摘要:通用版学习机器学习算法的方法,你值得拥有!
从0开始编写机器学习算法是一种非常好的体验
当你点击之后你会感到压力,因为其中有些算法比其他算法更复杂,所以我建议你从一些简单甚至更简单的算法开始,比如单层感知器。
以感知器为例从头开始编写算法,主要为以下6个步骤:
1.对算法有一个基本的了解;
2.找到一些不同的学习来源;
3.将算法分解成块;
4.从一个简单的例子开始;
5.使用可行的实现进行验证;
6.写下你的过程。
1、对算法进行基本的了解
如果你不了解基础知识,不要从零开始编写算法。
至少,你应该能够回答以下问题:
1.它是什么?
2.它的典型用途是什么?
3.使用条件是什么?
对于感知器,至少能够回答以下问题:
1.单层感知器是最基本的神经网络。它通常用于二分类问题(1或0,“是”或“否”)。
2.一些简单的用法可能是情绪分析(积极或消极反应)或贷款违约预测(“将违约”或“将不违约”)。对于这两种情况,决策边界都必须是线性的。
3.如果决策边界是非线性的,你就不能用感知器。对于这些问题,需要使用其他不同的方法。
2、使用不同的学习资源
在你对模型有了基本的了解之后,这个时候可以开始你的研究了。
有些人用教材学得更好,有些人用视频学得更好。我个人喜欢到处转转,使用各种各样的资源。
对于数学细节,教材讲的比较详细,但对于更实际的例子,我更喜欢博客帖子和视频。
对于感知器,这里有一些很好的学习资源:
教材
统计学习基础
https://web.stanford.edu/~hastie/Papers/ESLII.pdf
机器学习理解:从理论到算法https://www.cs.huji.ac.il/~shais/UnderstandingMachineLearning/understanding-machine-learning-theory-algorithms.pdf
博客
如何在Python中从Scratch开始实现感知器算法,JasonBrownlee
https://machinelearningmastery.com/implement-perceptron-algorithm-scratch-python/
单层神经网络与梯度下降,SebastianRaschkahttps://sebastianraschka.com/Articles/2015_singlelayer_neurons.html
视频
感知器训练
https://www.youtube.com/watch
感知器算法的原理
https://www.youtube.com/watch
3、将算法分解成块
现在我们已经收集了各种学习资源,是时候开始学习了。
与其从头到尾读一篇博客文章,不如先浏览一下章节标题和其他重要信息,写下要点,并试着概述算法。
在浏览了这些资料之后,我将感知器分为以下5个部分:
1.初始化权重;
2.将权重乘以输入,然后求和;
3.将结果与阈值进行比较以计算输出(1或0);
4.更新权重;
5.重复以上步骤;
让我们详细讨论每一个部分。
1.初始化权重
首先初始化权重向量。权重的数量需要与特征的数量匹配。假设我们有三个特征,则权重向量如下所示:
权重向量通常被初始化为0,在本文中我们将继续使用它。
2.将权重乘以输入,然后求和
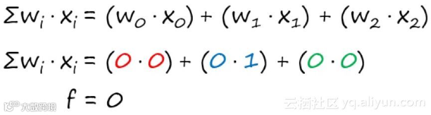
接下来,我们将权重乘以输入,然后求和。为了更容易理解,我在第一行中对权重及其对应的特征进行了着色。
在权重乘以特征之后,我们把它们加起来,这也被称为点积。
最后的结果为0,将这个零时的结果设为f。
3.和阈值进行比较
在计算出点积之后,我们需要将它与阈值进行比较。
这里选择用0作为阈值,但也可以用其他值作为阈值。
由于我们计算出来的点积f不大于我们的阈值(0),所以估计值等于0。
我将估计值表示为带帽的y(又名“y hat”),下标0表示第一行,也可以用1表示第一行,这无所谓。这里选择从0开始。
如果我们将这个结果与实际值进行比较,可以看到当前的权重没有正确地预测实际输出。
因为我们的预测不正确,所以进行下一步来更新权重。
4.更新权重
接下来更新权重,以下是要使用的方程:
基本原理是在迭代“n”处调整当前权重,以便在下一个迭代中得到一个新的权重“n+1”。
为了调整权重,我们需要设置一个“学习率”。这是用希腊字母“eta”表示。
这里选择用0.1表示学习率,也可以用其他值表示学习率,就像阈值的设置一样。
