line-height: 1.8em;letter-spacing: 0em;text-indent: 0em;padding-top: 8px;padding-bottom: 8px;text-align: justify;">硅基模式复用器件利用硅光子平台中光波导所能支持的多种空间模式,将不同数据信号载入不同的模态,从而在同一根波导中实现多路信号的并行传输,广泛用于光通信、光计算、信息处理等领域。
本文利用曼光公司旗下Max-Optics Studio软件的Finite Difference Eigenmode (FDE) 模块、Eigenmode Expansion (EME) 模块和Finite-Difference Time-Domain (FDTD) 模块对硅基模式复用器件进行了仿真设计,流程如图1所示。在不同的设计流程中根据器件结构特点选择相应的模块,发挥了各模块核心算法的计算优势,通过多模块之间的互联互通以及GPU多卡加速功能,充分展现了Max-Optics Studio软件在光学仿真领域的强大性能和快速计算能力。
图1:无源模块联合仿真流程
PartⅠ:基础知识
如图2所示,模分复用系统包括两大核心器件[1]:模式复用器(Mode Multiplexer)和模式解复用器(Mode Demultiplexer)。模式复用器将来自不同数据通道的光信号分别耦合到不同模式上。在接收端,模式解复用器将混合在同一介质中传输的多模式信号按模式进行分离,再分别送往对应的接收器件。
图2:集成了模式复用器与解复用器的模分复用链路
1.1 模式复用器件:器件类型
模式(解)复用器主要包括非多模干涉耦合器、非对称定向耦合器两类基础结构[2]。多模干涉耦合器基于光的自映像效应,通过控制器件长度和输入输出位置,在输出端得到不同模式的自映像。
非对称定向耦合器是模式复用器件中的基础结构,常选用单模波导和多模波导的结构。通过精心设计多模波导的截面尺寸,可以使多模波导中某个高阶模的有效折射率与单模波导中基模有效折射率相等,从而满足相位匹配条件来进行高效耦合。
1.2 非对称定向耦合器:工作原理
如图3所示为非对称定向耦合器的基本结构,由两根不同尺寸的波导构成,其工作原理可用耦合模理论来分析。
图3:非对称定向耦合器结构示意图
光从A波导输入经过耦合区域后,耦合到B波导的功率比例可由下式表示[1]:
其中,κ2是光耦合的功率比例,P0是输入光功率,Pcross是通过耦合区域后B波导中的光功率,L是耦合区域的长度,C是耦合系数。当耦合器无损耗时,有κ2+t2=1,t2表示A波导中剩余的功率的比例,可表示为:
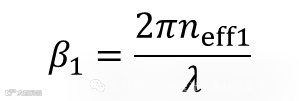
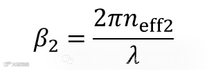
耦合波导的两个本征模式有效折射率为neff1和neff2,根据本征模展开法,耦合系数可表示为:
两个模式的传播常数可表示为:
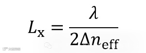
当两模式的相位差相同时,光场集中在上方波导,当两模式相位差为π时,光场集中在下方波导,此时的耦合长度Lx可表示为:
PartⅡ:仿真流程
2.1 文献概述
2019年,华中科技大学的科研团队利用非对称定向耦合器设计了如图4所示的2 μm波长的四模分复用(解复用)器件,该器件支持TE0-TE0、TE0-TE1、TE0-TE2和TE0-TE3相互转换[4]。
图4:2um波段的硅基四模分复用器件
所设计的非对称定向耦合器由两根波导组成,上波导由弯曲波导和直波导组成,其宽度为:w1 = 0.65 μm;下波导由锥形渐变波导和直波导组成,上侧与上波导平行,下侧宽度从1.32 μm渐变到1.37 μm(TE0-TE1)。硅波导的高度为0.22 μm,二氧化硅埋氧层的厚度为2 μm,所设计的模式复用器件几何参数如表格1所示。
表格1:所设计的模式复用(解复用)器几何参数
2.2 仿真过程
