已公开Lp(a) 靶向药物临床结果对比
Ex.6相比LY3473329每个单倍体上多了个甲基,活性与之相当。
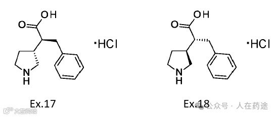
Ex.18是LSN3353871的手性异构,Lp(a)抑制活性是其三倍,但并未被作为后续多聚体改造的结构基础。结合氨甲环酸结构分析,这一手性异构很可能便是对纤溶酶原选择性的关键。
Ex.1、Ex.17的Lp(a)抑制活性与Nature文中一致,且专利中体外Lp(a)抑制活性与小鼠体内Lp(a)抑制率存在一定的对应关系。这也给了参考对比、做出假设的可行性。
分子的特性使得分子成盐是活性关键。
专利中均为盐酸盐(权利要求也仅保护盐酸盐),采用其他盐型或晶型,是否会有更好的药代属性与体内药效?
二聚体Ex.136、Ex.145活性与LY3473329体外活性相当,是否表明通过优化后的二聚体也可以具有与三聚体相当的体内药效?毕竟二聚体在成药性上有优势。
Ex.54、Ex.67在三聚体连接方式上作了改造,Ex.144在苯环上作了改造,结合这一结果进行专利突破(改造连接方式或苯环),是否能够得到与LY3473329活性更优/相当化合物?
四聚体Ex.68表现出与LY3473329相当的Lp(a)抑制活性,基于四聚体进一步优化,是否会有与LY3473329活性更优/相当化合物?
当然艺高人胆大的可以直接在单体的四氢吡咯/羧酸上做文章。

推荐阅读

