

2023年,国家对乡村振兴战略提出了更高更具体的要求,提出要全面推进乡村振兴,并配套多项惠农项目和奖补资金,广大乡村迎来千载难逢的发展大机会!把握好政策红利,了解乡村振兴项目申报立项的绿色通道、补贴政策、申报材料、项目要求、认定标准等内容,对乡村发展、市场主体都是重要的机遇。
一、乡村振兴专项债
【分类】
(一)地方政府专项债券(省级地方政府发行)
(二)“三农”专项金融债(商业银行发行)
(三)乡村振兴公司债
(四)乡村振兴票据
【申报流程】
项目主管部门和项目单位根据本行业事业发展规划、项目前期准备等情况筛选具备专项债发行条件的项目,分别通过财政部门“地方政府债务管理系统”和发改部门“国家重大项目库”,将项目需求逐级上报至财政部、国家发展改革委审核后,财政部、国家发展改革委将审核结果反馈至地方;
【支持领域】

二、中央财政衔接推进乡村振兴补助资金
【资金总额】
1650亿
【审批权限】
下放到县级,强化县级管理责任,县级可统筹安排不超过30%的到县衔接资金,支持非贫困村发展产业、补齐必要的基础设施短板及县级乡村振兴规划相关项目。
【使用范围】
(一)支持巩固拓展脱贫攻坚成果
1、健全防止返贫致贫监测和帮扶机制,加强监测预警,强化及时帮扶,对监测帮扶对象采取有针对性的预防性措施和事后帮扶措施。安排产业发展、小额信贷贴息、生产经营和劳动技能培训、公益岗位补助等支出。
2、“十三五”易地扶贫搬迁后续扶持。对规划内的易地扶贫搬迁贷款和调整规范后的地方政府债券按规定予以贴息补助。
3、外出务工脱贫劳动力(含监测帮扶对象)稳定就业,可对跨省就业的脱贫劳动力适当安排一次性交通补助。采取扶贫车间、以工代赈、生产奖补、劳务补助等方式。继续向符合条件的脱贫家庭(含监测帮扶对象家庭)安排“雨露计划”补助。
(二)支持衔接推进乡村振兴
1、支持农业品种培优、品质提升、品牌打造。支持必要的产业配套基础设施建设。支持脱贫村发展壮大村级集体经济。
2、补齐必要的农村人居环境整治和小型公益性基础设施建设短板。主要包括水、电、路、网等农业生产配套设施,垃圾清运等小型公益性生活设施。
3、实施兴边富民行动、人口较少民族发展、少数民族特色产业和民族村寨发展、困难群众饮用低氟边销茶,以工代赈项目,欠发达国有农场和欠发达国有林场巩固发展,“三西”地区农业建设。
(三)巩固拓展脱贫攻坚成果同乡村振兴有效衔接的其他相关支出。
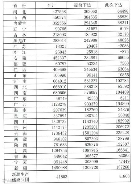
2023年中央财政衔接推进乡村振兴补助资金分配表
单位:万元

2023年中央财政衔接推进乡村振兴补助资金(激励资金)分配表
单位:万元

三、国家级农业产业强镇
【主管部门】
农业农村部乡村产业发展司
【申报时间】
每年3-4月
【申报主体】
县(市、区)级人民政府(乡镇人民政府为实施主体)
【激励政策】
1000万元资金支持(分2年奖补,第一年安排30%补助资金;第二年对达到建设标准的,安排后续奖补资金,对达不到建设标准的取消示范资格,不再安排奖补资金)
【项目要求】
1、主导产业应明确为1个优势明显的农业产业,东、中、西部地区镇域主导产业全产业链产值应分别达到2亿元、1.5亿元、1亿元(新疆、西藏及其它地区的已摘帽国家级贫困县可放宽条件)。
2、东、中、西部农产品加工业产值与农业产值比分别达到2∶1、1.8∶1、1.6∶1以上(对国家级贫困县,新疆维吾尔自治区、西藏自治区及新疆生产建设兵团不作要求)。
3、城关镇、开发区、街道办事处、国家现代农业产业园所在地不列入推荐范围。
4、中央财政通过以奖代补等方式对农业产业强镇示范建设予以适当支持,按照填平补齐的原则,集中用于扶持壮大乡土经济、乡村产业,推进产业融合发展,推动建立现代农业产业体系。
四、国家级现代农业产业园
【主管部门】
农业农村部发展规划司
【申报时间】
每年3-4月
【申报主体】