以下是到目前为止的总结:
继续计算在n=2时的权重。
我们已经成功地完成了感知器算法的第一次迭代。
5.重复以上步骤
由于算法没有计算出正确的输出,我们需要继续。通常需要多次迭代,遍历数据集中的每一行来更新权重。对数据集的一次完整遍历称为“epoch”。
因为数据集有3行,我们需要3次迭代才能完成1个epoch。
我们可以设置总的迭代次数或epoch来继续执行算法,比如指定30次迭代(或10个epochs)。
与阈值和学习率一样,epoch的数量是一个可以随意使用的参数。
在下一个迭代中,我们将继续讨论第二行特征。
这里不一一重复每一步了,以下是下一个点积的计算。
接下来,将点积和阈值进行比较,以计算新的估计值,更新权重,然后继续。如果数据是线性可分的,感知器就会收敛。
4、从一个简单的例子开始
现在我们已经手工将算法分解成块,现在用代码开始实现它。为了简单起见,从一个非常小的“玩具数据集”开始。对于这种类型的问题,一个好的小的线性可分离数据集是NAND门。这是数电中常用的逻辑门。
因为这是一个非常小的数据集,我们可以手动将其输入到Python中。
为了让模型计算偏差项,添加一个虚拟的特征“x0”表示第一列。
可以将偏差看作是截距项,模型可以正确地分离这两个类。
以下是输入数据的代码:
与前一节一样,我将逐步详细介绍算法,编写代码并测试它。
1.初始化权重
第一步是初始化权重
请记住,权重向量的长度需要与特征的数量相匹配。对于这个NAND门的例子,长度是3。
2.将权重乘以输入,然后求和
接下来,我们将权重乘以输入,然后求和(即点积)。
同样,我们可以使用Numpy的dot()函数轻松地执行此操作。
我们从权重向量和第一行特征的点积开始。
正如预期的那样,结果是0。
为了与上一节保持一致,我将点积赋给变量f。
3.与阈值进行比较
在计算了点积之后,将结果与阈值进行比较,从而对输出进行预测。
设定阈值z等于0。如果点积f大于0,我们的预测是1。否则,它就是零。
记住,这个预测通常是用一克拉的顶部来表示的,也被称为“帽子”,把预测值赋给变量yhat。
正如预期的那样,预测为0。
在上面的注释中,将这些代码称为“激活函数”,是更正式的名称。
查看NAND输出的第一行,可以看到实际值是1,由于我们的预测是错误的,所以需要继续更新权重。
4.更新权重
现在已经得出了预测值,准备更新权重。
我们需要设定一个学习率才能做到这一点。为了与前面的例子保持一致,将学习率“eta”赋值为0.1。
我将对每个权重的更新进行硬编码,使其更容易阅读。
可以看到权重现在已经更新了,继续下去。
5.重复以上步骤
现在我们已经完成了每一个步骤,现在是时候把所有的东西放在一起了。
最后一个还没有讨论的是损失函数,即实现最小化的函数。在例子中,这将是平方和(SSE)误差。
这就是我们用来计算误差的方法,看看模型是如何运行的。
把所有这些都联系起来,完整的函数如下所示:
现在已经编写了感知器的所有代码,开始运行它:
看一看上方的误差,可以看到误差在第6次迭代时趋于0,对于之后的迭代,始终为0。当误差趋于0时,表示模型收敛了。也就是说模型已经正确地“学习”了适当的权重。
在下一节中,我们将在更大的数据集上使用计算过的权重来做预测。
5、使用可行的实现进行验证
到目前为止,我们已经找到了不同的学习资源,手动完成了算法,并通过一个简单的例子在代码中测试了它。
现在是时候将结果与可行的实现进行比较了。为了比较,我们将使用scikit-learn中的感知器。
步骤如下:
1.导入数据;
2.将数据分成训练/测试集;
3.训练我们的感知器;
4.测试感知器;
5.和scikit-learn的感知器相比;
1.导入数据
从导入数据开始,可以在这里获得数据集的副本。
为了确保感知器能够正常工作,所创建的数据集是线性可分的。为了验证,继续绘制数据。
上图很容易看出数据集轻易地被一条直线分开。
在继续之前,先来解释绘制数据的代码。
使用panda导入csv,它自动将数据放入dataframe中。
为了绘制数据,必须从dataframe中提取值,所以使用了.values方法。
特征在第1和第2列中,所以在散点图函数中使用了这些特征。第0列是包含1的虚拟特征,这样就能计算出截距。这与我们在前一节中对NAND gate所做的事情相似。
最后,在scatterplot函数中使用c = df['3']和alpha = 0.8为两个类着色。输出是第3列(0或1)中的数据,因此告诉函数使用第3列为两个类着色。
