2025年4月14日,英国伯明翰大学的Hassan Khalid Ageel等人在*Emerging Contaminants*期刊发表了题为“室内沉降灰尘中的微塑料:对人类暴露的影响”的研究,评估了人类通过室内沉降灰尘暴露于微塑料的情况及相关风险。
微塑料广泛存在于环境中,由于其独特的理化性质和潜在毒性,室内环境中的微塑料污染受到广泛关注。室内灰尘是人类接触新兴污染物的重要载体,然而,目前对于室内灰尘中微塑料的含量、特征及其对人体健康的影响仍缺乏足够了解。本研究聚焦于英国伯明翰,旨在填补这一空白,为评估微塑料暴露风险提供关键数据支持。
摘要:近年来,室内环境中微塑料(MPs)的存在因其独特的理化性质和潜在毒性而备受关注。室内灰尘是人类通过无意摄入而接触新兴污染物的重要载体。因此,本研究的主要目的是通过测定从英国伯明翰的家庭(n=30)和工作场所(n=30)收集的灰尘样本中微塑料的浓度、特征(尺寸、形状和聚合物类型),来评估人类对室内沉降灰尘中微塑料的暴露情况。家庭中微塑料的平均浓度为155 ± 222 MP/mg,工作场所为125 ± 209 MP/mg。统计分析显示,研究中家庭的微塑料平均浓度显著高于工作场所,这主要归因于地毯铺设。在形态方面,鉴定出了各种形状的微塑料(如纤维、碎片、泡沫、箔片),纤维和碎片约占所有研究样本中已鉴定微塑料的90%。在本研究调查的微塑料粒径范围(10 - 150 µm)内,粒径为50 - 100 µm的部分在所有研究样本中占主导地位(>49%),其次是粒径大于100 µm的颗粒,纤维在检测到的微塑料形状中平均尺寸最大(67 µm)。聚丙烯(PP)和聚对苯二甲酸乙二酯(PET)是研究样本中含量最丰富的聚合物类型,其次是聚氯乙烯(PVC)。据估计,英国成年人和幼儿通过无意摄入室内灰尘每天接触到的微塑料分别为56个和103个。幼儿较低的体重加剧了其较高的暴露水平,估计其典型暴露量为9.7 MP/kg体重/天,而成年人仅为0.8 MP/kg体重/天。幼儿较高的微塑料摄入暴露量引发了人们对其潜在不良健康影响的担忧,因为他们的免疫系统和神经系统尚未完全发育。
结论:本研究首次对英国家庭和工作场所收集的60个室内沉降灰尘样本进行了调查,以确定微塑料的浓度和特征(即尺寸、形状和聚合物类型)。所有样本中均检测到微塑料,人类暴露估计显示,幼儿通过室内灰尘摄入微塑料的暴露量高于成年人,尤其是在按体重计算的情况下。如此高的微塑料暴露量引发了人们对这一弱势群体潜在健康风险的担忧。
研究方法:研究人员在2022年5月至2023年9月期间,从英国伯明翰的30个家庭和30个工作场所收集了室内沉降灰尘样本。使用电池驱动的无绳真空吸尘器搭配特定设计的金属管附件和玻璃微纤维标准提取套管收集样本。通过氯化锌盐密度分离法提取微塑料,利用30%过氧化氢进行化学消化去除有机颗粒,之后使用数字立体显微镜和傅里叶变换红外光谱成像系统(μ -FTIR)对微塑料进行表征分析。采用特定公式评估人类通过室内灰尘摄入微塑料的暴露量,同时进行了质量保证和质量控制实验,并运用统计分析方法处理数据。
仪器参数:数字立体显微镜为OPTIKA™ IM - 3LD4D PROVIEW,配备6.3百万像素USB 3.0 CMOS数字相机,通过Microsoft Windows 7系统在12英寸HDMI内置显示器上操作,使用“Optika™ProView Image Analysis for fluorescence”软件进行微塑料的可视化和测量;μ -FTIR为PerkinElmer Spotlight™400,采用反射模式,以70%匹配标准和视觉峰诊断来确定塑料颗粒的聚合物类型,光谱采集参数为孔径20×20 µm,累积16次扫描,波数范围4000 - 600 cm^{-1},分辨率8 cm^{-1} 。
引用格式
Ageel, H. K., Harrad, S., & Abdallah, M. A. -E. Microplastics in settled indoor dust: Implications for human exposure. Emerging Contaminants, 2025,11, 100506. https://doi.org/10.1016/j.emcon.2025.100506
关键词
微塑料;室内灰尘;人类暴露;风险评估
重点图片

- 图1:展示了英国研究的家庭和工作场所灰尘样本中不同形状微塑料的平均相对贡献(以百分比表示),直观呈现了纤维、碎片、泡沫和箔片等形状微塑料在不同环境中的占比情况,有助于了解微塑料形状分布特征。

- 图2:呈现了英国研究的家庭和工作场所灰尘样本中检测到的微塑料的平均粒径分布,清晰展示了不同粒径范围(10 - 25μm、25 - 50μm、50 - 100μm、>100μm)微塑料在家庭和工作场所的分布差异,为分析微塑料粒径特征提供依据。

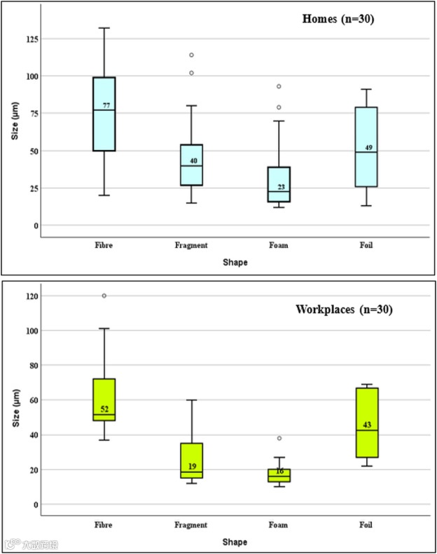
- 图3:以箱线图形式展示了本研究中各形状类别的微塑料粒径分布,通过箱线图的形式展示了不同形状微塑料粒径的分布范围、中位数等信息,更细致地反映了微塑料粒径与形状之间的关系。
- 图4:展示了研究的室内灰尘样本中检测到的微塑料的平均聚合物类型分布(以百分比表示),直观呈现了聚丙烯(PP)、聚对苯二甲酸乙二酯(PET)、聚氯乙烯(PVC)等聚合物类型在微塑料中的占比情况,有助于了解微塑料的聚合物组成特征。(来源:新污染物监测与分析)
文章来源:新污染物




