引言
随着硅基光电子集成器件(PICs)的快速发展,在高密度集成光路中实现高效的偏振控制成为了一个重要的研究方向。在PICs中,由于波导对偏振的敏感性,光信号的偏振态可能对器件的性能产生影响,因此实现TE和TM模式之间的高效转换对于偏振独立的系统设计至关重要。传统的TE-TM模式转换器大多需要多次掩模和蚀刻工艺来形成波导结构的不对称性,增加了制造的复杂度。该论文[1]研究提出的SiON波导单沟槽模式转换器仅使用单次掩模和蚀刻工艺,通过结构简单的沟槽波导进而实现高效的TE-TM模式转换。
![]()
*本次使用曼光软件Max-Optics Studio 中的FDE模块、EME模块,仿真复现了SiON波导单沟槽模式转换器结构。
摘要
文章中提出了一种仅利用单次掩模和蚀刻工艺制备的SiON单沟槽波导TE-TM模式转换器。该器件通过单一沟槽不对称的结构实现了TE-TM模式偏振转换,且在1.27µm波长下器件具有97%的模式转换效率,15 dB的消光比。此外,测得的器件额外损耗为0.8 dB,包含了沟槽段与无沟槽波导之间的界面损耗以及沟槽波导的传播损耗。
原理
该论文研究通过SiON波导中的单沟槽结构,构造了波导的结构不对称性,进一步实现TE-TM模式转换,沟槽波导结构如图 1所示。
图 1 (a) 文章中SiON波导原理示意图 (b) Max-Optics Studio仿真沟槽波导建模 (c)文章中沟槽波导横截面 (d) Max-Optics Studio沟槽波导横截面折射率分布计算结果.
通过调节沟槽的宽度W1、深度D和沟槽位置,使其中传输的hybrid modes的光轴相对于y-z轴形成了45°的光轴旋转。当入射的TE模式的光信号由对称的SiON波导传播进入沟槽波导时,激发了两个幅值相等的混合模式,将以不同的传播常数𝛽0,𝛽1传播。经过一个半拍长𝜋/(𝛽0-𝛽1)后,这两个模式之间形成𝜋相位差,实现了TE模式到TM模式的偏振旋转。如图2所示为TE模沿x轴入射后,偏振旋转原理的示意图[2]。
图 2 (a)TE入射至无沟槽SiON波导示意图 (b)沟槽波导TE入射端场分量 (c)沟槽波导TM出射端场分量
图 3 沟槽波导入射端Hz分量
。
仿真与参数优化
基于上述原理,根据R参数和转换效率𝑘2对器件结构进行优化。该论文主要在侧壁厚度t=0.2µm,波导宽度W=1.2µm,波导高度H=1µm的结构条件下优化了沟槽宽度W1和沟槽深度D。
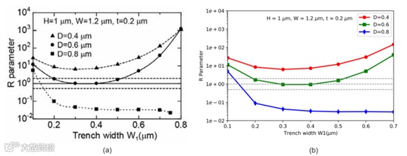
图 4所示为Max-Optics SDK中FDE模块中计算有无沟槽结构的SiON波导中两个hybrid modes电场强度图。图 5(a)为文章中仿真给出的三组不同沟槽深度D,改变沟槽宽度W1计算得到的R参数结果,图 5(b)使用Max-Optics SDK仿真得到的结果。
图 4 Max-Optics SDK中FDE计算有无沟槽结构切面电场强度图 (a) 无沟槽结构中模式 (b)无沟槽结构中模式(c) 沟槽结构中混合模式0 (d) 沟槽结构中混合模式1
图 5(a)为文章中仿真给出的三组不同沟槽深度D,改变沟槽宽度W1计算得到的R参数结果,图 5(b)使用Max-Optics SDK仿真得到的结果。
图 5 R参数随沟槽宽度变化图 (a) 文章结果 (b) Max-Optics仿真结果
图 6中计算了沟槽深度D和R参数的依赖关系。虚线范围, TE-TM 模式转换效率高于90%。0.6µm深和0.35µm宽的沟槽时R=1,可实现高效的偏振旋转。
图 6 R参数随沟槽深度D变化图(a) 文章结果 (b) Max-Optics仿真结果
接下来,根据转换效率𝑘2确定器件长度。如图 7所示,(a)图为文章中仿真和测试不同长度的沟槽波导中TE-TM模式转换效率的结果,(b)图为使用Max-Optics SDK仿真得到的数据后处理后得到的结果。由图可知,理论上当沟槽波导长度到达0.6mm时,能够实现TE到TM的100%模式转换率,文章中对该长度下沟槽波导进行测量,测得最大的TE-TM模式转换率为97%,即消光比为15dB。
图 7 TE-TM模式转换效率随沟槽结构长度变化图 (a)文章结果 (b)Max-Optics仿真结果
