在现代光通信系统中,为提升传输能力,扩展光谱窗口已成为关键需求。近年来,2 μm波段作为下一代通信系统的新兴波长窗口受到广泛关注。尽管基于2 μm波段的半导体激光器、调制器和光电探测器等技术已实现高速数据传输,但在硅光子集成器件的开发中,仍面临诸多挑战。基于多模干涉(MMI)结构的功率分束器在支持多波段操作方面展现出巨大潜力。
使用曼光公司旗下Max-Optics Studio软件,通过FDE模块和EME模块,仿真复现了一种适用于1.55 μm和2 μm双波段的硅基多模干涉MMI分束器,如图 1中流程图所示,先使用FDE模块确定双波长下MMI器件的干涉区域最优宽度和对应的理论长度,再使用EME模块进一步优化器件结构确认MMI干涉区域长度。

图 1 使用Max-Optics Studio优化双波段MMI器件的流程图
曼光科技推出的Max-Optics Studio配备了更直观、更易操作的可视化仿真界面(GUI),集成了高效的设计流程、灵活的参数设置以及丰富的结果分析工具。Max-Optics Studio的主界面可分为几个部分:上部区域为菜单区;左侧为工程对象浏览及参数扫描功能区,中部正中为CAD显示区域,中部右侧为版本信息和结果查看功能区;下部为全局变量设置、数据存储功能区,查看仿真进度。以上默认功能区布局,用户可根据使用习惯灵活拖动后配置。如图 2所示,Max-Optics Studio GUI界面展示了经优化设计后的双波段MMI器件。下文将依次介绍该模型的基础原理、设计流程以及最终仿真结果。

图 2 双波段MMI器件在Max-Optics Studio GUI界面展示
假设一个宽度为WM阶跃折射率多模波导,波导的有效折射率为nr,包层折射率为nc,自由空间的波长为𝜆0。波导中支持多个(v=0,1...,(m-1))横向模式,如图 3所示。其中横向波数kyv和传播常数𝛽v满足以下关系:
k2yv+𝛽v2=k20nr2
fba267b0-d11c-48c5-a7ab-b39288057df7.png" data-type="png" data-w="266" style="" src="https://cdn.10100.com/content/20251218/fba267b0-d11c-48c5-a7ab-b39288057df7.png">
图 3 波导中前9个模式的横向电场强度分布示意图
其中
,
。式中,有效宽度Wev考虑了模场的横向穿透深度,一般可以被近似为基模等效宽度We:
对于波导中的模式,在TE模式下𝜎=0,TM模式下𝜎=1,当满足k2yv<<k20n2r时,通过对传播常数𝛽v进行二项式展开,可将其近似为:

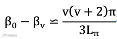
带入上述公式,可得两低阶模式之间拍长L𝜋为:

两个不同阶模式之间的传播常数差可以表示为:

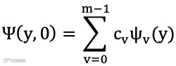
给定一个位于波导的有效宽度We内的输入场𝜓(y,0),在z=0平面上,该场分布可以表示为所有模式场(包括导模和辐射模)分布𝜓v(y)的叠加。通过这种分解,输入场可以表示为波导中支持的各阶模式的线性组合:

根据场正交性关系(Field-Orthogonality Relations),可以得到各阶模式的激励系数cv:

假设输入场𝜓(y,0)主要集中在导模所允许的传播常数范围内。即在波导中未激发辐射模或者泄漏模的非导模,在这种情况下:

在z处的场分布𝜓(y,z)通常可以表示为所有导模场分布的叠加:

代入
:

由公式可以看出,在特定的条件下,可以实现𝜓(y,L)和𝜓(y,0)场分布一致,即自映像效应。在此基础上,结合输入和输出位置场的成像特性,可以推导计算不同类型的MMI相关参数,包括普通干涉(N×N)、配对干涉(2×N)和对称干涉(1×N),此时N为输出位置的N重映像,参数的计算公式如下图 4所示。

