在核电站、航空管制、紧急救援等高风险岗位中,操作人员面对极端环境时,大脑与身体会承受巨大压力。一旦认知能力下降,错误操作可能引发严重的次生灾害。因此,如何实时识别操作者的异常状态,成为工业5.0时代的关键课题。
近日,研究给出了一个创新答案——结合心电(ECG)+脑血氧(fNIRS)多生理信号,通过深度学习实时评估操作员在热应激下的表现。
极热环境=致命隐患?
研究团队招募了核电站操作人员,在四种逐渐升高的温湿度环境下(25℃ 到 40℃ & 60%~90%湿度)执行关键任务:
故障识别
反应堆紧急停堆
情景感知(SAGAT)
工作记忆(2-back任务)
结论令人警醒:
最危险的是第三类:人表现“看似更快”,却更容易做出致命决策错误!
如何监控大脑正在“走神”?
研究者同时采集:
核心技术亮点👇
✔ 心电频谱图+CNN
将ECG信号转为时频图像输入卷积神经网络,提取心率调控变化模式。
✔ 基于大脑网络的GAT图神经网络
前额叶各脑区之间的连接结构→构成小世界脑网络图
利用图注意力网络(GAT)捕捉认知负荷变化更敏感
✔ 多生理融合
CNN特征 + 心电手工特征 + GAT脑网络特征 → 综合判断表现状态
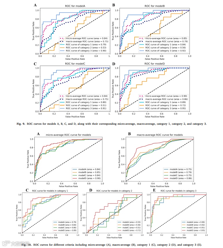
最终模型的预测能力:
AUC达0.90,明显优于传统方法。在危险状态(类别3)识别上尤其突出
工业5.0时代的人本安全守护
论文提出的新模型具备三大现实意义:
让机器真正理解“人”,就是工业5.0的核心!
未来展望
研究者也坦言当前挑战⬇:
数据量有限,模型泛化能力有待提升
在非极端环境(类别1与2)仍较难区分
未来将加入更多样本与增强技术(GAN等),实现更高精度与落地部署。
A neuroergonomics model for evaluating nuclear power plants operators’ performance under heat stress driven by ECG time-frequency spectrums and fNIRS prefrontal cortex network: A CNN-GAT fusion model
如果您觉得有收获,点击在看,
把他推荐给更多朋友~
同时也欢迎赞赏作者,留言讨论,
您的支持是作者的最大动力!
如果大家有兴趣和我一起运营这个公众号,
或有工作想要宣传,欢迎后台私聊~
或者邮件联系:xxy23@mails.tsinghua.edu.cn ~