县(市、区)级人民政府
【激励政策】
1亿元资金支持(批准创建下发30%,通过中期评估安排30%,通过评价认定后下达剩余奖补资金)
【项目要求】
1、主导产业特色优势明显,原则上数量为1~2个,产值占产业园总产值的比重达50%以上。
2、规划布局科学合理,已制定产业园专项规划,形成园村一体、产村融合的格局。
3、建设水平区域领先,高标准农田占比较高,主要农作物耕种收综合机械化率高于本省平均水平,现代要素集聚能力强,生产经营体系完善。
4、绿色发展成效突出,生产标准化、经营品牌化、质量可追溯,产品优质安全,绿色食品认证比重较高。
5、带动农民作用显著,园区农民可支配收入原则上应高于当地平均水平的30%。
6、政策支持措施有力,政策含金量高,有针对性和可操作性。
7、组织管理健全完善,形成了产业园持续发展的动力机制。
五、国家级优势特色产业集群
【主管部门】
农业农村部乡村产业发展司
【申报时间】
每年3-4月
【申报主体】
省(自治区、直辖市)级人民政府
【激励政策】
每个集群1.5亿元资金支持(省厅统筹分配)
【项目要求】
1、所选产业应是省级政府确定重点发展的主导产业,已列入省级“十四五”农业农村发展规划优先支持范围。
2、主导产业省内全产业链产值应达到100亿元及以上,新疆、西藏可放宽至50亿元。
3、全省范围内应有多家从事主导产业的国家级或省级农业产业化重点龙头企业带动。
4、优势特色产业集群应将其主导产业落实到具体品种类别,不得笼统地将水果、畜禽、水产等综合性行业作为主导产业。
5、涉及国家现代农业产业园、优势特色产业集群、农业产业强镇布局区域有重合的,原则上使用中央财政资金叠加投资比例累积不超过20%。
六、全国乡村旅游重点村
【发布部门】
文化和旅游部、国家发改委
【申报主体】
全国乡村旅游重点村遴选对象为行政村或自然村。全国乡村旅游重点镇(乡)的遴选对象为乡、民族乡、镇等乡级行政区划单位。
【扶持政策】
在旅游规划、创意下乡人才培训宣传推广、资支持等方面
对全国乡村旅游重点村和精品项目予以支持。
未来5年,中国农业银行将向重点村提供人民币1000亿元意向性信用额度。
【遴选标准】
(一)文化和旅游资源富集:具有一定的历史价值文化价值或科学价值。有自然或人文的乡村旅游核心吸引物。
(二)自然生态和传统文化保护较好:对自然生态、田园风光、传统村落、历史文化、民族文化等资源的保护较好,注重文化挖掘和传承,建筑风貌具有地域特征、民族特色。
(三)乡村民宿发展较好:乡村民宿,注重创意设计,凸显地域文化特色。民宿产品能够在特色餐饮、文化体验、休闲娱乐等方面满足游客需要。
(四)旅游产品体系成熟、品质较高:已开发出乡村民宿、观光度假、农事体验、乡土美食或文创产品等具有独特风格的成熟旅游产品。
(五)基础设施和公共服务较完善:交通设施完善,村内游览路线布局合理、顺畅,标识标牌系统相对完善。有信息咨询、智慧旅游、旅游投诉、宣传展示、游客游憩、便民服务等游客服务设施。村内公共厕所布局合理。
(六)就业致富带动经济、社会、发展效益明显:能够较好吸纳本地村民就业。
七、国家森林乡村
【发布部门】
国家林业和草原局
【申报主体】
行政村
【激励政策】
挂牌宣传,专有标语标识
【认定程序】
采取推荐、评审和认定相结合的方式。
【项目要求】
(一)乡村自然生态风貌保护。采用村庄风貌原真性、生物多样性保护、自然景观保护、人文历史遗迹保护等4项指标进行评价。
(二)山水林田湖草系统治理。采用村庄规划布局、生态修复治理、生态防护功能3项指标进行评价。
(三)森林绿地建设。采用林木覆盖率、四旁绿化、宜林地绿化、庭院绿化、乡村公园绿地5项指标进行评价。
(四)森林质量效益。采用森林健康状况、森林结构、树种丰富度、涉林收入水平、涉林就业情况5项指标评价森林质量及其生态经济社会效益。
