当前最热门的Agentic AI应用如ChatGPT Agent能够自主浏览网页并执行复杂任务,而GitHub Copilot正从编辑助手演进为智能伙伴。
当我们热议「AI Agent」「多智能体协作」与「Agentic AI」的同时,也在经历一个更深层次的转变:AI Agent 正逐步从“任务工具”变成“有自主权的经济参与者”。
它们不再只是被动接收命令、调用 API、完成预设任务的自动化工具,而是具备自主判断、协商能力与激励预期的智能体。在面对复杂任务和多方博弈环境时,Agent 不仅能自主制定策略、参与资源配置,还能在虚拟市场中展开协作与竞争,逐步显现出自身的经济行为。
01
什么是「Agent-Centric Economy」?
传统观点认为,只要拥有一个强大的通用模型(如 GPT-4),就可以覆盖一切任务。
但现实任务通常具备以下特点:
高复杂性:跨模态输入、多阶段流程、跨领域知识密集交织;
通用模型高成本:推理耗时、资源消耗大,不适合处理日常事务或结构化任务;
轻量 Agent 更高效:在特定任务中,专用 Agent 更快、更省、更准;
协同成为刚需:许多任务需多个 Agent 跨组织、跨系统协作完成。
所以,Agent-Centric Economy 提出了一种全新的思路:
这里的核心变化在于: 在 Agent-Centric Economy 中,智能体不再是执行脚本的工具,而是具备目标、能权衡得失、主动参与市场协作与竞争的“数字参与者”。
02
Agent Exchange(AEX):AI Agent的"交易所"
在这篇由上海创智学院、上海交通大学和伦敦大学学院(UCL)联合撰写的研究论文《Agent Exchange: Shaping the Future of AI Agent Economics》中,研究者们提出并实现了一个前沿系统:Agent Exchange(AEX)。
这是一个面向 AI Agent经济活动设计的"智能交易所",借鉴了广告行业中的 RTB(实时竞价)机制,允许 AI Agent像 DSP 一样通过竞标任务、分工协作、资源协调与收益分配,构建一个去中心化、市场化、自运行的智能体经济结构。
AEX 将整个系统抽象为四大核心平台:
Agent Exchange 的运行流程包括:
1️⃣ 广播任务请求给多个 Agent Hub;
2️⃣ 接收并汇总各 Hub 提交的投标方案;
3️⃣ 发起实时拍卖机制,根据价格、质量、风险等多维指标评估;
4️⃣ 确定中标方案并协调任务分工;
5️⃣ 在任务完成后,依据价值归因机制(如 Shapley 值)进行收益。
03
示例:当 AI Agent承接一场"北京出差"
论文中通过一个具体任务模拟展示了 AEX 的实际流程:一位用户希望安排一场紧急商务出行,要求:
次日上午出发,48 小时内往返;
经济舱机票,市中心酒店,含早餐与 WiFi;
推荐适合商务洽谈的北京地道餐厅;
总预算控制在 3000 美元以内。
AEX 接收到请求后,向各个 Hub 广播,Hub A、B、C 分别给出不同报价与方案:
Hub A 提供中档航班 + 商务酒店,报价 2800 美元,成功率 85%;
Hub B 提供折扣航班 + 连锁酒店,报价 2150 美元,成功率 90%;
Hub C 提供头等舱 + 高端酒店,报价 5500 美元,成功率 95%。
最终,AEX 根据成本/成功率的性价比评估,选择了 Hub B。随后,该 Hub 内部Agent通过再分配机制,完成机票、酒店与餐饮推荐三项子任务的执行,并在任务完成后通过 DMP 平台完成收益的 Shapley 值分配。
作者们认为,拍卖可能发生在两个不同层级:Hub层的整体方案竞争和Hub内的具体资源分配。
在Hub层,不同的Agent集群会竞争整个项目——比如专做数据分析的Hub和专做内容创作的Hub竞争一个市场调研任务。在Hub内,具体执行单元(各种LLM API、MCP服务器、专门工具)会竞争子任务的执行权。
这两个层级都可以选择"拍卖"或"直接分配",就形成了四种组合:
Hub拍卖+Hub内分配:对应竞争性服务提供商市场,平台通过竞标争取项目,内部通过预定agent分配执行任务
Hub分配+Hub内拍卖:类似外包平台模式,客户直接选择服务提供商,然后内部进行竞争性投标来执行具体任务
双层拍卖:反映复杂的多层市场,涉及大规模项目,既有平台竞争也有内部资源竞争
双层分配:代表长期合作模式和契约关系,平台选择和任务分配都是预先确定的
这四种配置分别对应现实中不同的经济场景和协调需求。当参与者充分时,拍卖机制能够利用市场力量实现最优资源配置;当市场流动性有限时,直接分配机制通过基于能力的匹配和标准化定价来避免低效竞争,确保协调成本不会超过效率收益。
04
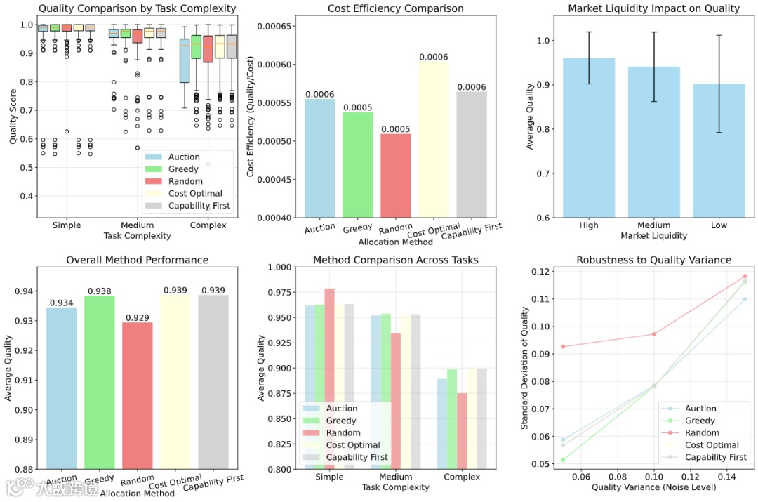
