作为国内专注在生物药工艺领域的顶尖会展品牌,2023第六届生物药工艺发展峰会BPD定于 2023年8月3-5日在上海张江隆重召开。本届峰会涵盖了抗体药物工艺开发与商业化生产、AAV与溶瘤病毒基因治疗工艺开发与放大、自体和异体细胞治疗产品开发与质控、mRNA药物开发与LNP递送以及外泌体前沿工业化生产考量等多领域工艺技术进展,届时将会有4000+参会代表和100+展商参展,覆盖了原料试剂、设备、耗材、服务等各领域,全方位赋能工艺开发与商业化生产!
新产品LipidBrick® IM21.7c
LipidBrick® IM21.7c是一种独特的阳离子脂质,用于改进LNP配方。它克服了目前LNP中使用的可电离脂质的挑战,通过向LNP添加正电荷LipidBrick®调整了LNP的整体电荷,实现了更广泛的体内生物分布并减少了在肝脏中的积累。概念验证已经表明,由于LipidBrick® IM21.7c调节了LNP总电荷的内在特性,它提高了药物效率和制剂稳定性,而不会出现安全问题,扩大了LNP在从预防性疫苗到治疗和肿瘤学的各种应用中的使用范围。
概念验证
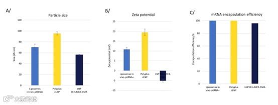
Fig. Polyplus 使用 LipidBrick® IM21.7c开发了cLNP,和基于脂质体的试剂in vivo-jetRNA®+及使用可电离脂质DlinMC3-DMA (Onpattro® like formulation)的LNP相比较做了定性研究。
体内生物分布比较
Fig. 通过使用LipidBrick® IM21.7c来调节LNP的电荷, Polyplus成功地扩大了生物分布,减少了在肝脏的聚积,和使用 可电离脂质的LNP相比较
Polyplus还提供即用型阳离子脂质体in vivo-jetRNA®+,用于mRNA递送;即用型阳离子聚合物 in vivo-jetPEI®,可递送任何类型的核酸; 更多信息请访问www.polyplus-transfection.com
展位号:B23

更新截止至7月10日,所有顺序不分先后
展会日程

Polyplus公司介绍
Polyplus是一家为先进生物制品、细胞和基因治疗生产提供上游解决方案的领先供应商,涵盖从研发到商业化的各个阶段。作为核酸递送的创新者,经典产品组合是以工艺为中心的转染试剂、试剂盒和支持性服务,其中包括生物生产的行业标准,PEIpro®。2022年,公司整合了定制质粒载体设计的服务,作为公司扩展产品和服务组合的第一步,以帮助行业在满足严格的科学和法规标准的同时,优化工艺的经济性。总部位于欧洲,在美国与亚洲地区均有业务,Polyplus持续推进其全球业务发展。更多信息,请访问www.polyplus-transfection.com
产品介绍
非病毒载体的活体转染试剂可用于各种类型核酸的体内递送,具有操作简便,性价比高,安全有效的优势。Polyplus提供一系列活体转染试剂,适用于任何动物模型的核酸转染,可满足处于各个阶段的客户,包括从科学研究,到初期的工艺开发,临床前研究以及临床试验和商业化。可用于基因治疗和疫苗。
LipidBrick® IM21.7c 独特的阳离子脂质 用于改进LNP配方
LipidBrick® IM21.7c是一种独特的阳离子脂质,用于改进LNP配方。它克服了目前LNP中使用的可电离脂质的挑战,通过向LNP添加正电荷LipidBrick®调整了LNP的整体电荷,实现了更广泛的体内生物分布并减少了在肝脏中的积累。概念验证已经表明,由于LipidBrick® IM21.7c调节了LNP总电荷的内在特性,它提高了药物效率和制剂稳定性,而不会出现安全问题,扩大了LNP在从预防性疫苗到治疗和肿瘤学的各种应用中的使用范围。
Fig. 1 Polyplus 使用 LipidBrick® IM21.7c开发了cLNP,和基于脂质体的试剂in vivo-jetRNA®+及使用可电离脂质DlinMC3-DMA (Onpattro® like formulation)的LNP相比较做了定性研究。
Fig. 2 通过使用LipidBrick® IM21.7c来调节LNP的电荷, Polyplus成功地扩大了生物分布,减少了在肝脏的聚积,和使用 可电离脂质的LNP相比较
in vivo-jetPEI® 即用型阳离子聚合物 可递送任何类型的核酸