图 4 多模干涉机制的规律
本次对 1×2 MMI器件进行了设计,过程中采用了对称干涉模型下的公式。具体设计思路为:当输出端口为2,即输出端口像重数N=2 时,选择在不同波长下的不同次单一映像位置,确保在双波长下能够在相同的位置实现二重映像。具体而言,在𝜆1=1.55 𝑢𝑚和𝜆2=2 𝑢𝑚不同波长下,分别选取不同的单一映像出现次数i(𝜆1)和i(𝜆2),保证在双波长下实现二重映像的位置即实现1×2功率分束器件长度LMMI一致。确保器件能够同时支持这两个波段的高效传输。
FDE 仿真计算MMI 长度原理
本次仿真复现模型的双波段功率分束器基于220 𝑛𝑚厚的SOI 平台。该器件由一个输入端口、一个多模干涉(MMI)段以及两个输出端口组成。
由理论部分对称干涉模型下的公式可知,1×2对称干涉设计的MMI的N-fold像的位置可以根据以下公式计算:

其中,拍长
,neff0和neff1分别是工作波长𝜆下基模和第一高阶模的有效折射率,i为单一映像出现的次数。当公式中N = 2时,光波在两个输出端口间实现均匀分配,从而使MMI器件表现为3 dB功率分束器。
FDE 模块参数扫描仿真流程
使用Max-Optics Studio GUI中的FDE模块,通过Sweep模块对MMI多模干涉区域不同宽度中的基模和高阶模的折射率进行了仿真计算。使用Max-Optics Studio GUI中的FDE模块进行参数扫描具体的仿真流程如下图 5所示。

图 5 Max-Optics Studio GUI中的FDE模块参数扫描仿真流程
FDE仿真结果与分析
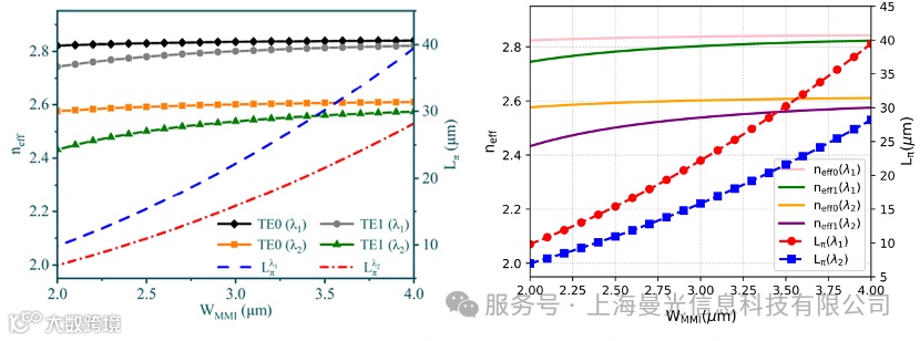
待Sweep扫描完成后,图 6(右)为工作波长𝜆1=1.55 𝑢𝑚和𝜆2=2 𝑢𝑚下的Max -Optics Studio GUI的FDE模块仿真扫描结果,即基模TE0和第一高阶模TE1的有效折射率neff0和neff1随宽度的变化。为了实现紧凑设计,MMI波导的宽度控制在2 µm至4 µm之间。

图6 不同MMI宽度下neff0和neff1,L𝜋的结果。(右)通过Max-Optics Studio GUI的FDE仿真得到neff0和neff1的结果和数据处理后L𝜋结果;(左)文章中结果。
从图中可以看出,不同波长对应的拍长L𝜋通常并不相同。因此,为实现器件在双波段下的良好工作性能,必须保持MMI的长度设计在这两个波长下一致。为此,根据MMI自映像效应合理选择单一映像出现的次数来满足这一需求。然而,由于高次映像的质量会逐渐下降,在设计中仅考虑了前四次二重映像的位置,即i = 0, 1, 2, 3。如下图 7所示,不同波长下合理选择不同次二重映像位置,并根据公式计算对应的映像位置LMMI。