为提供一个结构化的概念验证(Proof-of-Concept, PoC),本节基于单轮(one-shot)任务-智能体分配设定,在受控模拟环境中开展初步实证研究。研究重点在于验证拍卖机制(Auction-based allocation)在理论上是否具备多目标优化能力和系统鲁棒性。
实验围绕四个核心维度展开:任务复杂性、市场状态、Agent 能力结构,以及任务分配策略:
任务复杂性:设置三类任务(简单、中等、复杂),每类任务包含多个具有不同能力需求、权重和复杂性系数的子任务。
市场流动性:模拟三种市场状态(高、中、低),通过控制智能体数量与质量波动来建模竞争程度和不确定性。
智能体构建:实验基于 smithery.ai 注册平台采样了 10 个真实 MCP 服务器,用作实验中的模拟智能体,代表现实部署的能力多样性。
能力表示方法:系统通过关键词匹配分析智能体的功能描述,推测其在各类任务能力上的强项,并将结果转化为标准化的数值向量,用于任务分配。为避免遗漏潜在但未显式声明的能力,每项能力均设定最低评分阈值(θ_min = 0.05)。
分配策略对比:共比较五种任务分配策略:
Auction(拍卖机制):综合能力、质量、成本和时间约束的多属性加权机制;
Greedy Allocation(贪婪策略):优先分配给成功率最高的智能体,设定能力门槛;
Cost-Optimal Allocation(成本最小化):最小化总预算支出,满足能力要求;
Capability-First Allocation(能力优先):最大化任务需求与智能体能力的匹配度;
Random Allocation(随机分配):不考虑任何因素的基线策略。
通过模拟实验,观察到以下关键结果
通过模拟实验,研究者们观察到以下结果:
拍卖机制在多个维度表现均衡:在任务成功率、成本效率与系统鲁棒性等方面,Auction机制整体表现稳健,尤其在复杂任务或低市场流动性场景下具有明显优势;
Cost-Optimal 和 Capability-First的局部优势:虽然Cost-Optimal和Capability-First在特定维度上略优(如成本效率或能力匹配),但它们的表现较为依赖于市场稳定性。
鲁棒性表现:在所有噪声水平下,拍卖机制始终维持较低的标准差,显示出其对环境不确定性的良好适应能力。
这些实验结果验证了AEX框架中拍卖机制的核心理论可行性。在多目标优化方面,拍卖机制表现出了良好的平衡性,尤其在任务分配和协作智能体的贡献归因(基于Shapley值)方面展现了有效性。
然而,当前模拟中的一些理想化假设(如智能体具备完备且准确的信息、智能体能力保持不变、智能体诚实汇报等)与现实市场的复杂性之间仍存在显著差距。
因此,现有结果主要证明了理论上的可行性,而非实际部署的效果。未来的研究需进一步探索系统的可扩展性限制,并深入研究如何在动态智能体环境中建模策略性行为等关键问题,以促进这一框架在实际生产环境中的应用。
05
要实现这一智能体经济愿景仍面临诸多挑战:
协作价值归因是最核心的难题——当多个智能体协作完成复杂任务时,如何公平分配价值贡献?论文提出了基于Shapley值的解决方案,但实际应用中还需处理智能体能力动态变化、协作中的学习效应、以及难以量化的"软贡献"等复杂情况。
标准化能力验证框架同样关键。在开放的智能体市场中,如何建立统一的能力描述标准,让异构智能体能够相互理解和协作?这不仅是技术问题,更涉及跨组织的行业标准制定和治理机制建立。
自适应协调协议设计面临规模化挑战。当智能体数量达到数万级别时,如何确保协调机制的可扩展性和稳定性?如何在复杂动态环境中实时做出最优协调决策?这需要在博弈论、机制设计、分布式系统等多个领域的深入研究突破。
Agent Exchange的提出是一个前所未有的探索:它不仅为AI Agent之间的协作提供了技术运行机制,更重要的是提出了一种制度化的"去中心化智能体经济"框架。
在大模型集中化发展路径之外,AEX为我们展示了另一种可能:无需依赖单一的"超级大脑",分布式的智能体们通过市场机制彼此博弈、协作,在竞争中"谋生",最终组成一个自运行、可持续发展的智能生态系统。这种模式有望释放更多元化的AI创新潜力,让不同规模的组织和个人都能参与到智能经济中来。
从理论到实践的转变充满挑战,正如论文中所提到的,这些挑战恰是制度设计与技术创新的契机。AEX 展示了 AI 发展的新方向:不仅是技术创新,更是在构建一个由智能体组成的经济和社会系统,值得我们不断深入探索。
📚 参考信息
本研究成果基于上海创智学院多智能体系统研究项目,工作聚焦于多智能体在任务协作、资源竞标与激励对齐中的行为建模与制度机制,提出一种去中心化的 Agent 市场框架,探索 AI Agent 参与经济活动的新范式。
论文标题:Agent Exchange: Shaping the Future of AI Agent Economics
作者:Yingxuan Yang, Ying Wen, Jun Wang, Weinan Zhang
链接:https://arxiv.org/pdf/2507.03904

