16],也就是大名鼎鼎的StyleGAN,这种网络结果生成最高1024*1024分辨率的人脸,且相当的真实与自然,惊艳全场。而这背后的核心,则是通过深层全连接神经网络,将一组随机编码的向量转变成一组均值μ和标准差σ,再送入不同尺度的AdaIN模块,最终生成高清人脸。
StyleGAN的工作给我们带来的不仅是新的网络结构、训练方法,更重要的是思维上的颠覆:“人脸特征也可以作为一种风格来描述”。那么,到底什么是content, 什么是style?
在艺术风格迁移中,content 作为真实照片中的实物形状、轮廓,style则是艺术家画作中的色调、笔触、画风等独特的艺术特点。在StyleGAN中,则没有content,一切的人脸特征皆为style。从这个角度重新审视风格迁移,我们会得出结论:对于content跟style的界定,没有统一的标准,完全取决于你如何划分!应用时,需要保留的部分作为content,而需要改变的部分则作为style。
03
从风格迁移到换脸
我们再一次回到换脸这个话题,StyleGAN在生成人脸的时候,使用了随机编码的向量作为种子,生成了所需的人脸style,那么我们可否使用类似的思想,抽取目标人脸的style,用来替换源人脸的呢?答案自然是肯定的。
接下来我们将通过四步演化过程来阐述我们的FaceMagic模型:1)化我为我;2)化我为他;3)融于你我;4)止于平衡。
化我为我
算法的第一步自然是确定我们的content,也就是面部姿态与表情等属性信息,这个目标我们通过让模型学会生成自己来达成。整个流程采用了如图3所示的经典Encoder-Decoder结构,网络的输入输出为同一张人脸图像I,通过叠加了多层的ResBlock结构的Encoder,获取特征图F。实践上我们采取了较大的d值来保存更多的content信息。
图3. 通过自编码器来获取人脸的content信息
化我为他
当模型确定了源人脸中的content信息,我们下一步的目标便是将目标人脸的ID信息,以style的形式注入至content当中。这个目标可以进一步拆解为目标人脸的ID提取以及注入两步。ID提取部分,我们借用了使用VGG-Face[17]数据集预训练的人脸识别网络ID-Net。通过ID-Net提取的特征向量G能够很好地区分人脸之间的相似程度,因此可以很紧致地表征一个人的身份特征,同时不会引入其他干扰信息。而在至关重要的信息注入部分,我们的基本思路,则是首先通过全连接层,将目标人脸的G_Tar转化为所需的均值与方差μ_Tar,σ_Tar,再依照AdaIN的方式将style注入content。
然而在实际操作中,我们注意到了以下两个问题:I)训练网络时的收敛速度很慢;II)容易产生人工造成的不自然缺陷(artifacts)。这两个问题让我们重新反思换脸问题的本质:目标人脸的ID固然可以按照style的思路注入源人脸的content中,但是这种方案很类似于传统的2D/3D视觉中的“贴脸”策略——完全采用目标人脸的ID信息而抛弃源人脸的;而要达成“换脸”,我们实际上只需要关注一个从目标人脸的ID到源人脸ID信息的变化。
于是,我们重新定义了要注入进AdaIN的style为“信息增量”,如下式所示:
其中ε是一个较小的量以稳定数值。依照这个思路,我们设计了基于AdaIN-ResBlock的风格融合模块Style Mix Block,在多个空间尺度上将ID的信息增量通过AdaIN注入至从源人脸中抽取的content当中。我们另外也采用了一种基于信息增量的训练模式:通过混入一部分源与目标人脸为同一张图片的训练数据,使注入的style信息恒定为μ_diff =0,σ_diff = 1。这个方案极大地提高了模型在学习重构损失时的收敛速度,并且抑制了大部分因为“贴脸重构”导致的artifacts。图4为Style Mix Block的详细结构。
图4. Details of Style Mix Block
然而到这里,BIGO算法团队对目标人脸的ID注入方案的思考,依旧没有结束。真实场景中的换脸,原人脸以及目标人脸肯定不会像证件照一样整洁标准,而经常会涉及到大尺度上的pose转换或者被帽子眼镜遮挡的情况。在这种情况下,信息增量本身存在一个不准确的问题,这就会导致一个在实际效果中依旧存在“换脸的结果并不像目标人脸”的情况。在经过激烈的讨论之后,我们做了一个大胆的决定:将原始用来描述ID信息的特征,直接拼接(Concatenate)到Style Mix Block的特征上,并将这个整体特征送入Decoder来生成最终结果。整体网络构架如图5所示。
图5. FaceMagic换脸的核心结构
融于你我
故事讲到这里,却依旧只是个开头,接下来一个问题出来哪里呢?