首先利用FDE模块确定非对称定向耦合器的波导宽度,然后利用EME模块对非定向耦合器耦合区域长度进行初步优化,最后利用FDTD模块对器件尺寸进行验证,并对传播特性进行分析。
Step 1:利用FDE模块确定非对称定向耦合器的波导宽度
在FDE模块中对硅波导截面进行仿真,获得2 μm波长下硅波导的模式特性,然后利用参数扫描功能得到不同模式有效折射率随波导宽度变化的分布,以此确定非对称定向耦合器的不同波导宽度。
在FDE 模块中,将硅波导的高度设置为0.22 μm,宽度设置为2 μm(以激发高阶模式)将Wavelength设置为2 μm,Number of Trial Modes设置为10,点击Calculate Modes选项,求解后的模式特性如下图5所示。
图5:FDE设置
扫描设置如图6所示,选择波导宽度作为扫描参数,TE0、TE1、TE2、TE3模式的有效折射率作为输出,扫描结果如图7所示。
图6:参数扫描设置
图7:FDE参数扫描结果
Step 2:利用EME模块初步确定非定向耦合器的耦合区域长度
模型简化:文献中非定向耦合器的输入波导为弯曲波导,弯曲结构会增加EME模块中划分的单元(Cell),因此可将弯曲波导简化成直波导来进行快速仿真,简化后的模型如图8所示。
图8:(上图)初始模型,(下图)简化模型对比
启用EME模块,对非对称定向耦合器(TE0-TE1)进行长度优化,EME模块设置如图9所示,锥形渐变区域的Cell Number设置为20来保证仿真结果的准确性,如图10所示,几何结构上显示了不同区域Cell的个数。
图9:EME模块设置
图10:Cell划分显示
在EME 模块的Ports选项中计算并选择模式,其中左侧输入端口的模式设置为TE0模式,右侧输出端口的模式设置为TE1模式,如图11所示。
图11:(左图)输入端口的TE0模式,(右图)输出端口的TE1模式
EME Analysis的设置如图12所示,其中Override Wavelength设置为2 μm;扫描类型设置为Group Span Sweep;设置Group ID为2;将耦合区域长度从10 μm扫描到110 μm,设置完成后点击Group Span Sweep选项,可得到不同耦合区域长度对应的S参数。

图12:Group Span Sweep设置
如图13所示为Group Span Sweep计算得到的不同耦合区域长度对应的S参数,初步确定了当耦合区域长度为70.8 μm时,对应最大的S参数约为0.958。
图13:Group Span Sweep结果
如图14所示,将耦合区域的长度改为70.8 μm,将扫描类型改为Wavelength Sweep,波长扫描范围设置为1.95 μm到2.05 μm,点击Wavelength Sweep选项运行波长扫描。
图14:Wavelength Sweep设置
如图15所示为计算得到的Wavelength Sweep结果,可以看到在2 μm 的工作波长下得到了最大的S参数,与Group Span Sweep的结果相匹配。S参数值为0.958,对应的透射率为0.91776。
图15:Wavelength Sweep结果
点击EME Propagate选项,可得到优化耦合区域长度后的传播结果,如图16所示。
图16:EME Propagate结果
Step 3:利用FDTD模块对器件传输特性进行验证
启用FDTD模块,将非对称定向耦合器(TE0-TE1)按照上述两步中的参数设置结构,在Analyses中添加Mode Expansion,并点击Preview Mode选择TE1模式来进行模式展开,如图17、图18所示。
图17:Mode Expansion设置
图18:Select Mode
在Max-Optics Studio的FDTD模块中,可选择CPU或GPU来运行仿真,CPU、GPU设置如图19所示。
图19:GPU加速设置,(a)CPU设置;(b)GPU设置
如图20所示,选择CPU后的仿真时间预计为6个小时,仿真时间和同类软件利用CPU的仿真时间相近,如图21所示。
