What Does A Small Drop in PX Prices Mean?
Affected by the increase in China’s domestic supply and the expectation of falling demand, on June 10, PX prices took back its early gains and fell by more than $72/mt in a single day. The market began to worry about whether this was a short-term correction or the beginning of the decline trend. In terms of the current supply and demand structure at home and abroad, the consumption in North American is still the key factor supporting PX prices, and it is estimated that the fall in PX price is still a short-term correction.
There were two main drivers for the rise in PX prices. First, the demand for oil blending in North America continued to improve. Second, PX units in Asia were in centralized maintenance, and traders' short covering continued to push up PX prices. Although PX prices has fallen continuously at this stage, the key factors driving the rise of PX have not changed significantly.
At present, crude oil prices are still high, and gasoline consumption in North America remains robust in the peak demand season, which still have strong support for PX. It is reported that the peak season of gasoline consumption in North America will gradually come to an end in September. The earlier rise in PX prices resulted in the narrowing of oil blending profits. However, with the decline in PX prices, the oil blending profit space has recovered. In the context of peak consumption season, if gasoline prices in North America further move up, PX resources in Asia may flow out.

In addition, the overhaul season in Asia has not yet ended, which will continue to affect the PX supply in Asia. At present, SK, S-oil in South Korea and PTT in Thailand are in the maintenance stage, and PX supply will be gradually restored from the end of June to the middle of July. As the current profit of aromatics exceeds that of PX, some PX plants in South Korea run at only 80% operation load, and the supply in Asia is still tight. It predicted that this situation will continue until late July.
With the end of the centralized maintenance in Asia, late July may be the key node for the supply change in the PX market. There is no major change in the supply and demand structure in the Asian market, and there is still some support for PX.
With the normal production of the 900kt/a PX unit at Sinopec Jiujiang Petrochemical, China’s PX supply is increasing. Meanwhile, some scheduled maintenance will be postponed. With the restart of units at Sinopec Yangzi Petrochemical and Hainan Refining and Chemical, the PX output in June is expected to reach 150-200kt. To a certain extent, it can relieve the supply pressure caused by the production reduction in South Korea.

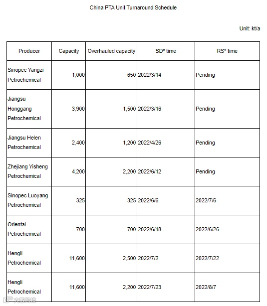
From the downstream, many PTA plants planned to shut units down or take maintenance due to thin profits, such as Hengli Petrochemical, Sinopec Luoyang Petrochemical, Oriental Petrochemical, etc. Up to now, PTA operating rate has been maintained at 76.84%. It is estimated that it will decline to around 72% in July with the increase of unit shutdown.

In conclusion, it can be seen that under the background of changes in domestic PX supply and demand structure, PX prices may show a correction. However, the supply and demand structure of PX in Asia has not reversed. Therefore, it is estimated that this decline is temporary but may be repeated. The basis for the sharp rise in PX prices has weakened, and there may be repeated price shocks.
All information provided by SCI is for reference only, which shall not be reproduced without permission.
Please click "Read more" for the full article.