(五)乡村绿化管护。采用制定村规民约、林业有害生物防控、森林火灾防控、防止乱砍滥伐4项指标进行评价。
(六)乡村生态文化。采用挖掘保护生态文化历史、继承弘扬传统生态文化、植绿爱绿保护生态环境意识、人居环境整治效果4项指标进行评价。
八、国家级农业现代化示范区
【主管部门】
农业农村部发展规划司
【申报时间】
每年7-8月
【申报主体】
县(市、区)级人民政府
【激励政策】
择优给奖补资金;整县申报、其他优惠政策优先向其倾斜
【项目要求】
1.分区分类建设示范区
在黄淮海平原粮食主产区,创建一批以粮食产业为重点的示范区。特色农产品优势地区,创建一批以优势特色产业为重点的示范区。在大中城市郊区和东部沿海发达地区,创建一批以都市农业和智慧农业为重点的示范区。在脱贫地区,创建一批以“小而精”特色产业为重点的示范区。
2.创建条件
生产基础较好、装备水平较高、产业链基本健全、经营体系较为完备、农业环境较为友好、政策支持保障有力。
九、国家级农业科技园区
【主管部门】
科技部
【申报时间】
每年10-11月份
【申报主体】
园区所在地人民政府
【激励政策】
其他优惠政策优先向其倾斜
【项目要求】
1、园区申报单位要落实好主体责任,统筹推动园区建设,形成长效管理机制;
2、有明确的主导产业,注重发展区域特色优势产业,积极引进培育高新技术企业和龙头企业;
3、核心区、示范区、辐射区规划合理,核心区四至范围明确、总面积1万亩以上、区块数量不超过2个;
4、建有科技创新创业创造服务平台,应具有较强的科技创新、成果转化和创业服务能力;
5、强化园区对创新型县(市)和扶贫等工作的支撑作用,同等条件下,优先支持建设核心区位于创新型县(市)或国家级贫困县的园区。
十、国家级田园综合体
【主管部门】
财政部农业司协同国家农发办
【申报时间】
每年6月底前
【申报主体】
县(市、区)人民政府
【激励政策】
以奖代补,三年每年6000-8000万元政策支持
【项目要求】
1.七大必备条件
功能定位准确、基础条件较优、生态环境良好、政策措施有力、投融资机制明确、运行管理顺畅、带动作用显著。
2.不予立项的六类情况
未突出以农为本,项目布局和业态发展上与农业未能有机融合,以非农业产业为主导产业;不符合产业发展政策;资源环境承载能力较差;违反国家土地管理使用相关法律法规,违规进行房地产开发和私人庄园会所建设;乡、村举债搞建设;存在大拆大建、盲目铺摊子等情况。
十一、国家农村产业融合发展示范园
【主管部门】
国家发展改革委主导,会同其他六部委发布
【申报时间】
每年2-4月
【申报主体】
区县或地市人民政府(视所属级别)
【激励政策】
4000万元政策支持
【项目要求】
按照“当年先创建、次年再认定”的原则。
1、原则上县(市)级政府是拟创建示范园的申报主体;优先支持农村产业融合发展试点示范县创建农村产业融合发展示范园;
2、已成立由本级政府主要领导挂帅的领导小组,并明确具体的示范园管理机构;
3、具备较好的产业融合发展基础或特色产业优势,且建设示范园的意愿明确;
4、示范园发展思路清晰、功能定位明确,用地符合国土空间规划,具有较强的示范、引导和带动作用;
5、各省(区、市)根据上述要求,结合本地实际细化确定的具体创建条件。
十二、国家级绿色种养循环试点
【主管部门】
农业农村部种植业管理司肥料与节水处
【申报时间】
每年4-6月份
【申报主体】
县(市、区)人民政府
【激励政策】
1000万元资金支持
【项目要求】
1、耕地、水、气候、生物等重要农业资源底数清晰,基本形成与资源环境承载力相匹配、与生产生活生态相协调的农业发展格局。
2、科学使用化肥农药,推进农业投入品减量增效,实现农药化肥使用负增长。实行种养结合,发展循环农业,推进畜禽粪污、秸秆、农膜等农业废弃物资源化利用,畜禽粪污资源化利用率、秸秆综合利用率高于本省及全国平均水平,分别达到70%和83%以上。