你可以在这里找到关于Matplotlib的散点函数的更多信息。
2.将数据分成训练/测试集
既然我们已经确认了数据可以线性分离,那么现在就该分离数据了。在单独的数据集上训练模型和测试数据集是很好的实践,能够避免过拟合。分离数据有不同的方法,但为了简单起见,这里使用一个训练集和一个测试集。
我先整理一下我的数据。如果查看原始文件,你会看到数据是按输出(第三列)中0的行进行分组的,然后是所有的1。我想要改变一下,增加一些随机性,所以我要洗牌。
我首先将数据从dataframe改为numpy数组。这将更容易地使用许多numpy函数,例如.shuffle。
为了让结果重现,我设置了一个随机种子(5)。完成后,尝试改变随机种子,看看结果如何变化。
接下来把70%的数据分成训练集,30%分成测试集。
最后一步是分离训练和测试集的特征和输出。
我选择了70%/30%作为训练/测试集,只是为了这个示例,但我希望你研究其他方法 ,比如k-fold交叉验证。
3.训练感知器
接下来,我们要训练感知器。
这非常简单,我们将重用在前一节中构建的代码。
让我们来看看权重和平方误差之和。
权值现在对我们来说意义不大,但我们将在下一节中使用这些数字来测试感知器,还将使用权重来比较我们的模型和scikit-learn模型。
看一下平方误差之和,我们可以看到感知器已经收敛,这是我们期望的,因为数据是线性可分的。
4.测试感知器
现在是测试感知器的时候了。为此,我们将构建一个小型的perceptron_test函数。这和我们已经看到的很相似。这个函数使用perceptron_train函数计算的权值的点积,以及特征,以及激活函数来进行预测。
我们唯一没有看到的是accuracy_score,这是一个来自scikit-learn的评估度量函数,你可以在这里了解更多。
把所有这些放在一起,以下是具体的代码实现:
准确度为1.0表明我们的模型正确地预测了所有的测试数据。这个数据集显然是可分离的,所以我们期望这个结果。
5、和scikit-learn的感知器相比
最后一步是将我们的结果与scikit-learn的感知器进行比较。下面是这个模型的代码:
现在我们已经训练了模型,让我们将权重与模型计算的权重进行比较。
scikit-learn模型中的权重与我们的相同,这意味着我们的模型工作正常。
在我们结束之前,有几个小问题需要解决一下。在scikit-learn模型中,我们必须将随机状态设置为“None”并关闭变换,但我们已经设置了一个随机种子并打乱了数据,所以我们不需要再这样做了。
我们还必须将学习率“eta0”设置为0.1,以与我们的模型相同。
最后一点是截距。因为我们已经包含了一个虚拟的特征列1s,我们正在自动拟合截距,所以我们不需要在scikit-learn感知器中打开它。
这些看起来都是次要的细节,但如果我们不设置这些,就无法达到与我们的模型相同的结果。
这一点很重要。在使用模型之前,阅读文档并理解所有不同设置的作用是非常重要的。
6、写下你的过程
这个过程中的最后一步可能是最重要的。你已经完成了所有的工作,包括学习、记笔记、从头开始编写算法,并将其与可行的实现进行比较,不要让所有的好工作白白浪费掉!
写下这个过程很重要,原因有二:
1、你会得到更深的理解,因为你正在教导别人你刚刚学到的东西。
2、你可以向潜在雇主展示它。
证明你可以从机器学习库中实现一个算法是一回事,但如果你可以自己从头实现它,那就更令人印象深刻了。一个展示你作品的好方法是使用GitHub页面组合。
结论
在这篇文章中,我们学习了如何从零开始编写实现感知器。更重要的是,我们学习了如何找到有用的学习资源,以及如何将算法分解成块。
然后,我们学习了如何使用一个玩具数据集在代码中实现和测试算法。
最后,我们通过比较我们的模型和可行实现的结果来结束本文。要获得使用的Python代码的完整副本,单击下面的绿色按钮。
这是在更深层次上学习算法的一个很好的方法,这样就可以自己实现它了。
大多数情况下,你将使用可行的实现,但如果你真的想深入了解底层的情况,从头实现它是一个很好的练习。
本文由阿里云云栖社区组织翻译。
文章原标题《machine-learning-from-scratch》
作者:dataoptimal 译者:虎说八道,审校:。

end
阿里云总监课第四期:阿里褚霸携专家团独家分享弹性计算最佳实践
更多精彩