图 7 不同阶次成像不同MMI宽度下LMMI的结果。(左)文章中结果;(右)通过Max-Optics Studio GUI的FDE仿真数据计算结果。
从图 7中可以发现,在1.55 𝑢𝑚波长下的第三次二重映像位置,几乎与2 𝑢𝑚波长下的第四次二重映像的位置重合。这意味着,在进行1×2功率分束时,MMI干涉区域的长度在这两个波长下是相同的。为了进一步确定最佳的MMI干涉区域宽度,计算了𝜆1=1.55 𝑢𝑚的第三次二重映像长度与𝜆2=2 𝑢𝑚的第四次二重映像长度之间的长度差𝛿LMMI,结果如图 8所示。当𝛿LMMI=0时,𝜆1=1.55 𝑢𝑚的第三次二重映像长度与𝜆2=2 𝑢𝑚的第四次二重映像完全重合。得到对应的MMI干涉区域理论最优宽度为WMMI =3.56 𝑢𝑚,此时对应长度约为57 𝑢𝑚。由于文献中缺少关于仿真设置的关键信息,导致根据理论公式计算出的结构参数与文献中给出的结果存在一定偏差,具体分析详见本文最后的补充部分。

图 8 𝜆1=1.55 𝑢𝑚的第三次二重映像长度与𝜆2=2 𝑢𝑚的第四次二重映像长度之间的长度差𝛿LMMI。
EME 模块仿真流程
根据FDE仿真数据计算得到理论上最优的MMI干涉区域宽度数据,然后在Max-Optics Studio的EME模块中对该模型做扫描和仿真以进一步确定实际的最优结构。Max-Optics Studio的EME模块使用流程如下图 9所示。

图 9 Max-Optics Studio GUI中的EME模块仿真流程
EME仿真结果与分析
在Max-Optics Studio中通过FDE计算有效折射率后,根据理论公式计算得到的最优MMI干涉区域宽度WMMI=3.56 𝓊𝑚与对应长度LMMI=57 𝓊𝑚。在此基础上,接下来通过EME仿真对MMI结构的Taper宽度和两个输出端口位置参数进行扫描。当Taper的宽度为1.8 𝓊𝑚,输出两端口距离为1.8 𝓊𝑚时,两输出端口透过率达到了最大值。在此基础上,围绕理论计算得到的MMI干涉区域长度理论值,选取了40 𝓊𝑚至70 𝓊𝑚范围内的长度进行Group Span Sweep。
输入光波长为1.55 𝓊𝑚时,Group Span Sweep结果和切面电场分布如图 10所示,在m1点处,当MMI多模干涉区域长度LMMI=58 𝓊𝑚,输入光波长为1.55 𝓊𝑚时,此时输出端口透过率达到最大值,两个输出端口透过率均为T =0.487。这一结果和论文所设计器件的透过率绝对偏差约0.005。输入光波长为2 𝓊𝑚时,Group Span Sweep结果和切面电场分布结果如图 11所示,在m1点处,当MMI多模干涉区域长度LMMI=58 𝓊𝑚,输入光波长为2 𝓊𝑚时,两个输出端口透过率均为T =0.477。这一结果和论文所设计器件的透过率绝对偏差约0.008。

