法国国家食品环境与劳动卫生署(ANSES)实验室首次针对法国市售饮料的微塑料污染展开系统研究。通过对水、可乐、茶饮、柠檬水、啤酒及葡萄酒六类饮料的检测,发现微塑料污染普遍存在,其中玻璃瓶装饮料污染水平显著高于其他包装。数据显示,水、可乐、茶饮、柠檬水、啤酒和葡萄酒的平均微塑料浓度分别为2.9±0.7 MPs/L、31.4±16.0 MPs/L、28.5±13.1 MPs/L、45.2±21.4 MPs/L、82.9±13.9 MPs/L及8.2±3.3 MPs/L。
污染特征与包装关联性
显微傅里叶变换红外光谱(μFT-IR)分析表明(图1),96.9%的微塑料呈碎片状,聚酯类聚合物(含PET及醇酸树脂)在玻璃容器饮料中占比最高,尤其在茶饮(26.3 MPs/L)、柠檬水(28.5 MPs/L)、可乐(33.2 MPs/L)和啤酒(95.9 MPs/L)中显著富集。聚烯烃类虽广泛存在于各类包装,但在玻璃瓶装饮料中浓度可达24.7 MPs/L。
图1. 不同饮料中按聚合物类别划分的平均微塑料污染水平变化(单位:MPs/L)
注:n表示分析样本数;NI代表未鉴定物质;Cubi代表立方袋包装。
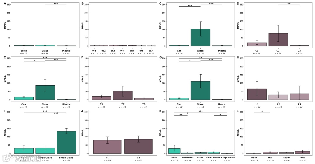
对比不同包装的污染水平(图2)发现,玻璃瓶装饮料污染最为严重:可乐(103.4±44.1 MPs/L)、茶饮(86.3±35.3 MPs/L)、柠檬水(111.6±41.1 MPs/L)及小型玻璃瓶啤酒(133.7±15.9 MPs/L)的污染值均远超塑料瓶或易拉罐。葡萄酒因使用软木塞替代金属瓶盖成为例外,其砖盒包装污染最高(30.0±16.9 MPs/L),玻璃瓶装仅5.3±2.0 MPs/L。塑料瓶与易拉罐的污染无显著差异,例如可乐在两类包装中分别为2.1±0.7 MPs/L和3.4±2.1 MPs/L。
图2. 各类饮料的微塑料污染水平(单位:MPs/L)
A、B:水;C、D:可乐;E、F:茶;G、H:柠檬水;I、J:啤酒;K、L:葡萄酒。
· 绿色柱状图表示不同包装类型的污染对比(A、C、E、G、I、K)
· 褐色柱状图表示不同品牌的污染对比(B、D、F、H、J、L)
注:n表示分析样本数;星号标注显著性差异(* p值<0.05;** p值<0.01;*** p值<0.001)。
瓶盖涂层剥落被确认为核心污染途径
通过实验验证(图3),玻璃瓶盖外层的聚酯基涂料在运输储存中因摩擦脱落,其颜色与饮料中微塑料颗粒完全匹配。研究者将清洁玻璃瓶注入过滤水并加盖新瓶盖后,检出287.3±81.4 MPs/L黄色颗粒;提前对瓶盖吹扫可使污染降至105.8±32.1 MPs/L,而增加水-乙醇-水冲洗步骤后进一步降至86.7±42.3 MPs/L(图4)。冲洗液中每个瓶盖平均残留47.8±12.6个黄色颗粒,综合表明涂层剥落是主要污染机制。
图3. 新瓶盖外表面裂痕观察(A列)与内表面黄色颗粒观察(B列&C列)
注:柱状图展示瓶盖不同部位的微观特征。
图4. 不同瓶盖处理方式下的黄色涂料颗粒污染水平(单位:MPs/L)
实验组:未清洁瓶盖封装、吹扫瓶盖封装、吹扫+冲洗瓶盖封装
注:每组进行10次重复测试;星号标注显著性差异(** p值<0.01;*** p值<0.001)。
其他影响因素与局限
研究还发现,无甜味剂可乐污染水平(48.5±30.6 MPs/L)显著高于含甜味剂产品(14.3±6.2 MPs/L)。矿泉水微塑料浓度(3.7±1.0 MPs/L)高于泉水(1.6±0.6 MPs/L),气泡水(3.4±1.0 MPs/L)略高于静水(2.4±0.9 MPs/L)但差异不显著。论文指出当前微塑料检测缺乏全球统一标准,且未评估健康风险。实验仅针对单一批次样本(每品牌6个重复),未来需扩大样本量提升代表性。欧盟2024年新规虽要求检测饮用水微塑料,但尚未覆盖其他饮料。
该研究为包装材料改进提供了关键依据,首次揭示法国市售饮料微塑料污染的全景。