3、近两年农产品质量安全例行监测总体抽查合格率不低于97%,没有发生重大农产品质量安全事件;绿色、有机、地理标志农产品认证比例达到10%以上。
4、有稳定的技术依托单位,在技术模式引进、集成创新、先行先试、示范推广等方面路径清晰、科学合理。
5、政府重视,建立先行区建设组织领导及部门间分工协作协调机制,编制完成先行区建设规划及实施方案,出台支持先行区建设的政策性文件,整合资源用于先行区建设。
十三、中国特色农产品优势区
【主管部门】
农业农村部主导,会同国家林业和草原局六部委
【申报时间】
每年8-9月份
【申报主体】
原则上以县(市、区,林区,垦区)人民政府为单位申报。区域内特色主导品种相同、获得同一地理标志认证(登记)的地级市可单独申报,地级市区域内的部分县(场)也可联合申报。
【激励政策】
加大对特优区建设的投入、创新特色产业金融政策、完善特优区用地政策等。
【项目要求】
1、产业竞争力突出。特色主导产品在全国具有较强代表性和竞争力,产量或产值在全国同级地区位居前列,具备发展“中国第一,世界有名”的基础条件。
2、市场建设有力。产加销、贸工农一体化协调推进,拥有较高影响力的农(林)产品区域公用品牌。
3、推进措施务实。地方人民政府高度重视特色产业发展,在产业扶持政策等方面措施有力,取得较好成效。
4、示范作用明显。在特色产业生产基地、加工基地、科技支撑体系等方面示范作用明显,具有较强带动作用。
5、符合相关法律法规和国家政策要求。
十四、全国休闲农业重点县
【主管部门】
农业农村部乡村产业发展司休闲农业处
【申报时间】
每年4-6月份
【申报主体】
县(市、区)人民政府
【激励政策】
统筹资金安排,加大支持力度
【项目要求】
1、资源优势明显。具有世界知名自然文化资源、全国独特自然文化资源、区域鲜明自然文化资源。
2、设施条件良好。基础设施完备、融入活态元素、村容村貌整洁。
3、产业发展领先。产业规模成型(东部地区年接待游客200万人次以上,中部地区150万人次以上,西部地区100万人次以上,近三年游客接待数和营业收入年均增速均超6%)、业态活跃丰富(农家乐、乡村民宿、休闲观光园区、休闲农庄、休闲乡村、康养和教育基地等业态至少具有五项上述类型,分布在县域1/3以上乡镇,全国具有较高知名度的休闲农业和乡村旅游点5个以上)、富民兴农明显(从业人员中农民就业比例达60%以上,农民人均收入高于省内平均水平5%以上)。
4、组织保障有力。规划布局合理、政策体系完善、管理制度健全。
十五、国家农村综合性改革试点
【主管部门】
财政部农业司
【申报时间】
每年5月份
【申报主体】
县(市、区)人民政府
【激励政策】
通过农村综合改革转移支付,每个试点给予1亿元奖补资金。
【项目要求】
聚焦乡村振兴战略目标任务,在确定的试点试验区域内,依托项目建设和运行载体,促进乡村产业高质量发展,建设数字乡村,促进农民增收,改善乡村治理,积极探索创新推动乡村全面振兴的机制和模式。
十六、国家数字农业试点
【主管部门】
农业农村部市场与信息化司
【申报时间】
以每年公布文件为准
【申报主体】
以县为单位组织实施,由县(市、区)级农业(渔业)局或其下属法人单位作为建设单位牵头申报。
【激励政策】
中央预算内投资不超过2000万元,且不超过项目总投资的50%。
【项目要求】
1、实施主体为区域内具有数字农业建设需求的农民合作社、家庭农场、农业产业化龙头企业等新型经营主体。支持国家农业遥感应用等公益性科研单位开展农业遥感数字农业建设试点。
2、实施主体自筹不低于项目总投资40%,并提供出资承诺书。试点项目县市应已通过项目整合或财政配套等方式整合资金支持项目建设。
3、可行性研究报告的编制,应严格按照《农业基本建设项目管理办法》以及相关行业建设标准进行编制。上报可行性研究报告时附带相应材料复印件或说明材料。
十七、国家级农业绿色发展先行区
【主管部门】
农业农村部