这就牵扯到对抗生成网络的一些本质了,我们常说,对抗生成网络实质上是学习了真实样本的特征流形,在生成的时候通过选取一组作为种子的随机变量,选取流形上的点并映射到图像空间上。这就导致了,我们虽然可以保证一张生成的图像“真实且自然”,但是却难以保证在一连串的视频帧上的连续性。例如,在大尺度上的pose转换的场景下,很容易出现提供content的源人脸的pose信息“丢失”的情况;另外源人脸的ID信息在视频中本身也会存在扰动,而这些扰动由会被注入操作进一步放大。这些情况都导致了在对视频进行按帧换脸的操作时,会产生姿态摆动或者肤色光照抖动等不连续的情况。
这里我们通过Pose Constraint以及Skipping connection来缓解视频换脸中存在的连续性问题,如图6红色部分所示:
1) Pose Constraint:我们通过脸部的landmark来强约束源人脸以及生成人脸之间pose差异的问题。这样即便源人脸在某些帧出现大尺度的pose转换,生成的也依旧会被约束在源人脸的pose上。
2) Skipping Connection:为了让生成的图片能够稳定的保留源图片的特征,我们尝试将一些Encoder的低层次的特征直接通过Skipping Connection直接植入到Decoder的特征当中。
图6. FaceMagic换脸的最终系统结构
止于平衡
我们先做一个小总结,目前我们有了很多的模块,我们的total loss可以写成下面的形式:
很显然,加大L_recon和L_pose的权重,可以使得生成的人脸能更多地保留源人脸的特征,加大L_ID的权重,则会更多地迁移更多目标的身份特征,L_GAN的权重则用于保证生成的人脸尽可能的真实自然。那么,终于,我们可以开始愉快地去调参数了?
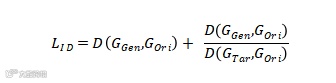
显然,终极的平衡不是调参就可以获得的。BIGO的算法同学在深挖了L_ID后发现:对于两个本来长得就有点像的人,换脸后的结果从视觉上几乎看不出变化,原因在于他们的ID特征距离本来就小,如果仅仅使用简单的l2损失或者cos相似度的话,网络对这部分的惩罚会很小,但是简单的加大L_ID的权值又会使整个网络的训练变得艰难。为了解决这个问题,我们提出了衡量换脸效果的相对ID距离。简单来说,就是对比源人脸在换脸前后与目标人脸的距离差异。用公式可以表达为:
其中,为l2损失或者cos相似度。式子的前半部分为原始的ID信息损失,后半部分为对比损失。
结
END
语
经过BIGO算法团队同学们的不断努力,我们攻克了各种技术上的难关,成功实现了FaceMagic——实时且高度真实自然的视频换脸工具,受到全球用户的青睐。但是这只是BIGO在CV领域技术和人脸领域多年积累的一次应用尝试,我们会延续技术创新、追求卓越的精神,不断推出新的应用和玩法,为全球广大用户带来更多的AI创新技术。
图7:效果展示,从左往右分别为:
源人脸,目标人脸,生成人脸

