提示点击↑上方"土木工程资源共享"关注加入
点我资料免费下
【重磅福利】
全站仪必备的硬件功能
全站仪的两种测距方式
1、红外测距


全站仪的两种测角方式

全站仪的应用
角度距离计算坐标公式

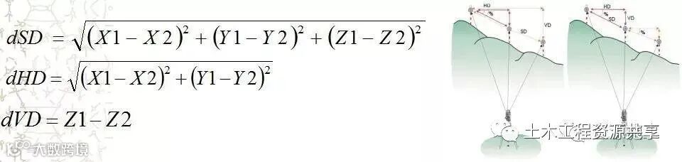
全站仪的距离计算

设置测站定向后,全站仪可以为我们提供些什么数据?
测量坐标、夹角、距离

利用全站仪数字化测图
坐标放样操作:

后方交会

后方交会操作

后方交会计算

后方交会适用范围

角距放样

角距放样

对边测量操作

对边测量

对边测量用于横断面测量

面积测量

分块面积测量




悬高测量

悬高测量操作:

悬高测量原理(有棱镜高)

悬高测量原理(无棱镜高)

相对直线坐标


直线放样

直线放样操作步骤:


角度偏心法测坐标


电子经纬仪的功能

水平角置零


12、检验批的划分、容量及抽样总结!附76个常用检验批验收表!
猜你喜欢:
3、助力2018安全生产月,这100份安全资料合集值得入手(可下载)

加入我们
投稿展示或者分享资料
一起交流一起成长
扫一扫下方二维码,灵感即刻进
官方微信或qq:483972950
官方qq群:343778875 或648915172



