

尽管近年来深度学习取得了巨大进展,但训练神经网络所带来的爆炸式经济和环境成本正变得不可持续。为了解决这个问题,已经有大量关于算法高效深度学习的研究,这些研究旨在通过改变训练程序的语义,而不是在硬件或实现级别上降低训练成本。本文对该领域的研究进行了系统、全面的综述。首先,我们将算法加速问题形式化,然后我们使用算法高效训练的基本构建块来开发分类。我们的分类强调了看似不同的方法的共性,并揭示了当前的研究差距。接下来,我们将介绍评估最佳实践,以实现对加速技术的全面、公平和可靠的比较。为进一步帮助研究和应用,讨论了训练管道中的常见瓶颈(通过实验说明),并为它们提供分类缓解策略。最后,我们强调了一些尚未解决的研究挑战,并提出了有希望的未来方向。
在过去的几年里,深度学习(DL)在广泛的应用领域取得了显著的进展,如蛋白质结构预测(AlphaFold [Jumper et al。2021])、文本到图像合成(DL - e [Ramesh et al。2021])、文本生成(GPT-3 [Brown等人。2020a])等。实现这些性能提升的关键策略是将DL模型扩展到非常大的规模,并对它们进行大量数据的训练。对于大多数应用程序,可训练参数的数量至少每18至24个月翻一番——语言模型以4至8个月的翻倍时间领先(Sevilla and Villalobos 2021)。
大规模人工智能模型的著名例子包括:用于视觉应用的Swin Transformer-V2 [Liu等人2022a],用于语言建模的PaLM [Chowdhery等人2022],用于内容推荐的波斯[Lian等人2021],具有100万亿参数。
尽管扩大DL模型正在实现前所未有的进步,但训练大型模型已经变得极其昂贵。例如,GPT-3训练成本估计为165万美元,使用谷歌v3 TPU[Lohn和Musser 2022],且transformer 模型的低效/幼稚开发将产生相当于5辆汽车终生碳足迹的二氧化碳(CO2) [Strubell等人,2019]。值得关注的是,DL仍然没有达到许多应用所要求的性能水平:例如,在现实世界中部署全自动驾驶汽车需要人类水平的性能,但还没有达到。不断增长的模型和数据规模以达到所需的性能将使当前的训练策略在金融、环境和其他方面不可持续。事实上,根据目前的趋势推断,2026年最大的人工智能模型的训练成本将超过美国的GDP总量(Lohn and Musser 2022)。此外,DL对计算的高度依赖引发了人们对财务资源有限的用户(如学者、学生和研究人员(特别是来自新兴经济体的人)的边缘化的担忧[Ahmed and Wahed 2020]。我们将在附录A中更详细地讨论这些关键问题。
考虑到其计算负担的不可持续增长,DL的进步需要更多的计算效率训练方法。一个自然的方向是消除学习过程中的算法效率低下,以减少DL训练的时间、成本、能量和碳足迹。这种算法高效的深度学习方法可以通过多种方式改变训练过程,包括:改变数据或样本呈现给模型的顺序;调整模型的结构;改变优化算法。这些算法改进对于实现有效深度学习训练所需计算负担的估计下界至关重要,目前的做法导致的负担大大超过了该下界[Thompson等人,2020]。此外,这些算法增益与软件和硬件加速技术相结合[Hernandez和Brown 2020]。因此,我们相信算法高效的逻辑学习提供了一个巨大的机会来增加逻辑学习的收益并降低其成本。
虽然最近涌现的算法效率论文支持了这一观点,但这些论文也表明,算法效率方法的研究和应用受到碎片化的阻碍。不同的指标被用来量化效率,这产生了不一致的加速方法的排名。评估是在狭窄或特征不佳的环境中执行的,这将导致不正确或过于宽泛的结论。在讨论算法效率方法时,缺乏反映它们的广度和关系的分类法,这使得人们很难理解如何遍历加速环境,将不同的方法结合起来并开发新的方法。因此,本文的核心贡献是组织算法效率文献(通过受[Von Rueden等人2019]启发的分类法和调研),以及对影响报告和实现加速的实际问题的技术描述(通过评估和实践指南)。我们的讨论始终强调这两个重点的关键交集:例如,算法效率方法是否会导致实际的加速确实取决于方法(通过我们的分类法可以理解)和计算平台(通过我们的从业者指南可以理解)之间的交互。我们的贡献总结如下:
形式化加速:我们回顾DNN效率指标,然后形式化算法加速问题。
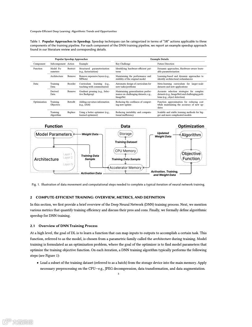
分类和调研:我们通过适用于3个培训管道组成部分的5个加速行动(5Rs)对200多篇论文进行分类(见表1和表3)。分类有助于为从业者选择方法,为读者消化文献,并为研究人员识别机会。
最佳评估实践:我们识别了文献中常见的评估陷阱,并相应地提出最佳评估实践,以实现对各种加速技术的全面、公平和可靠的比较。
从业者指南:我们讨论了影响加速方法有效性的计算平台瓶颈。根据训练管道中瓶颈的位置,提出适当的方法和缓解措施。




















































PDF版本将会分享到199IT高端交流群,感谢您的支持!


199IT热门报告重点推荐,可直接点击查阅
-
2022年播客中品牌安全和适用性
-
2023年银行业500强 -
2022年东南亚电子经济报告
-
报告:应对内部气候移民 -
2022年全球破产报告
-
报告:以生活为中心的剧本 -
2023年全球风险报告
-
2022年Q4美国应用广告报告 -
2023年电力市场报告 -
贸易和气候变化的关系报告
-
报告:云竞赛
-
2022年度中国家庭财富指数调研报告 -
报告:半导体设计领导力面临的挑战
-
2023年北欧初创企业和风险投资报告 -
报告:通过CES镜头看2023年科技趋势
-
2022年电池金属报告 -
2022年广告代理薪酬报告
-
报告:中小企业对未来的准备
-
美国人口统计展望报告:2022至2052年 -
2023年广告、营销和数据展望报告
-
2023年欧洲食品科技报告 -
2023年能源科技远景(459页)
-
2022年第四季度太空投资报告
-
2022年半导体行业报告 -
2023年内容营销报告
-
流媒体电视广告报告
-
2022年全球汽车供应商研究 -
清洁能源的未来:氢专利
-
2022年欧洲电子商务指数 -
报告:欧洲在线旅行社的经济影响
-
激发健康活力:加速医疗设施的电力供应报告 -
2022年市场研究现状报告
-
2023年世界经济形势与展望报告 -
2022年拉丁美洲科技报告(384页)
-
报告:电气化卡车的黎明
-
2022年北美艺术馆机构员工调查报告 -
报告:亚太地区在线旅行社的经济影响
-
2023年全球经济展望报告 -
美国半导体研究:通过创新获得领导力
-
2023年科技、媒体和电信预测报告
-
2022年中国主要汽车集团低碳化转型表现 -
2022年国际债务报告
-
2023年科技趋势报告
-
2022研究前沿热度指数 -
印度尼西亚能源部门实现净零排放的路线图
-
2022年互联网未知领域:元宇宙、区块链游戏和NFT -
2022年第四季度播客广告基准报告
-
2022年全球贸易统计概览 -
2023年广告展望报告
-
2023年生活趋势报告 -
2022年全球身体活动状况报告
-
2023年气候变化绩效指数
-
2022年第三季度中国家庭财富指数调研报告 -
报告:在不确定的时代加强全球半导体供应链
-
2022年通信趋势报告 -
2021年中国专利调查报告 -
2022年美国芯片行业报告
-
2022年假日购物报告 -
2022年美国半导体行业劳动力报告
-
2022上半年北美数据中心趋势报告 -
2022年国际雪山旅游报告
-
2022年全球城市实力指数 -
2022年访问量最大的旅游胜地
-
2022年11月移动报告 -
2022年高管GTM基准调查报告
-
2022年全球经济、贸易和发展趋势统计报告 -
2023年美国数字报告
-
2022-2023年亚太地区贸易投资趋势报告
-
中国与阿拉伯国家经贸合作回顾与展望2022 -