图 10 输入光波长1.55 𝓊𝑚时(左)1×2 MMI多模干涉区域长度扫描结果;(右)最优长度下z切面下电场强度图。

图 11 输入光波长2 𝓊𝑚
本次仿真使用Max-Optics Studio软件中的FDE、EME模块,仿真复现了1.55 𝓊𝑚和2 𝓊𝑚双波段下的硅基多模干涉分束器件的设计流程,成功实现了在𝜆1=1.55 𝑢𝑚的二重第三次映像位置和𝜆2=2 𝑢𝑚的二重第四次映像位置的长度一致,在1.55 𝑢𝑚波长和2 𝑢𝑚波长下输出端口透过率分别为0.487和0.477。Max-Optics Studio作为一款专业的光学仿真软件,凭借简易的操作、精确的算法和模块的联动,有效地支撑了本次双波段MMI器件设计中的各个关键环节,其中包括通过FDE模块快速求解计算结构内模式,和利用EME模块实现对多模干涉器件的高精度仿真和进一步优化。这些功能模块的无缝结合,大幅缩短了设计周期。
通过FDE模块确定MMI干涉区域宽度和对应长度:通过Max-Optics Studio SDK中FDE模块对MMI结构进行仿真分析,针对MMI干涉区域宽度进行扫描,宽度变化范围从2 𝓊𝑚到4 𝓊𝑚。仿真过程中计算了1.55 𝓊𝑚和2 𝓊𝑚双波段下不同宽度下TE0和TE1的有效折射率。进而计算了不同宽度下的MMI器件多模干涉区域的长度,确定了1.55 𝓊𝑚波长下的第三次二重映像长度与2 𝓊𝑚波长下的第四次二重映像长度之间的长度差𝛿LMMI=0时的最优MMI器件干涉区域宽度WMMI = 3.56 𝓊𝑚,长度约为57 𝓊𝑚。
通过EME模块进一步确定双波长下的MMI器件结构和干涉区域长度:通过Max-Optics Studio SDK中EME模块,对干涉区域宽度WMMI = 3.56 𝓊𝑚,长度约57 𝓊𝑚的MMI结构,使用参数扫描确定了Taper的宽度为1.8 𝓊𝑚,输出两端口距离为1.8 𝓊𝑚。随后,使用EME Analysis中的Group Span Sweep扫描了MMI干涉区域长度。在MMI多模干涉区域长度LMMI=58 𝓊𝑚,输入光波长为1.55 𝓊𝑚时,输出端口透过率为T =0.487。输入光波长为2 𝓊𝑚时,输出端口透过率为T =0.477。
论文中计算𝜆1=1.55 𝑢𝑚的第三次二重映像长度与𝜆2=2 𝑢𝑚的第四次二重映像长度之间的长度差𝛿LMMI的结果如图 12所示,对应的𝛿LMMI=0时干涉区域最佳宽度WMMI为3.1 𝓊𝑚。

图 12 文章中结果𝜆1=1.55 𝑢𝑚的第三次二重映像长度与𝜆2=2 𝑢𝑚的第四次二重映像长度之间的长度差𝛿LMMI。
仿真复现的结果与论文中这一最优宽度存在一定的差异。原因是Mesh精度、材料折射率以及仿真设置的不同,导致在使用FDE模块计算时,得到的有效折射率存在微小偏差。尽管这种偏差较小,但它可能会导致𝛿LMMI的显著变化,下面简单分析一下仿真折射率偏差对该结果进行的影响。





根据仿真结果,a和b的值随干涉区域宽度WMMI的变化如下表所示:

假设a和b的值在此基础上发生波动,波动的范围为0.001~0.000001,随机生成在波动范围内的𝛿变化,即 a=a+𝛿a,b=b+𝛿b。不同波动范围下的𝛿LMMI变化如下图 13所示:

图13 a和b的值在不同波动范围下导致的𝛿LMMI变化。
从图中可以看出,a和b的微小变化(𝛿a,𝛿b)=1e-5内时仍会导致𝛿LMMI的变化达到~0.02,然而本次仿真复现中在WMMI=3.1 𝓊𝑚时,计算的𝛿LMMI′=0.026 𝓊𝑚,文章中给出的𝛿LMMI=0.004 𝓊𝑚,即大约相差了0.02𝓊𝑚。即当折射率差变化在1e-5内,会导致对应的MMI设计宽度发生预期内的偏移。因此,在网格精度、材料折射率等关键信息缺失的前提下,设计器件的结构参数与文中给出的结构参数虽然存在偏差,但仍在合理范围内。
Yi Q, Cheng G, Yan Z, et al. Silicon MMI-based power splitter for multi-band operation at the 1.55 and 2 µm wave bands[J]. Optics Letters, 2023, 48(5): 1335-1338.
Soldano L B, Pennings E C M. Optical multi-mode interference devices based on self-imaging: principles and applications[J]. Journal of lightwave technology, 1995, 13(4): 615-627.
李赵一, 范作文, 丛庆宇, 等. 高均匀性 1× 4 多模干涉耦合器的研究与设计[J]. Study On Optical Communications, 2023, 49(3): 53-59.
/END/
上海曼光信息科技有限公司是一家光电集成芯片全流程仿真设计工具和芯片测试方案提供商,主要业务涵盖仿真设计软件和芯片测试系统两大板块。专注于光电集成芯片、PLC集成芯片、半导体激光器、LED与显示面板、超材料、光学传感等领域仿真设计工具与解决方案的研发与服务。公司提供CPU/GPU混合硬件加速、全云架构仿真平台等高性能计算解决方案,助力客户产品的研发。
点击左下角【阅读原文】 申请软件使用

