
2025年7月9日,来自中国科学院生态环境研究中心、浙江省环境科学研究设计院等多单位的研究人员在*Environmental Pollution*发表《A modified QuEChERS method for extracting different classes of emerging contaminants in soil》一文,开发了一种基于改良QuEChERS技术的土壤中新污染物预处理提取方法。

研究背景:
新污染物(ECs)因环境持久性、潜在毒性及广泛存在备受关注。土壤是ECs主要汇,来源包括大气沉降、工业生产等。全氟和多氟烷基物质(PFAS)与有机磷酸酯(OPEs)是两类受关注的ECs,OPEs还可降解为有机磷酸二酯(di-OPEs),这些物质对人体健康存在多种潜在威胁。当前针对土壤中这些物质的研究有限,且现有预处理提取方法存在局限,多针对特定化学类别,难以同时提取多种污染物,因此开发同时提取土壤中多种污染物的方法很有必要。
摘要:
本研究基于“快速、简便、廉价、有效、耐用和安全(QuEChERS)”技术,开发了一种快速且稳健的预处理方法,用于同时提取土壤中的50种ECs,包括28种全氟和多氟烷基物质(PFAS)、17种有机磷酸酯(OPEs)和5种有机磷酸二酯(di-OPEs)。选择乙腈和甲醇,以及硫酸镁和氯化钠的混合物进行萃取,选择C18进行净化。该方法具有可接受的准确性和精密度,大多数情况下回收率在70%-120%之间,相对标准偏差(RSD)低于20% 。除4:2氟调聚物磺酸盐(4:2 FTS)外,其他PFAS和di-OPEs的基质效应值在73%-123%之间,而OPEs的基质效应值在30%-93%之间。添加内标后,除磷酸三(2-乙基己基)酯(TEHP)和4:2 FTS外,ECs的基质效应能得到很好的补偿。PFAS、OPEs和di-OPEs的方法检测限分别为0.01-0.21 ng/g、0.01-3.96 ng/g和0.03-0.16 ng/g。总体而言,这种预处理方法能够高通量地从土壤中提取不同类别的污染物,未来可能与非靶向筛查相结合,以更全面地了解复杂基质中的化合物。
研究方法与仪器参数
- 研究方法:通过单因素实验和正交试验优化样品制备的多因素,包括吸附剂、萃取溶剂及其用量。在优化条件下,称取0.5g土壤,加入内标,经乙腈和甲醇萃取、C18净化等步骤处理后进行分析。采用内标法对目标化合物定量,通过校准曲线验证方法线性,计算提取效率、回收率、方法检测限和基质效应。
- 仪器参数:化学分析基于配备加热电喷雾电离源(ESI)的高效液相色谱(Ultimate 3000 HPLC,赛默飞世尔科技)和Orbitrap Exploris ™ 240质谱仪(赛默飞世尔科技),在正负离子模式下运行。每个样品独立运行三次分析目标化合物。


引用格式
Zeng, Z., Ding, H., Zhang, X., Hou, M., Yang, C., Li, X., Li, Y., Li, P., Shi, Y., & Cai, Y. (2025, July 9). A modified QuEChERS method for extracting different classes of emerging contaminants in soil. *Environmental Pollution*, 383, 126816. https://doi.org/10.1016/j.envpol.2025.126816
关键词
QuEChERS;全氟和多氟烷基物质;有机磷酸酯和二酯;土壤样品;正交实验
重点图片

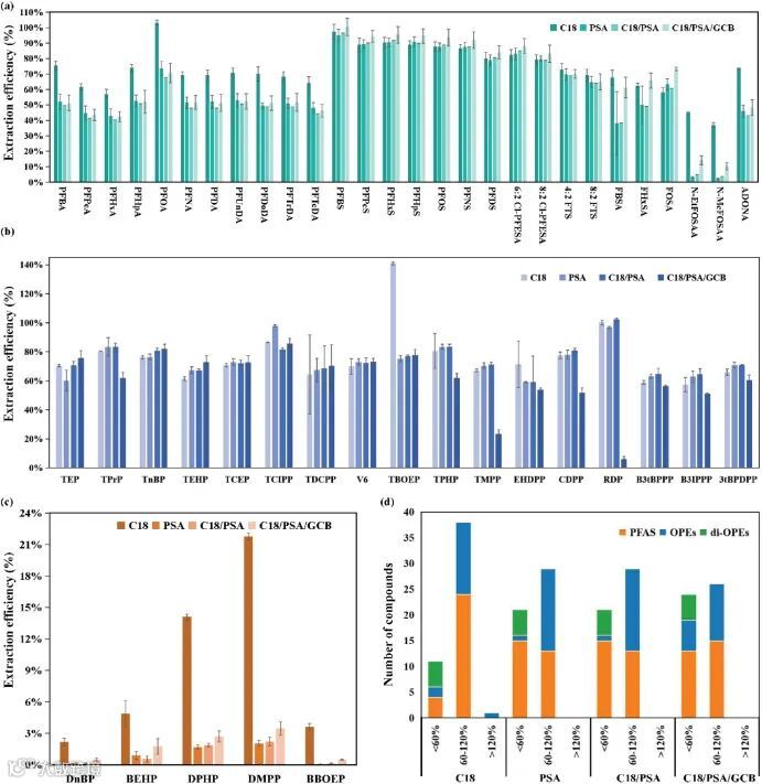
- 图1:不同吸附剂对土壤中目标PFAS、OPEs和di-OPEs提取效率的影响。展示了使用C18、PSA、C18/PSA和C18/PSA/GCB作为吸附剂时,对不同化合物提取效率的差异,为选择最佳吸附剂提供依据。

- 图2:不同萃取条件下PFAS、OPE和di-OPEs的提取效率比较。对比了乙腈、水/乙腈、2%甲酸/乙腈、甲醇、乙腈/甲醇混合溶液以及乙腈和甲醇分别萃取再混合等条件下的提取效率,确定了最佳萃取溶剂组合。

- 图3:基于提取效率和回收率的各化合物在不同因素和水平下的最佳预处理条件。通过正交试验,分析了萃取溶剂体积、吸附剂用量和盐用量对提取效率和回收率的影响,确定了各因素的最佳水平。(来源:新污染物监测与分析)

