为计算一条船的CII等级,需要了解的是该船的船型、吨位大小(DWT或GT)、年度航行距离、年度燃油消耗量(二氧化碳排放量)。
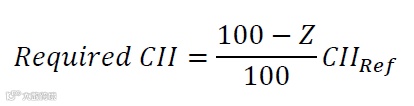
然后根据吨位(Capacity)计算出CII ref,这个𝐶𝐼𝐼 𝑟𝑒𝑓体现的是2019年的基准:


来自:大连海事大学 张爽绿色航运研讨会分享资料


而同样在9月份,一贯以船舶价值评估而闻名的海事平台VesselsVlaue也推出了船舶运营碳强度指数(CII)新功能,作为其绿色产品的扩大。
本周重要资讯概览
设计研发与认证
1、10月11日,美国船级社ABS宣布授予大宇造船海洋工程有限公司(DSME)混合动力系统的原则批准(AIP),该系统之前仅应用于的小型船舶,现在同意可以应用到大型液化天然气(LNG)运输船。

2、近日,在巴哈马注册成立的 Veer Corp获得美国船级社 (ABS) 对其新外观集装箱船设计的原则性批准 (AiP),并表示现在的目标是到 2024 年建造两艘此类船舶并下水。这艘100米长的船只配备了风帆和绿色氢燃料电池发动机。

3、10 月 11 日,韩国造船和海洋工程 (KSOE)与能源公司壳牌、斗山燃料电池、HyAxiom 和挪威船级社DNV 签署了联合协议。建造一艘使用600KW 高效固体氧化物燃料电池(SOFC) 的大型LNG 运输船,交由壳牌运营。

4、10月10日,劳氏船级社 (LR) 宣布和专门从事绿色技术和自动化的海洋技术公司 Triumph Energy (Triumph)签署了一项新的联合开发项目 (JDP),以确保船舶的建造和运营可持续。此次合作将为海上能源、海工和可再生能源领域使用的船舶制定新的ShipRight程序。
5、近日,澳大利亚造船企业Incat Tasmania 宣布与ABB正在探索建造具有混合电力推进的渡轮,当岸上充电可用时,该渡轮可以切换到到全电池供电。

6、10月13日,大宇造船与海洋工程公司 (DSME)与CB&I 签署了一份谅解备忘录,以合作为大型LH2运输船项目开发液氢 (LH2) 围护系统。

7、瑞典渡轮公司Gotland近日披露了一种名为Gotland Hydrocat的船舶概念,据称是全球首艘无化石氢动力的大型高速双体船。

新船建造与交付
1、立陶宛船舶设计公司Western Baltic Engineering宣布与安道尔电池制造商AYK Energy 签署了合作伙伴关系,加速为立陶宛内陆水道管理局建造第一艘名为ELECTRIC EEL的电池动力船。

2、市场消息,太平洋气体船(香港)控股有限公司(Pacific Gas)近日与江南造船厂达成新造船协议,寻求订造四艘乙烷双燃料超大型乙烷运输船 (VLEC)。

3、10月12日,新时代造船举行船舶签字交付仪式,向新加坡船东EPS公司交付了210000吨双燃料动力散货船。

4、近日,全球第三大邮轮公司诺唯真邮轮控股(NCLH)总裁兼首席执行官Frank Del Rio表示,该公司正考虑将在建邮轮改装为甲醇双燃料动力。

5、10月14日,瑞典船东Furetank宣布已同意将其两艘双燃料油轮出售给芬兰炼油商Neste。这两艘船计划将于2023年10月和2023年12月交付。

替代燃料
1、10月12日,日本综合贸易公司丸红株式会社在包租的乙烯运输船GasChem Dollart轮上使用混合生物燃料进行了从荷兰弗利辛根到美国德克萨斯州摩根角的试航。

2、10月12日,中远海运重工“氨动力双燃料发动机及供应系统研发和示范应用专项”科研项目取得重大进展,项目首型氨柴双燃料性能试验机在上海交通大学动力装置及自动化实验室成功点火和氨动力船舶和供氨系统设计AIP发布仪式。