文章中测试0.6mm长度的沟槽波导的额外损耗为0.8 dB。且仿真得到的无沟槽结构和沟槽结构界面突变引起的损耗为0.4 dB。通过Max-Optics GUI软件进行仿真复现,计算得到的损耗为0.387 dB。
如图8所示,为Max-Optics GUI仿真z-normal各场分量强度结果图。使用Max-Optics GUI中的EME模块 对该模式转换器进行了仿真,通过EME仿真结果的S参数评估其额外损耗情况。仿真结果显示,模式转换器损耗为0.387 dB。
图 8 Max-Optics EME模块z-normal场分量强度结果图(a)Ey (b)Ez (c)Hz (d)Hy
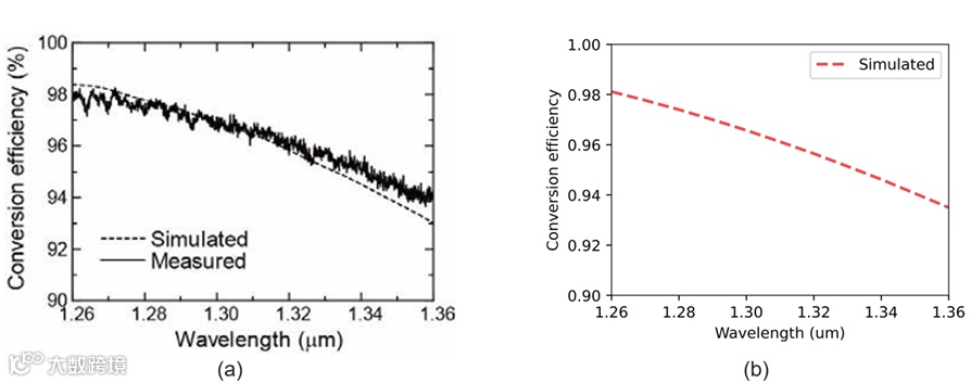
随后文章中测量了器件转换效率的波长依赖性,测试和仿真结果如图 9(a),图9(b)为使用Max-Optics SDK仿真得到的数据后处理后得到的结果。基于该转换器在1.27µm波长下实现的97% 的TE-TM模式转换效率进行仿真,结果如图所示,仿真和实际测量结果基本一致,随着波长增大,模式转换效率的降低,实现𝛑相差沟槽的半拍长度更长。
图 9 (a)文章测量和仿真模式转换效率的波长依赖性结果图 (b)Max-Optics 仿真模式转换效率的波长依赖性结果图
总结与展望
综上所述,通过使用Max-Optics Studio中的FDE和EME模块建模仿真完成了一种基于SiON波导的高效TE-TM模式转换器的设计方案的验证。在这个过程中,Max-Optics Studio成功打通了各个关键设计环节,包括基于R参数对器件沟槽宽度W1和沟槽深度D的优化、基于转换效率𝑘2对器件长度L的优化、对器件额外损耗的仿真评估、器件转换效率的波长依赖性的仿真分析,最终实现了仿真结果与测量结果的高度一致。
关键设计环节
-
根据R参数优化器件的沟槽宽度W1和沟槽深度D:通过Max-Optics Studio SDK中FDE模块对设计结构进行仿真分析,针对0.1µm~0.7µm不同沟槽宽度W1和0.5µm~0.7µm不同沟槽深度D进行了全面扫描。仿真过程中,首先提取了各结构下的折射率分布以及FDE计算模式结果的Hz,Hy分量,随后通过后处理数据计算出关键性能指标R参数。根据仿真结果,当沟槽深度D和沟槽宽度W1为0.6µm和0.35µm时R=1,可实现高效的偏振旋转。 -
根据转换效率𝑘2确定器件长度:通过Max-Optics Studio SDK中FDE模块对结构进行仿真计算,提取了FDE计算模式下的有效折射率neff1,neff2,并通过后处理分析数据进一步计算了0mm~1mm不同器件长度L下的耦合效率𝑘2。仿真结果表明,当沟槽波导长度L=0.6mm时,理论上能够实现TE到TM的100%模式转换率。 -
器件额外损耗:使用Max-Optics Studio GUI中的EME模块 对该模式转换器进行了仿真,通过EME仿真结果的S参数评估其额外损耗情况。仿真结果显示,模式转换器损耗为0.387 dB。 -
器件转换效率的波长依赖性:通过Max-Optics Studio SDK中FDE模块对器件波长依赖性进行了深入分析,仿真计算了1.26µm~1.36µm波长范围内器件的性能表现。结果表明随着波长的增加,模式转换效率逐渐降低,同时,实现𝛑相差沟槽的半拍长度更长。仿真结果与文献中提供的实际测量数据高度吻合。 -
优化器件参数总结:该沟槽模式转换器的槽宽设计为0.35µm,槽深为0.6µm,侧壁宽度t=0.2µm,波导宽度W=1.2µm,波导高度H=1µm,转换器器件长度为0.6 mm。
参考文献
↑上下滑动查看更多↓
/END/
关于曼光
上海曼光信息科技有限公司是一家光电集成芯片全流程仿真设计工具和芯片测试方案提供商,主要业务涵盖仿真设计软件和芯片测试系统两大板块。专注于光电集成芯片、PLC集成芯片、半导体激光器、LED与显示面板、超材料、光学传感等领域仿真设计工具与解决方案的研发与服务。公司提供CPU/GPU混合硬件加速、全云架构仿真平台等高性能计算解决方案,助力客户产品的研发。
点击左下角【阅读原文】 申请软件试用