in vivo-jetPEI® 是最先进的活体转染试剂,可以安全有效地在任何动物模型中递送DNA, si/miRNA和其他类型的核酸。有超过700篇参考文献,可用于体内基因功能研究,癌症研究和免疫/疫苗。
in vivo-jetPEI®有研发级用于基础研究和实验验证,PC级可用于临床前生物分布和毒理研究,GMP级 in vivo-jetPEI®是最高质量等级的,符合人体临床试验的质量要求。
in vivo-jetRNA®+ 即用型阳离子脂质体 用于mRNA递送
高效的: 100% 的mRNA包装能力,可媲美LNP递送效率
in vivo-jetRNA®+是将mRNA递送至各器官的首选试剂。这是由其内在特性决定的: in vivo-jetRNA®+能保护其有效荷载免受无处不在的核酸内切酶降解,防止与蛋白质的非特异性相互作用,并促进有效的进入细胞。
in vivo-jetRNA®+表现出100%包裹mRNA的惊人能力(Fig. 3 A /),从而产生有效的基因表达,可与目前作为疫苗开发金标准的脂质纳米颗粒相媲美(Fig. 3 B /)。
Fig. 3 in vivo-jetRNA®+可以100%包装mRNA带来高效的mRNA递送。A / 使用凝胶电泳(agarose gel)分析 mRNA alone (lane 1) 和完全被vivo-jetRNA®+包裹的mRNA (lane 2) B/编码Luciferase的mRNA使用 in vivo-jetRNA®+或Dlin-MC3-DMA LNP 通过iv注射进小鼠。注射后24小时分析Luciferase的表达。
通用的: 通过不同的给药途径目标任何靶器官/ 组织
给药途径的选择带来不同的mRNA生物分布。in vivo jetRNA®+介导的mRNA递送可通过腹腔注射在多个器官中表达,特别是在免疫反应中起主要作用的脾脏和淋巴结中,但也在肺、肝、胰腺和子宫等其他器官中表达(Fig. 4).
作为一种非病毒递送载体,in vivo jetRNA®+可以安全地在动物中使用。不同于传统的疫苗方法,它是一类基于直接基因转移的新型疫苗。与病毒载体疫苗或抗原呈递细胞(APC)肽相比,它对接受者更安全,生产更快,更便宜,并且它具有巨大的潜力解决许多未满足的医疗需求。
Fig. 4 通过不同给药途径,in vivo jetRNA®+可以有效地将mRNA递送到不同的器官。编码荧光素酶的mRNA通过不同的给药途径A /腹腔(IP)和B /肌内注射(IM)使用in vivo jet RNA®+注射到小鼠体内。24小时后检测荧光素酶的表达。
除了包裹mRNA的能力外,in vivo-jetRNA®+还具有出色的稳定性。在不同 (低/高) mRNA浓度下,在室温或4°C,in vivo-jetRNA®+脂质体的大小可以稳定长达一个月。这使得in vivo-jetRNA®+成为mRNA疫苗或肿瘤治疗的首选试剂。
就安全性而言,in vivo-jetRNA®+是最佳选择。注射后没有副作用,所有动物都保持健康,没有动物出现疼痛反应。通过任何给药途径递送mRNA – in vivo-jetRNA®+脂质体后,靶向器官保持形态完整,没有观察到组织损伤。并且,使用 in vivo-jetRNA®+不会触发促炎细胞因子表达。
Polyplus-transfection®提供一系列基于PEI的高品质转染试剂,公司开发的用于基因治疗和细胞治疗领域的病毒载体生产试剂PEIpro®系列产品已经越来越广泛的应用到了众多的临床试验中并成为了行业的金标准。其中PEIpro®-GMP是市面上第一款药品GMP级的转染试剂。
PEI的生产遵循非常严格的质量控制和法律法规,有三个质量等级:研发级的PEIpro®用于工艺开发,更好质量等级的PEIpro®-HQ用于临床前研究和早期临床试验,最高质量等级即完全GMP级别的PEIpro®-GMP可用于临床病毒载体的生产(包括慢病毒,腺病毒,腺相关病毒等),满足细胞治疗和基因治疗的质量和监管要求。
专为悬浮体系生产AAV开发 FectoVIR® -AAV
