经常有船东来咨询我们,跑俄罗斯航线的船舶除了要购买传统的船壳险、保赔险等,还需要另外加保哪些险种。在此,我们简单梳理如下:
1、特战险:
众所周知,自2022年4月4日起,俄罗斯全境以及亚速海和黑海水域已经被联合战争委员会列为战区,驶往这些区域的船舶要加保特战险。附件一为最新版的战区名单。按照战争险保险人的要求,如果船舶将要驶入战区,需要在年度普战险的基础上加保特战险。特战险是按照航次收费,特战险是普战险的附加险。一般战争险保险人提供特战险的前提是询价船舶的普战险也在该保险人处承保,但是也有个别保险人可以只提供特战险。一般保险经纪人会为船东提供多家特战险方案的对比分析,详情可咨询各自的保险经纪人。

2、冰区险:
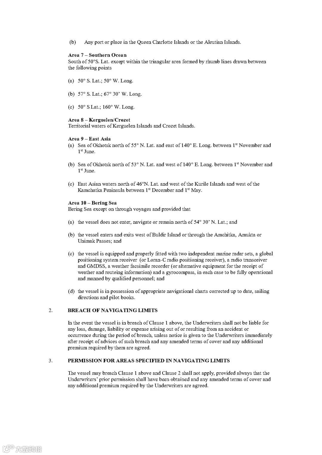
在远洋船舶的船壳险保单中,保险人通常会附加航行范围条款,目前普遍适用的是03版的国际航行范围条款,即“International Navigating Conditions 2003”(详见附件二)。俄罗斯的部分水域属于该航行范围条款中列明的冰区。如果船舶在该条款中限定的时期内驶入上述冰区,需要提前获得保险人的同意并加保冰区险后,才能得到冰区航行保险保障。保险公司基本不会单独承保冰区保险,而是作为船壳险的附加险来承保,冰区保险需要按单航次进行投保,保险公司会根据航行区域、航行季节等因素核定加费费率。冰区保险是对航行区域的扩展,保险责任范围与主险一致。
需要注意的是,“International Navigating Conditions 2003”是通过对经纬度和航行时间的限定来界定冰区范围。在限定为冰区的时间范围内,如果船舶要开往冰区,船壳险保单中的航行范围是剔除冰区的,即船壳险中不承保被保险船舶在冰区内发生的任何损失或责任,即使造成事故的原因与当地的冰无关。被保险人只能通过加保冰区险获得冰区航行的保险保障。
3、其他 :
受欧盟及美英对俄罗斯制裁的影响,部分保险人所提供的船壳险或保赔险保单中剔除了俄罗斯水域。在此情况下,在俄罗斯航次开始前,船东应提前与保险人沟通加保俄罗斯航次或在其他保险人处购买补充保险,以确保俄罗斯航次有充分的保险保障。
另外,我们也再次提醒船东朋友们注意,随着欧盟及美英不断加大对俄罗斯制裁力度,部分保赔协会/保险人(主要是在欧盟注册,或有欧盟背景,或再保人有欧盟背景)已明确表示他们不得不严格遵守欧盟的制裁条款,不再为去俄罗斯的航次提供任何保险保障,即使该航次贸易链上的任何一方都没有违反制裁。虽然也有部分保赔协会/保险人表示可以继续承保去俄罗斯航次,但他们也特别强调:
(a) .承保的前提是俄罗斯航次贸易链上的所有相关方均不在美国、英国和欧盟的制裁名单中。
(b) .如果涉及俄罗斯的航次不幸发生了案件,需要保险人指派通代、安排检验、出具担保或支付赔款,受银行及其再保人等多方面的限制,可能无法操作,存在极大的不确定性,船东对此要有充分的心理准备。
(c) .去俄罗斯的航次仍要根据之前的政策提前向保险人进行报备。
(d) .对于去俄罗斯拉石油的油轮,需遵守欧盟、七国集团及澳大利亚发布的对俄石油限价令。如有违反,可能会导致船舶的保险或再保险受到影响。
因此,对于不得不执行的俄罗斯航次,建议船东朋友们除了对航次信息要做充分、彻底的尽职调查外,还要通过各种渠道了解港口当地的局势和最新的政策要求,综合评估航次风险,谨慎行事,并且一定要提前与各自的保险人或保险经纪人联系,确保整个俄罗斯航次的保险完整有效。
以上,仅供参考,具体请以各保险公司/保赔协会及相关权威机构的官方信息为准。如有问题,欢迎随时与我司联系,电话:0532-82971085,邮箱:marine@tnzconsult.com,claim@tnzconsult.com。
附件一




附件二




