电动滑板车行业现状与国际市场发展分析
从生产到出海:中国企业在国际市场的竞争力解析

电动滑板车是在传统滑板基础上集成电力驱动系统的短途出行工具,主要分为单轮和双轮驱动类型,采用轮毂电机或皮带传动,以锂电池为动力源。智能电动滑板车进一步融合了人工智能、GPS定位、人机交互及网络数据处理等技术,提升产品智能化水平。
作为共享微出行的重要组成部分,电动滑板车与自行车共同满足城市“最后一公里”出行需求。相比自行车,其体积小、操作简便、省力便捷,尤其适合女性用户。电动折叠款便于收纳,可配合汽车或地铁使用,已成为都市白领通勤的重要选择之一。
电动滑板车起源于欧美,早期作为儿童玩具流行。2017年美国公司Bird推出共享电动滑板车服务,一年内实现骑行超千万次,并于2021年登陆纽交所,推动该品类在全球范围快速普及。
行业产业链上游涵盖芯片、控制器、电机、电池及保护板等核心部件,其中锂电池是主要动力来源;中游为整车制造企业;下游面向国内外销售市场与终端消费者。目前中国是全球电动滑板车主要生产基地,2021年产量达546.5万台,占据全球主导地位。
全球电动滑板车市场保持稳健增长。2020年总产值为12.1亿美元,预计2027年将达到33.41亿美元,2021-2027年复合年增长率达12.35%。主要生产集群集中在深圳、金华永康、江苏常州等地,行业高度集中于长三角与珠三角区域。

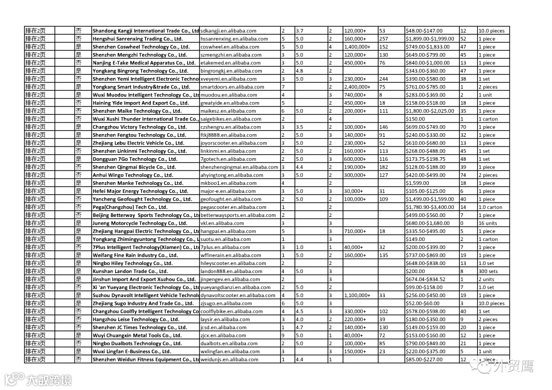
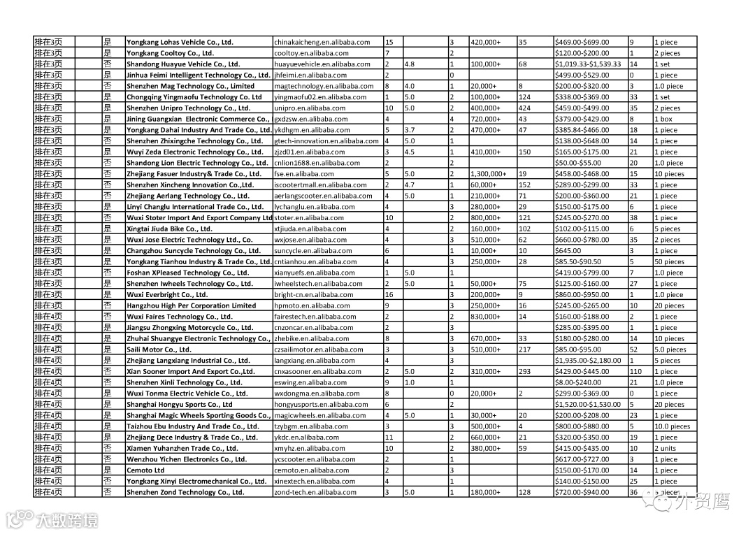
电动滑板车在阿里巴巴国际站具有较强引流能力,吸引大量外贸企业参与,市场竞争激烈。通过对平台关键词“electric scooter”搜索结果前四页的头部卖家数据分析,可发现领先企业在产品布局、关键词优化及橱窗展示方面具备显著优势。






以深圳市开心电子有限公司为例,其在国际站表现突出,通过优化橱窗产品标题、关键词(K1/K2/K3)设置以及提升成交转化数据,在竞争中占据优势。数据显示,头部商家普遍注重高曝光产品布局与交易数据积累,形成良性运营循环。








行业三大特征:周期性、区域性、季节性

周期性:电动滑板车契合居民消费升级趋势,符合国家促进消费政策导向。随着人工智能、5G和大数据技术应用,产品功能不断升级,成本下降,市场需求持续释放,行业整体处于上升周期。
区域性:生产端集中于长三角和珠三角地区,江苏产量约占全国30%。90%企业采用配件组装模式,依托成熟的供应链体系。消费端主要集中于经济发达地区,目标人群为80后至00后具备消费能力的年轻人。海外市场中,欧美国家接受度高、需求旺盛,而新兴市场则呈现高速增长潜力。
季节性:受气候影响,我国北方冬季为销售淡季,春秋为旺季。此外,“双十一”、圣诞节等促销节点带动销量攀升,形成阶段性高峰。
未来发展前景

1. 短途出行需求持续增长:数据显示,0-5英里短途出行占美国出行总量的60%。电动滑板车可有效解决交通拥堵、接驳不便等问题,具备高效、环保、经济等优势,成为“最后一公里”理想方案。
2. 共享经济推动市场扩张:自2010年起,共享出行兴起带动微交通发展。2017-2021年,美国共享微出行使用量增长289%,其中共享滑板车为主要驱动力。2019年使用人数达3900万,2020年翻倍至8600万人次。2021年全球共享服务用电动滑板车销量为229.7万台,预计2025年将增至754.7万台,2022-2025年复合增长率达32.27%。共享模式的普及将进一步带动个人购买需求增长。