FectoVIR® -AAV是公司最新研发的一种基于化学成分且不含动物源的阳离子纳米技术的转染试剂,专为悬浮细胞体系规模化生产AAV而开发,用于基因和细胞治疗领域。FectoVIR®-AAV具有显著高于同类产品的rAAV产量,在工艺便利上更是有突出优势,如减少了操作体积低至1%、并提高了复合物的稳定性(长达6小时),易于转染复合物的转移和工艺放大。FectoVIR®-AAV适用于各种规格的摇瓶、转瓶、细胞培养袋和生物反应器中无血清悬浮培养的DNA转染,且兼容在细胞培养过程中抗生素的使用。GMP级FectoVIR® -AAV已经上市。
与PEIpro®和其他竞争对手相比,FectoVIR-AAV® 在悬浮细胞中能生产更高滴度的rAAV病毒载体。与其他竞争对手(PEImax)相比,FectoVIR-AAV® 可重复性地大幅提高 AAV 产量,可高达10 倍(Fig. 1)。
Fig 1. 和竞争者相比,FectoVIR®-AAV 可提高rAAV-2-GFP的滴度(functional title)达10倍。按厂家推荐条件进行转染,72小时后收取病毒。
FectoPRO®转染试剂 在悬浮CHO & HEK-293细胞中实现高蛋白产量
FectoPRO® 转染试剂专为在悬浮CHO和HEK-293细胞中提高瞬时基因表达 (TGE) 而设计,兼容多种无血清培养基, 使用更少量的DNA (< 1 µg/ml of cell culture). FectoPRO®介导的转染工艺易于放大,从几毫升到升培养体系,确保稳健可重复的蛋白生产。提高的蛋白产量和低DNA用量使得FectoPRO®成为高性价比的生物生产工艺解决方案。
FectoPRO®在无血清培养的悬浮HEK-293和CHO细胞中达到惊人的蛋白和抗体产量(Fig 1)。
Fig. 1. FectoPRO® 在悬浮CHO细胞中达到惊人的抗体生产产量。按照建议操作步骤使用FectoPRO® 或者FreeStyle™ MAX进行转染。在转染后1 到 6 天测定蛋白产量。
使用少量的质粒DNA,具备高性价比,FectoPRO®是生物生产工艺经济实惠的解决方案。高质量的质粒DNA制备可能非常昂贵, 尤其大规模蛋白生产时需要大量的质粒DNA。FectoPRO® 通过使用0.4到0.6 µg DNA / 106 cells / ml cell culture节约40%到60%的DNA费用。
Table 1. 按照产商的建议转染需要的DNA量和转染试剂体积 (FectoPRO® and competitor)
FectoPRO®易于放大,其介导的转染可以从30ml培养体系线性放大到升,不需要改变操作步骤, 适用于各种培养容器。兼容哺乳动物表达系统,FectoPRO® 转染试剂盒同时适用于CHO和HEK-293细胞,兼容各种培养基配方,使用简单便捷。
生物制药市场对快速生产各种重组蛋白和抗体的需求不断增长,需要一个高效灵活的系统。瞬时表达是应对这一需求的常用工艺,但是受到转染效率和固有生产率(尤其是CHO细胞)的限制。为了克服这个问题,我们开发了一种先进的瞬时表达系统,即FectoCHO®表达系统。该系统由创新的化学成分限定的培养基FectoCHO® CD表达培养基和强大的转染试剂FectoPRO®组成,具有更好的协同作用。
FectoCHO® CD表达培养基经过优化,利于各种CHO细胞株的培养,如CHO-K1,CHO-S和ExpiCHO-S™。在这种化学成分限定的培养基中,FectoPRO®介导的瞬时转染是最佳的,可以使用瞬时基因表达获得最高的蛋白和抗体产量;相比竞争对手,蛋白产量可高达4倍。
专为瞬时转染和蛋白表达而优化、化学成分限定的培养基FectoCHO® CD 表达培养基和高效转染试剂FectoPRO®的组合可以在 CHO-S 和 CHO-K1等各种 CHO 细胞系中获得很高的蛋白产量。(Fig. 2)
Fig. 2. 在CHO-S和CHO-K1细胞中使用FectoCHO® 表达系统相比竞争者达到更高的蛋白产量。根据标准操作步骤进行转染。
FectoCHO® 表达培养基能够在转染前,转染过程中及转染后维持细胞的理想状态,结合FectoPRO® 极高的转染效率,在瞬时基因表达方式下达到惊人的蛋白和抗体产量。确实,相对于竞争者的表达系统,FectoCHO® 表达系统将提高您的蛋白产量高达4倍。(Fig. 3)
Fig. 3. FectoPRO® 转染试剂和FectoCHO® CD培养基的协同作用使其在CHO-K1 (A)和CHO-S (B) cells的产量超过其竞争对手。根据标准操作步骤进行转染。