报告:可持续航空燃料大挑战
-
2022年最佳全球品牌报告 -
报告:扩大技术的影响
-
2022年全球奢侈品市场监测报告 -
2022-2023年全球工资报告
-
2022年10月美国短期能源展望
-
2023年投资管理展望 -
购物娱乐:亚太地区的万亿美元机遇报告 -
2022年全球普惠金融指数报告
-
2022年海运回顾报告
-
2023全球数字科技发展研究报告:全球科研实力对比 -
2022年环球艺术收藏调查报告
-
2022年亚太地区就业及社会展望报告 -
2022年科学与工程指标报告
-
2022年电子商务未来趋势--中国版 -
2022年黄金报告
-
2022年全球经济展望报告--11月刊 -
2022年世界知识产权指标报告(185页) -
亚洲元宇宙:加速经济影响的战略 -
2021-2022年英国投资管理调查报告
-
2022年城市报告
-
2022上半年美国视频营销报告 -
报告:自动驾驶和汽车保险的未来
-
2022年全球气候状况临时报告
-
2022联邦学习全球研究与应用趋势报告 -
2022年全球商学院申请趋势报告
-
2022年HR预测报告 -
2022年旅游报告 -
2022年世界贸易报告:贸易与气候变化
-
中欧班列发展报告(2021) -
2022年职场报告
-
2022电子商务大趋势概览报告
-
2022年全球人才流动趋势与发展报告 -
2022年教育科技的发展报告
-
世界人口展望2022
-
2022年酒店品牌50强报告 -
报告:仓库机器人的未来
-
2022年大宗商品市场展望报告(10月)
-
2021年江苏省药品流通行业运行统计分析报告 -
2022年撒哈拉以南非洲移动经济报告
-
2022年第二版世界女子足球报告 -
NTT:2022年全球网络报告
-
2022年亚太地区经济展望报告 -
2022年元宇宙与保险业报告
-
2022年中国旅游消费者报告 -
2021年邮政发展报告
-
2022年消费者订阅软件报告 -
2022年第三季度金融科技报告
-
2022年全球教育科技报告 -
2022年美国科学与工程报告
-
2022年第二季流媒体报告
-
2022年第二季度金融科技报告 -
世界统计袖珍手册2022版
-
2021年全球烟草流行报告 -
2022年人工智能AI报告(114页)
-
2022年渠道营销报告 -
2023年全球资本市场的科技趋势
-
2022年澳大利亚移动应用报告 -
2022年世界发展前景报告 -
2022年消费者趋势报告:元宇宙和社交电子商务
-
2022年全球金融稳定报告(10月刊) -
2022年度英国学生生活指数报告
-
2022 年美国青少年烟草调查报告 -
2022年北美移动经济报告
-
2022年健身消费者研究报告 -
2050年全球核电产能展望报告 -
2022上半年东亚与太平洋地区经济报告
-
2022年Q2出行市场洞察报告 -
2022年全球白银调查报告
-
2022年Q2航空运输报告
-
2022年第3季度全球银行业展望报告 -
2022年全球能源就业报告
-
2022全球财富报告
-
2022年半年度中国银行业回顾与展望 -
2022年韩国美容消费者趋势报告
-
病毒式传播报告:看一看互联网背后的秘密
-
报告:全球经济衰退在即? -
报告:资本市场的未来
-
2022全球手游玩家需求变化洞察 -
2021全球电子商务的重要转折点报告 -
新报告:未来能源情景-236页 -
2022年社交媒体营销报告
-
2022年北美杂货零售报告 -
2022年游戏行业报告
-
2022年Q2游客洞察报告
-
2022中国民营企业500强发布报告 -
2022年非营利营销和筹款趋势报告
-
2022年中国新富人群财富健康指数 -
2022年中国营销与媒体报告
-
2022年加密货币调查报告 -
2022年互联网价值链报告
-
中小学阶段的人工智能课程报告 -
2022年全球旅游经济趋势报告
-
2022年印度经济洞察报告 -