【申报时间】
每年3-5月
【申报主体】
县(区、市)人民政府
【激励政策】
其他优惠政策优先向其倾斜
【项目要求】
1、耕地、水、气候、生物等重要农业资源底数清晰,基本形成与资源环境承载力相匹配、与生产生活生态相协调的农业发展格局。
2、科学使用化肥农药,推进农业投入品减量增效,实现农药化肥使用负增长。实行种养结合,发展循环农业,推进畜禽粪污、秸秆、农膜等农业废弃物资源化利用,畜禽粪污资源化利用率、秸秆综合利用率高于本省及全国平均水平,分别达到70%和83%以上。
3、近两年农产品质量安全例行监测总体抽查合格率不低于97%,没有发生重大农产品质量安全事件;绿色、有机、地理标志农产品认证比例达到10 %以上。
4、有稳定的技术依托单位,在技术模式引进、集成创新、先行先试、示范推广等方面路径清晰、科学合理。
5、政府重视,建立先行区建设组织领导及部门间分工协作协调机制,编制完成先行区建设规划及实施方案,出台支持先行区建设的政策性文件,整合资源用于先行区建设。
十八、中国休闲美丽乡村
【主管部门】
农业农村部乡村产业发展司休闲农业处
【申报时间】
每年8月份
【申报主体】
行政村或涉农社区
【激励政策】
统筹资金安排,加大土地、财税等多方面支持力度
【项目要求】
1、特色优势明显。自然环境优美,生态资源丰富,村落民居原生状态保持完整,产业特色突出,一二三产业加快融合,乡村休闲旅游成为乡村经济发展的主导产业之一,就地吸纳农民创业就业容量大。
2、服务设施完善。吃住行游购娱学等休闲旅游要素聚集,观光、餐饮、住宿、体验、康养、文化展示等基础设施功能齐全。
3、乡风民俗良好。制定了村规民约。近3年无群体性上访、恶性治安案件以及集体资产债务纠纷等情况发生,无擅自占用耕地和基本农田行为,未发生破坏生态环境的事件,未发生安全生产事故。
4、品牌效应明显。已获得省级美丽休闲乡村、农家乐聚集村等荣誉,村域内具有不可替代的稀缺资源优势,休闲农业和乡村旅游示范带动作用强。已成为中小学及各类大专院校的培训实训基地或获得省级以上奖励和荣誉称号的优先推荐。
十九、国家级生态农场
【主管部门】
农业农村部科教司
【申报时间】
3-5月
【申报主体】
申请主体须为具有独立法人资格的家庭农场、农民专业合作社、农业企业等新型经营主体,或为从事农产品生产经营的其他类型独立法人
【激励政策】
资金、土地、科技、人才等政策倾斜
【项目要求】
1、基本要求:申请主体登记注册5年以上,无不良信用、违法记录,边界应清晰,土地应集中连片,面积不小于2公顷,要有合法的土地使用权和经营权,具备相应证明文件。
2、环境要求:与污染源的距离应大于2千米,要位于非农产品禁止生产区,且近5年内未发生过污染事故或生态环境破坏事件。农场生态用地面积应占农场总生产面积的5%-15%。养殖区与人居敏感区应符合卫生防护距离要求或采取有效。
3、种植要求+4、养殖要求+5、水产养殖要求:生态农场宜使用本农场或本地的有机废弃物进行堆肥,氮肥用量(折合纯氮)比当季作物高产推荐化肥氮用量减少10%以上;氮肥用量应有25%以上来自有机肥料。应采取合理措施培肥和改良土壤,稳定或提高土壤有机质含量。应采用综合防控措施处理病、虫、草害及外来入侵物种等。
6、种养结合要求:畜禽养殖数量与种植土地面积的配比应符合规定。稻渔综合种养应符合规定。同时种植要求和养殖要求应符合上文提到的相关规定。
7、产品要求:应以农产品生产为主,即农产品生产、加工和销售收入占总销售收入的50%以上,拥有自主品牌,农产品质量应符合食品安全国家标准的规定。如有绿色农产品认证、有机农产品认证和其他认证等应提供认证报告。
8、过程记录要求:应对农业投入品的购买和使用,以及农事操作进行详细记录,初步建立农场质量管理体系和追溯体系。宜配备相关记录人员进行信息记录,并配备监管人员对信息记录进行监管审核。
二十、其他申报产品