3、10月13日,荷兰燃料供应商Titan宣布正在阿姆斯特丹港建造一个年产20万吨的液化生物甲烷工厂(LBM)。该工厂与BioValue和Linde Engineering合作建造,计划与2025年投产,可为液化生物甲烷(LBM)动力船提供燃料。

脱碳技术
1、10月10日,GTT与招商局重工江苏有限公司(CMHI Jiangsu)签署了技术支持和许可协议,该公司是中国三大造船集团之一招商局工业控股(CMI)的子公司,许可造船厂能够使用GTT膜技术建造船舶。

2、10月11日,韩国造船商大宇造船与海洋工程公司(DSME)宣布已在一艘LNG运输船上完成了对其碳捕集和储存技术的验证测试。

3、10月11日,Berg Propulsion表示,在对瑞典渡轮公司Stena Line在1983年的投入使用Stena Danica轮完成螺旋桨叶片更换项目后,该船的油耗实现“大幅”降低。

绿色港口
1、10月11日,鹿特丹港宣布将于西班牙能源公司Cepsa共同努力,在欧洲两个主要港口鹿特丹和阿尔赫西拉斯之间之间建立第一个绿色氢走廊,确保的绿色氢供应链。

2、10月12日,比利时北海港和瑞典哥德堡港签署协议将打造绿色航运走廊,目标是到2025 年为货轮提供替代燃料。

3、10月14日,美国邮轮公司皇家加勒比集团透露其计划在加尔维斯顿港开设一个新的邮轮码头,该码头将通过现场太阳能电池板产生100%的所需能源。

研究报告
1、英国的研究和咨询公司海事战略国际(MSI) 在其最新的集装箱船行业季度报告中,比较了亚洲内部和地中海内部两个主要区域市场的船队更换趋势,并表示新的环保法规可能导致地中海支线船短缺。
2、10月7日,全球工业联盟在IMO Norway GreenVoyage2050项目下发布了《船舶能效技术选择实用指南》,以支持低碳航运 (Low Carbon GIA)。

3、10月10日,马士基·麦克-凯尼·穆勒零碳航运中心在其船舶脱碳解决方案系列中发表了第二篇研究论文,重点关注减少船上的甲烷排放。研究表明,在没有强有力的激励措施或监管要求的情况下,燃烧 LNG 等甲烷燃料的船舶的船东不太可能投资甲烷减排技术。
4、10月11日,ABS总裁兼首席执行官Christopher J. Wiernicki在2022 SHIPPINGInsight 会议上的主题演讲中强调了公私合作伙伴关系在2050年实现航运净零排放方面的决定性作用。同时在会议上,ABS发布了行业报告《绿色航运走廊——利用协同效应》,该报告对绿色走廊进行了深入探讨,深入解释对航运脱碳的关键贡献,同时强调了与能源中心的联系。

5、10月13日,DNV船级社发布了《2022年能源转型展望》。

脱碳数字化
1、近日,BW LNG宣布与TotalEnergies 、Nautilus Labs合作,以减少排放并优化船舶航行。

2、在本周的SHIPPINGInsight会议上,美国海事科技公司Nautilus Labs宣布和OrbitMI建立了战略合作伙伴关系,旨在管理数据集成、运营流程和优化。

3、近日,英国航运数字化公司StratumFive在其Podium5航行信息平台中增加了排放监测和报告模块。

其他资讯
1、10月11日,新加坡财政和交通部高级政务部长徐芳达(Chee Hong Tat)在第12届SMI论坛上宣布,新加坡海事学会(SMI)向南洋理工大学(NTU)额外拨款1200万新元(约合 830万美元),以支持海上脱碳项目。

2、10月11日,美国海岸警卫队商业法规和标准主管 Jeffrey Lantz在2022年SHIPPINGInsight 会议上对全球航运监管机构将采用2050年零碳目标表示信心,并表示国际海事组织需要在替代燃料安全方面加快行动。