旅行回归:Z世代、千禧一代和X世代期待什么
-
2022年中国机器人产业发展报告
-
2022年夏季冷饮报告 -
2022年意见领袖营销报告
-
2022年第二季度全球风险投资报告 -
2021年可再生能源发电成本报告(204页)
-
2022年全球软件行业报告 -
2022年年中广告预测报告 -
2022年东南亚报告
-
2022年天然优质粉底报告
-
2022中国县域人居环境气象评估报告 -
2022年全球财富和生活方式报告
-
AI研究统计:探究英、中文献资料中的人工智能研究成果 -
人造纤维素纤维2030(完整版84页)
-
2022年消费者趋势报告
-
2050氢能展望报告 -
2022年第二季度金融科技报告
-
天然气分析及展望2022-2025 -
2022年特许经营经济展望报告
-
2022年全球加密趋势研究 -
报告:未来的学校
-
报告:在多币种网络中管理流动资产 -
2022年Q2欧洲旅游报告
-
数字中国发展报告(2021年) -
2022年奢侈品展望报告
-
2022年欧洲语言应用报告
-
2022年7月未来消费者指数 -
2022年儿童人工智能工具包
-
2021年全球共享服务和外包调查报告 -
2022年运动休闲的兴起
-
2022年全球资产管理报告 -
2022年智能制造商报告
-
2022年人力资源报告
-
报告:人工智能成熟的艺术 -
2022年数字城市指数报告
-
无头电商指南报告 -
2022年网络新闻报告(164页)
-
解码数字家庭报告 -
2022年城市展望报告
-
2022年非洲经济发展报告
-
2021年美国半导体行业报告 -
2022年全球性别差距报告
-
2022年夏季旅游调查报告 -
2022年银行即服务报告
-
2022年澳大利亚邮政内部线上购物电子商务报告
-
2022民营企业数字化转型调研报告 -
2022年全球卫星通信市场分析报告
-
2022年露营报告 -
2022年电子商务消费者研究报告
-
2019-2024全球教育游戏市场研究报告
-
2022年中国证券业调查报告 -
2022年科技愿景
-
2021年全球金融包容性指数数据库报告
-
2022年美国老年人住房和护理投资者报告 -
2022年农产品市场状况报告
-
2022年全球咖啡市场和贸易报告 -
2022年艺术市场报告
-
欧洲2030及2050储能目标研究报告
-
2022年第一季度太空经济投资报告 -
报告:数字鸿沟的经济后果和代际影响
-
2022年亚马逊广告报告 -
2022年6月移动报告
-
2022年度住宿业市场网络口碑报告 -
2022年流媒体行业报告
-
2022年旅游业的弹性和塑造复苏的趋势报告
-
2022设计趋势展望报告 -
2022年全球电动汽车报告(221页)
-
2022年第一季度媒体质量报告
-
报告:中国电动车市场成功之路 -
2022年南亚经济报告(170页)
-
2022年第一季度网络服务行业报告 -
2021年虚拟销售报告
-
2022年中国主要城市充电基础设施监测报告
-
2022年在线消费者对电动汽车的态度调查
-
2022年全球健康经济报告
-
2021-2022年碳定价领导联盟报告 -
2022年全球天然气报告
-
2022年股票行业 -
2022年全球健康经济报告
-
2021-2022年碳定价领导联盟报告 -
2022年全球天然气报告
-
2022年股票行业展 -
2022年全球天然气报告
-
2022年股票行业展望 -
2021-2025年家居行业电子商务营销趋势报告
-
2022年印度尼西亚移动报告
-
2022年亚洲发展前景报告(428页)
-
2022年国际税收改革和可持续投资报告(244页) -
2022年全球药物使用情况报告
-
2022年Q1移动应用商店报告 -
2022年东南亚能源展望报告
-
2022年第一季度便利店报告
-
2022年能源展望报告
-
2022年安全预测报告
商务合作请联系微信号:dingli 公众号投稿邮箱:T@199it.com