图20:Max-Optics Studio CPU预计仿真时间
图21:其他软件CPU预计仿真时间
如图22所示,选择GPU的仿真时间预计为15分钟,与CPU相比选择GPU可以将仿真时间大幅缩短。
图22:Max-Optics Studio GPU预计仿真时间
上述为仿真非对称定向耦合器(TE0-TE1)的步骤,重复Step1和Step2可仿真TE0-TE2、TE0-TE3对应的非对称定向耦合器。
如图23为FDTD模块得到的电场传输分布,可以看到上方波导的TE0模在下方波导中周期性的激发出TE1模式。
图23:电场传输分布
图24所示为FDTD模块仿真得到的非对称定向耦合器(TE0-TE1)的透过率,在波长为1.994 μm处得到最大透过率0.916,与EME模块的2 μm处的透射率0.917相匹配。
图24:非对称定向耦合器(TE0-TE1)的透过率
PartⅢ:结果对比
最后我们将仿真结果与文献结果对比。如图25为不同模式有效折射率随波导宽度变化分布,可以看到仿真结果与文献结果高度一致。
图25:不同模式有效折射率随波导宽度变化分布,(左)文献结果;(右)仿真结果
如图26、图28、图29为非对称定向耦合器的电场分布对比(以TE0-TE1为例)。可以看到仿真结果与文献高度一致。
图26:非对称定向耦合器的电场分布对比(TE0-TE1),(左)文献结果;(右)仿真结果
图27:非对称定向耦合器的电场分布对比(TE0-TE2),(左)文献结果;(右)仿真结果
图28:非对称定向耦合器的电场分布对比(TE0-TE3),(左)文献结果;(右)仿真结果
如图29、图30、图31为非对称定向耦合器的透过率对比。以TE0-TE1为例,左图文献中2 μm波长的透过率为0.92。右图为仿真结果,1.994 μm处得到最大透过率为0.916,与文献高度一致。
图29:非对称定向耦合器透过率(TE0-TE1),(左)文献结果;(右)仿真结果
图30:非对称定向耦合器透过率(TE0-TE2),(左)文献结果;(右)仿真结果
图31:非对称定向耦合器透过率(TE0-TE3),(左)文献结果;(右)仿真结果
如图32、图33、图34为所设计的三种非对称定向耦合器的模式串扰。可以看到TE0模式分别被非对称定向耦合器很好地转换为所需的TE1、TE2、TE3模式。
图32:非对称定向耦合器(TE0-TE1):不同模式传输谱线
图33:非对称定向耦合器(TE0-TE2):不同模式传输谱线
图34:非对称定向耦合器(TE0-TE3):不同模式传输谱线
综上所述,我们将文献中的模式复用器简化为三个非对称定向耦合器,并使用Max-Optics Studio软件的FDE、EME、FDTD三个模块对器件进行了全流程设计,确定了器件的参数结构,并仿真计算了器件的有效折射率、模式电场分布以及不同模式的传输谱线。首先通过FDE模块分析了不同波导宽度变化对应的各个模式的有效折射率分布,确定了非对称定向耦合器件的波导截面尺寸;然后利用EME模块快速设计了非对称定向耦合器的耦合区域长度;最后利用FDTD模块的GPU加速功能,快速验证并确定器件的最终参数,并获得了模式电场分布和传输曲线。
在整个设计流程中根据器件结构匹配不同模块的核心算法,通过多模块间的互联打通了设计流程中的多个关键环节;并利用GPU多卡并行,极大地缩减了仿真时间,加速了器件设计的迭代周期,充分展现了Max-Optics Studio软件在光学仿真领域的强大性能和快速计算能力。
参考文献
↑上下滑动查看更多↓
/END/
上海曼光信息科技有限公司是一家光电集成芯片全流程仿真设计工具和芯片测试方案提供商,主要业务涵盖仿真设计软件和芯片测试系统两大板块。专注于光电集成芯片、PLC集成芯片、半导体激光器、LED与显示面板、超材料、光学传感等领域仿真设计工具与解决方案的研发与服务。公司提供CPU/GPU混合硬件加速、全云架构仿真平台等高性能计算解决方案,助力客户产品的研发。
点击左下角【阅读原文】 申请软件使用

