
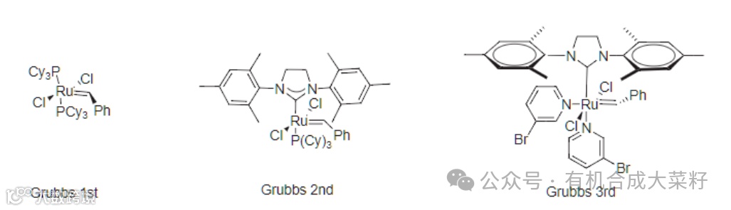
第一代Grubbs催化剂:是一个对空气、水、酸或醇稳定的紫色固体,由Grubbs在1995年发现。它目前主要用在烯烃交叉复分解反应、开环复分解聚合反应、非环双烯复分解聚合反应和关环复分解反应等几类烯烃复分解反应。
第二代Grubbs催化剂:是Grubbs在1999年对第一代催化剂的改进。Grubbs通过系统地对催化剂结构-性能关系进行研究,发现催化剂的活性与其中一个磷配体的解离有关,认为催化循环过程中经过一个高活性的单磷中间体,然后才与烯烃发生氧化加成。
根据这一设计理念,提出了以比磷配体具有更强给电子能力和更高稳定性的N-杂环卡宾配体代替其中一个磷配体,从而得到了第二代的Grubbs催化剂。它具有比原催化剂更高的活性和选择性以及相似的稳定性,其催化活性比第一代催化剂提高了两个数量级,在开环复分解聚合反应中的用量可以降低到百万分之一,在某些关环复分解反应中的用量也仅为万分之五。特别适用于低张力的环状烯烃及位阻较大的多取代烯烃的合成。

第三代Grubbs催化剂,由第二代Grubbs催化剂与过量的吡啶及吡啶衍生物反应得到。核心优势源于强电子给体 NHC 配体 + 弱配位中性配体”的协同设计,其在活性、立体选择性、官能团耐受性、底物范围上全面超越前两代,同时具备更好的稳定性与可回收性。合成中仅需少量溶剂甚至可以无溶剂进行,且反应在进分钟之内就可以完成。
关于韶远
ACCELA
【CDMO业务】
电话 50795510(转169,113)
网址 www.accelachem.cn
【试剂业务】
电话 400-066-5055
网址 www.shao-yuan.com


