5月24日(周三) 19:00-20:30
LipidBrick®IM21.7c 新型阳离子脂质对LNP特性和体内生物分布的影响 助力mRNA治疗
马上扫码预约:

DNA和RNA疗法是由活性遗传成分和高效递送系统(通常是脂质纳米颗粒-LNP)组成的药物产品。这些治疗包括通过触发患者免疫系统来预防感染的预防性疫苗和用于治愈特定疾病的治疗性疫苗。每种疗法都需要特定的LNP配方,取决于遗传物质和目标组织。为了使递送系统适应需求达到成功治疗的目的,需要多种类的可以调节包装效率和LNP特性的脂质。
Polyplus正在推出新型阳离子脂质,用于改进在mRNA 治疗和疫苗开发中使用的脂质纳米颗粒(LNP)的配方。这个被称为LipidBrick®IM21.7c的阳离子脂质扩大了LNP在从预防性疫苗到治疗和肿瘤学的各种应用中的使用范围。
加入本次网络研讨会,了解Polyplus如何开发LipidBrick®IM21.7c,这款阳离子脂质如何通过提高体内递送效率,生物分布和安全性,为RNA疗法的LNP配方提供新的可能性,以满足mRNA治疗市场不断增长的需求。


LipidBrick®IM21.7c
作为输送领域的创新者,Polyplus开发了一系列用于LNP配方的阳离子和可电离脂质,命名为LipidBrick®。这些“活性脂质“会保护DNA,mRNA和siRNA等核酸,并将其递送到靶细胞。通过向LNP添加正电荷,LipidBrick®在效力和靶向性方面拓宽了当前的应用范围,因已知LNP的电荷会影响mRNA-LNP的生物分布和表达。LipidBrick®调整了LNP的整体电荷和生物分布。
Polyplus的目标是支持客户从研发到商业化。Polyplus拥有LipidBrick®的专利,以避免任何可能阻碍治疗进展的专利侵权。加入本次网络研讨会,了解Polyplus如何开发LipidBrick®IM21.7c,这款阳离子脂质如何通过提高体内递送效率,生物分布和安全性,为RNA疗法的LNP配方提供新的可能性,以满足mRNA治疗市场不断增长的需求。
概念验证
-
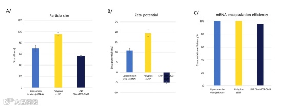
Ÿin vivo-jetRNA+:Polyplus提供的即用型脂质体配方 -
Ÿ使用Dlin-MC3-DMA的LNP:使用Dlin-MC3-DMA离子化脂质的类似 Onpattro®的 LNP 配方(市售)
效率和生物分布
LNP特性会影响递送效率和器官的靶向性。通过修饰脂质结构(即脂质体或脂质纳米颗粒)和颗粒的总电荷,我们可以在小鼠中通过全身注射来调节核酸的生物分布。使用可电离脂质形成的LNP主要靶向肝脏,而使用阳离子脂质(LipidBrick®IM21.7c)形成的LNP主要靶向肺和脾脏。
LNP稳定性
颗粒的稳定性对患者的安全和药物的有效性非常重要。LNP或核酸的降解导致药物功效丧失,在临床试验中可能无法通过卫生当局的审核。
Polyplus在CaCo-2细胞体外mRNA模型中测试了其LNP配方超过3个月。该研究表明,当LNP/mRNA储存在4°C时,LNP非常稳定并且表达良好。
LNP安全性
含有IM21.7c的Polyplus cLNP触发的细胞因子谱与使用Dlin-MC3-DMA的LNP相似。通过静脉注射(眼眶注射)在小鼠中注射了200μLmRNA-LNP,使用10μg编码荧光素酶的mRNA,mRNA/LNP的比例为1:2(μgmRNA:μL LNP)。注射后2至24小时收集血液,用MACSPlex测量IFN-γ,TNF-α,GM-CSF,IL-2,IL-4,IL-5,IL-10,IL-12,IL-17A,IL-23的水平,并通过ELISA测量IL-1α,IL-1β,IL-6的水平。LPS(200μg)和PBS注射到小鼠分别作为阳性和阴性对照。细胞因子的功能分类基于Turner等人的(Biochimica et Biophysica Acta (BBA) – Molecular Cell Research, 2014; https://doi.org/10.1016/j.bbamcr.2014.05.014.)
温馨提示

